甘油三酯葡萄糖指数和体重调整腰围指数在糖尿病风险中的相互作用:来自一项国家队列研究。

IF 3.3 3区 医学 Q3 ENDOCRINOLOGY & METABOLISM
Yingqi Shan, Qingyang Liu, Tianshu Gao
{"title":"甘油三酯葡萄糖指数和体重调整腰围指数在糖尿病风险中的相互作用:来自一项国家队列研究。","authors":"Yingqi Shan, Qingyang Liu, Tianshu Gao","doi":"10.1186/s12902-025-02003-1","DOIUrl":null,"url":null,"abstract":"<p><strong>Objective: </strong>Both triglyceride glucose index(TyG) and weight-adjusted waist circumference index (WWI) are independent predictors of diabetes onset, but the relationship between TyG index and WWI index and diabetes risk is not well understood. The aim of this study was to investigate the interaction between TyG and WWI indices on diabetes risk and to assess whether the combination of TyG and WWI indices is a better predictor of diabetes incidence.</p><p><strong>Methods: </strong>A total of 5555 participants aged 45 years and older without diabetes were enrolled and followed up for a duration of up to 9 years according to the China Health and Retirement Longitudinal Study (CHARLS). After identifying key predictors using the least absolute shrinkage with selection operator (LASSO) technique, COX proportional risk model assessments were performed to evaluate the association between TyG index and WWI index and diabetes risk, Kaplan-Meier analyses were used for cumulative risk and mediation analyses were used to assess the mediated relationship between TyG index, WWI index and diabetes risk. In addition, subgroup analyses and sensitivity analyses were performed to investigate the predictive performance and robustness of the results in different populations.</p><p><strong>Results: </strong>A total of 880 participants developed diabetes over the course of 9 years of follow-up.COX proportional risk regression modelling revealed that participants with high TyG and high WWI had the highest risk (HR = 1.59, 95% CI: 1.28-1.97), followed by participants with high TyG and low WWI (HR = 1.26, 95% CI: 1.01-1.57), and participants with low TyG and low WWI participants (HR = 1.22, 95% CI: 0.97-1.52). Subgroup analyses and sensitivity analyses further confirmed these findings.</p><p><strong>Conclusion: </strong>There is a complex interaction between TyG index, WWI and diabetes risk, and the combined prediction of TyG index and WWI has higher clinical value. These findings highlight the importance of considering both insulin resistance(IR) and visceral adiposity in diabetes risk assessment to improve the identification of at-risk individuals, who can be monitored and intervened on to reduce the overall burden of diabetes.</p><p><strong>Clinical trial number: </strong>Not applicable.</p>","PeriodicalId":9152,"journal":{"name":"BMC Endocrine Disorders","volume":"25 1","pages":"187"},"PeriodicalIF":3.3000,"publicationDate":"2025-07-25","publicationTypes":"Journal Article","fieldsOfStudy":null,"isOpenAccess":false,"openAccessPdf":"https://www.ncbi.nlm.nih.gov/pmc/articles/PMC12291379/pdf/","citationCount":"0","resultStr":"{\"title\":\"Interaction of triglyceride glucose index and weight-adjusted waist circumference index in the risk of diabetes: from a national cohort study.\",\"authors\":\"Yingqi Shan, Qingyang Liu, Tianshu Gao\",\"doi\":\"10.1186/s12902-025-02003-1\",\"DOIUrl\":null,\"url\":null,\"abstract\":\"<p><strong>Objective: </strong>Both triglyceride glucose index(TyG) and weight-adjusted waist circumference index (WWI) are independent predictors of diabetes onset, but the relationship between TyG index and WWI index and diabetes risk is not well understood. The aim of this study was to investigate the interaction between TyG and WWI indices on diabetes risk and to assess whether the combination of TyG and WWI indices is a better predictor of diabetes incidence.</p><p><strong>Methods: </strong>A total of 5555 participants aged 45 years and older without diabetes were enrolled and followed up for a duration of up to 9 years according to the China Health and Retirement Longitudinal Study (CHARLS). After identifying key predictors using the least absolute shrinkage with selection operator (LASSO) technique, COX proportional risk model assessments were performed to evaluate the association between TyG index and WWI index and diabetes risk, Kaplan-Meier analyses were used for cumulative risk and mediation analyses were used to assess the mediated relationship between TyG index, WWI index and diabetes risk. In addition, subgroup analyses and sensitivity analyses were performed to investigate the predictive performance and robustness of the results in different populations.</p><p><strong>Results: </strong>A total of 880 participants developed diabetes over the course of 9 years of follow-up.COX proportional risk regression modelling revealed that participants with high TyG and high WWI had the highest risk (HR = 1.59, 95% CI: 1.28-1.97), followed by participants with high TyG and low WWI (HR = 1.26, 95% CI: 1.01-1.57), and participants with low TyG and low WWI participants (HR = 1.22, 95% CI: 0.97-1.52). Subgroup analyses and sensitivity analyses further confirmed these findings.</p><p><strong>Conclusion: </strong>There is a complex interaction between TyG index, WWI and diabetes risk, and the combined prediction of TyG index and WWI has higher clinical value. These findings highlight the importance of considering both insulin resistance(IR) and visceral adiposity in diabetes risk assessment to improve the identification of at-risk individuals, who can be monitored and intervened on to reduce the overall burden of diabetes.</p><p><strong>Clinical trial number: </strong>Not applicable.</p>\",\"PeriodicalId\":9152,\"journal\":{\"name\":\"BMC Endocrine Disorders\",\"volume\":\"25 1\",\"pages\":\"187\"},\"PeriodicalIF\":3.3000,\"publicationDate\":\"2025-07-25\",\"publicationTypes\":\"Journal Article\",\"fieldsOfStudy\":null,\"isOpenAccess\":false,\"openAccessPdf\":\"https://www.ncbi.nlm.nih.gov/pmc/articles/PMC12291379/pdf/\",\"citationCount\":\"0\",\"resultStr\":null,\"platform\":\"Semanticscholar\",\"paperid\":null,\"PeriodicalName\":\"BMC Endocrine Disorders\",\"FirstCategoryId\":\"3\",\"ListUrlMain\":\"https://doi.org/10.1186/s12902-025-02003-1\",\"RegionNum\":3,\"RegionCategory\":\"医学\",\"ArticlePicture\":[],\"TitleCN\":null,\"AbstractTextCN\":null,\"PMCID\":null,\"EPubDate\":\"\",\"PubModel\":\"\",\"JCR\":\"Q3\",\"JCRName\":\"ENDOCRINOLOGY & METABOLISM\",\"Score\":null,\"Total\":0}","platform":"Semanticscholar","paperid":null,"PeriodicalName":"BMC Endocrine Disorders","FirstCategoryId":"3","ListUrlMain":"https://doi.org/10.1186/s12902-025-02003-1","RegionNum":3,"RegionCategory":"医学","ArticlePicture":[],"TitleCN":null,"AbstractTextCN":null,"PMCID":null,"EPubDate":"","PubModel":"","JCR":"Q3","JCRName":"ENDOCRINOLOGY & METABOLISM","Score":null,"Total":0}
引用次数: 0

