泰国养殖亚洲海鲈(Lates calcarifer)中舒氏气单胞菌的致病性和毒力。

IF 2.6 2区 农林科学 Q1 VETERINARY SCIENCES
Clara Trullàs, Sirikorn Kitiyodom, Komkiew Pinpimai, Putita Chokmangmeepisarn, Manoj Tukaram Kamble, Channarong Rodkhum, Nopadon Pirarat
{"title":"泰国养殖亚洲海鲈(Lates calcarifer)中舒氏气单胞菌的致病性和毒力。","authors":"Clara Trullàs, Sirikorn Kitiyodom, Komkiew Pinpimai, Putita Chokmangmeepisarn, Manoj Tukaram Kamble, Channarong Rodkhum, Nopadon Pirarat","doi":"10.1186/s12917-025-04940-4","DOIUrl":null,"url":null,"abstract":"<p><strong>Background: </strong>Aeromonas schubertii, an emerging pathogen primarily recognized in humans, shrimps, and other mammals, is increasingly implicated in aquatic animal diseases. Despite its growing prevalence, reports of its involvement in fish diseases are limited. This study investigates a natural outbreak of A. schubertii associated with high mortality in cultured Asian seabass (Lates calcarifer) in Thailand and suggest its potential pathogenicity in cultured fish species.</p><p><strong>Results: </strong>To investigate the cause of mortality in Asian seabass at a commercial farm in central Thailand, two A. schubertii isolates-CHULA2021a and CHULA2021b-were recovered from moribund and dead juvenile fish. Naturally infected fish exhibited lethargy and slow swimming behavior, without any visible external lesions. In experimentally infected fish, clinical signs developed within 96 h post-exposure and included nodular lesion, and severe necrosis in the spleen, kidney, and liver. Histological examination revealed extensive infiltration of inflammatory cells, multifocal necrosis, marked hepatic damage, and occasional granuloma-like formations. Immunohistochemistry detected A. schubertii antigens predominantly in gill epithelium and phagocytic cells with the strongest signals observed in the head kidney. Survival analysis demonstrated significantly higher mortality in both immersion (87%) and injection (90%) groups compared to controls. Genomic analysis revealed a 4.2 Mb genome with 61% GC content. Phylogenetic analysis grouped A. schubertii with related Aeromonas species and highlighted distinct genetic features. Most identified virulence genes were related to adherence, particularly flagellar function, followed by a substantial number associated with secretion systems, predominantly type III and type VI.</p><p><strong>Conclusions: </strong>This study reports the presence of A. schubertii in Asian seabass and its association with significant mortality during a natural outbreak. The integration of experimental infection data, histopathology, and immunohistochemistry contributes to a comprehensive understanding of its pathogenicity and supports the development of effective control measures. Additionally, genome analysis and identification of virulence genes providing molecular insights into potential virulence mechanisms. These findings enhance our understanding of the organism's pathogenic mechanisms and provide insights for future diagnostics and disease management strategies.</p>","PeriodicalId":9041,"journal":{"name":"BMC Veterinary Research","volume":"21 1","pages":"493"},"PeriodicalIF":2.6000,"publicationDate":"2025-07-26","publicationTypes":"Journal Article","fieldsOfStudy":null,"isOpenAccess":false,"openAccessPdf":"https://www.ncbi.nlm.nih.gov/pmc/articles/PMC12297623/pdf/","citationCount":"0","resultStr":"{\"title\":\"Pathogenicity and virulence of Aeromonas schubertii in farmed Asian seabass (Lates calcarifer) in Thailand.\",\"authors\":\"Clara Trullàs, Sirikorn Kitiyodom, Komkiew Pinpimai, Putita Chokmangmeepisarn, Manoj Tukaram Kamble, Channarong Rodkhum, Nopadon Pirarat\",\"doi\":\"10.1186/s12917-025-04940-4\",\"DOIUrl\":null,\"url\":null,\"abstract\":\"<p><strong>Background: </strong>Aeromonas schubertii, an emerging pathogen primarily recognized in humans, shrimps, and other mammals, is increasingly implicated in aquatic animal diseases. Despite its growing prevalence, reports of its involvement in fish diseases are limited. This study investigates a natural outbreak of A. schubertii associated with high mortality in cultured Asian seabass (Lates calcarifer) in Thailand and suggest its potential pathogenicity in cultured fish species.</p><p><strong>Results: </strong>To investigate the cause of mortality in Asian seabass at a commercial farm in central Thailand, two A. schubertii isolates-CHULA2021a and CHULA2021b-were recovered from moribund and dead juvenile fish. Naturally infected fish exhibited lethargy and slow swimming behavior, without any visible external lesions. In experimentally infected fish, clinical signs developed within 96 h post-exposure and included nodular lesion, and severe necrosis in the spleen, kidney, and liver. Histological examination revealed extensive infiltration of inflammatory cells, multifocal necrosis, marked hepatic damage, and occasional granuloma-like formations. Immunohistochemistry detected A. schubertii antigens predominantly in gill epithelium and phagocytic cells with the strongest signals observed in the head kidney. Survival analysis demonstrated significantly higher mortality in both immersion (87%) and injection (90%) groups compared to controls. Genomic analysis revealed a 4.2 Mb genome with 61% GC content. Phylogenetic analysis grouped A. schubertii with related Aeromonas species and highlighted distinct genetic features. Most identified virulence genes were related to adherence, particularly flagellar function, followed by a substantial number associated with secretion systems, predominantly type III and type VI.</p><p><strong>Conclusions: </strong>This study reports the presence of A. schubertii in Asian seabass and its association with significant mortality during a natural outbreak. The integration of experimental infection data, histopathology, and immunohistochemistry contributes to a comprehensive understanding of its pathogenicity and supports the development of effective control measures. Additionally, genome analysis and identification of virulence genes providing molecular insights into potential virulence mechanisms. These findings enhance our understanding of the organism's pathogenic mechanisms and provide insights for future diagnostics and disease management strategies.</p>\",\"PeriodicalId\":9041,\"journal\":{\"name\":\"BMC Veterinary Research\",\"volume\":\"21 1\",\"pages\":\"493\"},\"PeriodicalIF\":2.6000,\"publicationDate\":\"2025-07-26\",\"publicationTypes\":\"Journal Article\",\"fieldsOfStudy\":null,\"isOpenAccess\":false,\"openAccessPdf\":\"https://www.ncbi.nlm.nih.gov/pmc/articles/PMC12297623/pdf/\",\"citationCount\":\"0\",\"resultStr\":null,\"platform\":\"Semanticscholar\",\"paperid\":null,\"PeriodicalName\":\"BMC Veterinary Research\",\"FirstCategoryId\":\"97\",\"ListUrlMain\":\"https://doi.org/10.1186/s12917-025-04940-4\",\"RegionNum\":2,\"RegionCategory\":\"农林科学\",\"ArticlePicture\":[],\"TitleCN\":null,\"AbstractTextCN\":null,\"PMCID\":null,\"EPubDate\":\"\",\"PubModel\":\"\",\"JCR\":\"Q1\",\"JCRName\":\"VETERINARY SCIENCES\",\"Score\":null,\"Total\":0}","platform":"Semanticscholar","paperid":null,"PeriodicalName":"BMC Veterinary Research","FirstCategoryId":"97","ListUrlMain":"https://doi.org/10.1186/s12917-025-04940-4","RegionNum":2,"RegionCategory":"农林科学","ArticlePicture":[],"TitleCN":null,"AbstractTextCN":null,"PMCID":null,"EPubDate":"","PubModel":"","JCR":"Q1","JCRName":"VETERINARY SCIENCES","Score":null,"Total":0}
引用次数: 0