摘要

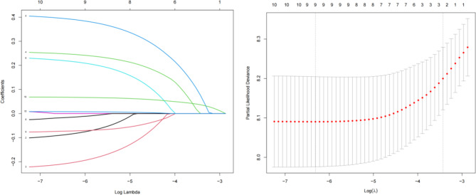
目的:甘油三酯葡萄糖指数(TyG)和体重调整腰围指数(WWI)都是糖尿病发病的独立预测指标,但TyG指数和WWI指数与糖尿病风险的关系尚不清楚。本研究的目的是探讨TyG和WWI指标对糖尿病风险的相互作用,并评估TyG和WWI指标联合使用是否能更好地预测糖尿病发病率。方法:根据中国健康与退休纵向研究(CHARLS),共纳入5555名年龄在45岁及以上无糖尿病的参与者,随访时间长达9年。采用最小绝对收缩选择算子(LASSO)技术确定关键预测因子后,采用COX比例风险模型评估TyG指数、第一次世界大战指数与糖尿病风险之间的相关性,采用Kaplan-Meier分析累积风险,采用中介分析评估TyG指数、第一次世界大战指数与糖尿病风险之间的中介关系。此外,还进行了亚组分析和敏感性分析,以研究结果在不同人群中的预测性能和稳健性。结果:在9年的随访过程中,共有880名参与者患上了糖尿病。COX比例风险回归模型显示,高TyG和高WWI的参与者风险最高(HR = 1.59, 95% CI: 1.28-1.97),其次是高TyG和低WWI的参与者(HR = 1.26, 95% CI: 1.01-1.57),低TyG和低WWI的参与者(HR = 1.22, 95% CI: 0.97-1.52)。亚组分析和敏感性分析进一步证实了这些发现。结论:TyG指数、WWI与糖尿病风险之间存在复杂的相互作用,联合预测TyG指数和WWI具有较高的临床价值。这些发现强调了在糖尿病风险评估中同时考虑胰岛素抵抗(IR)和内脏脂肪的重要性,以提高对高危个体的识别,从而可以对其进行监测和干预,以减轻糖尿病的总体负担。临床试验号:不适用。
本文章由计算机程序翻译,如有差异,请以英文原文为准。

Interaction of triglyceride glucose index and weight-adjusted waist circumference index in the risk of diabetes: from a national cohort study.

Interaction of triglyceride glucose index and weight-adjusted waist circumference index in the risk of diabetes: from a national cohort study.

Interaction of triglyceride glucose index and weight-adjusted waist circumference index in the risk of diabetes: from a national cohort study.

Interaction of triglyceride glucose index and weight-adjusted waist circumference index in the risk of diabetes: from a national cohort study.

Objective: Both triglyceride glucose index(TyG) and weight-adjusted waist circumference index (WWI) are independent predictors of diabetes onset, but the relationship between TyG index and WWI index and diabetes risk is not well understood. The aim of this study was to investigate the interaction between TyG and WWI indices on diabetes risk and to assess whether the combination of TyG and WWI indices is a better predictor of diabetes incidence.

Methods: A total of 5555 participants aged 45 years and older without diabetes were enrolled and followed up for a duration of up to 9 years according to the China Health and Retirement Longitudinal Study (CHARLS). After identifying key predictors using the least absolute shrinkage with selection operator (LASSO) technique, COX proportional risk model assessments were performed to evaluate the association between TyG index and WWI index and diabetes risk, Kaplan-Meier analyses were used for cumulative risk and mediation analyses were used to assess the mediated relationship between TyG index, WWI index and diabetes risk. In addition, subgroup analyses and sensitivity analyses were performed to investigate the predictive performance and robustness of the results in different populations.

Results: A total of 880 participants developed diabetes over the course of 9 years of follow-up.COX proportional risk regression modelling revealed that participants with high TyG and high WWI had the highest risk (HR = 1.59, 95% CI: 1.28-1.97), followed by participants with high TyG and low WWI (HR = 1.26, 95% CI: 1.01-1.57), and participants with low TyG and low WWI participants (HR = 1.22, 95% CI: 0.97-1.52). Subgroup analyses and sensitivity analyses further confirmed these findings.

Conclusion: There is a complex interaction between TyG index, WWI and diabetes risk, and the combined prediction of TyG index and WWI has higher clinical value. These findings highlight the importance of considering both insulin resistance(IR) and visceral adiposity in diabetes risk assessment to improve the identification of at-risk individuals, who can be monitored and intervened on to reduce the overall burden of diabetes.

Clinical trial number: Not applicable.

求助全文
通过发布文献求助,成功后即可免费获取论文全文。 去求助
来源期刊
BMC Endocrine Disorders
BMC Endocrine Disorders ENDOCRINOLOGY & METABOLISM-
CiteScore
4.40
自引率
0.00%
发文量
280
审稿时长
>12 weeks
期刊介绍: BMC Endocrine Disorders is an open access, peer-reviewed journal that considers articles on all aspects of the prevention, diagnosis and management of endocrine disorders, as well as related molecular genetics, pathophysiology, and epidemiology.
×
引用
GB/T 7714-2015
复制
MLA
复制
APA
复制
导出至
BibTeX EndNote RefMan NoteFirst NoteExpress
×
提示
您的信息不完整,为了账户安全,请先补充。
现在去补充
×
提示
您因"违规操作"
具体请查看互助需知
我知道了
×
提示
确定
请完成安全验证×
copy
已复制链接
快去分享给好友吧!
我知道了
右上角分享
点击右上角分享
0
联系我们:info@booksci.cn Book学术提供免费学术资源搜索服务,方便国内外学者检索中英文文献。致力于提供最便捷和优质的服务体验。 Copyright © 2023 布克学术 All rights reserved.
京ICP备2023020795号-1
ghs 京公网安备 11010802042870号
Book学术文献互助
Book学术文献互助群
群 号:604180095
Book学术官方微信