摘要

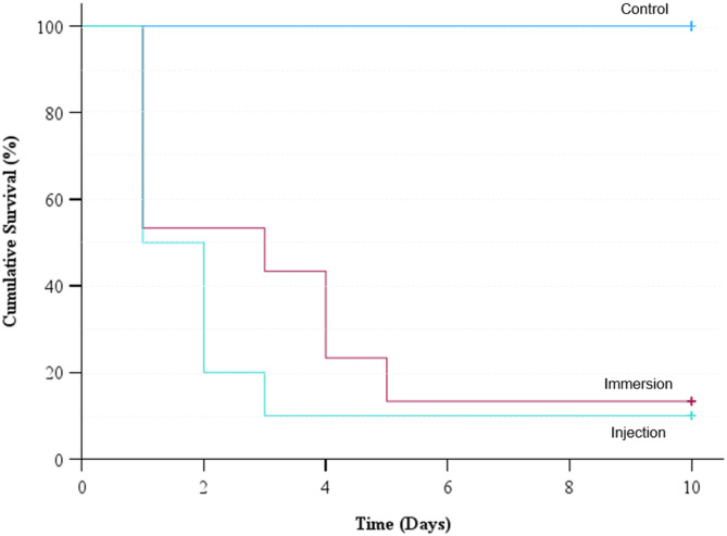
背景:舒氏气单胞菌是一种主要在人类、虾类和其他哺乳动物中发现的新兴病原体,与水生动物疾病的关系日益密切。尽管其日益流行,但有关其与鱼类疾病有关的报告有限。本研究调查了泰国养殖亚洲海鲈(Lates calcarifer)中与高死亡率相关的舒氏依蚊自然暴发,并提示其在养殖鱼类中的潜在致病性。结果:为调查泰国中部某商业养殖场亚洲海鲈的死亡原因,从死亡幼鱼和死亡幼鱼中分离出2株舒氏伊蚊chula2021a和chula2021b。自然感染的鱼表现出嗜睡和缓慢的游泳行为,没有任何可见的外部病变。在实验感染的鱼中,临床症状在暴露后96小时内出现,包括结节状病变,脾脏、肾脏和肝脏严重坏死。组织学检查显示广泛的炎症细胞浸润,多灶性坏死,明显的肝损伤,偶有肉芽肿样形成。免疫组织化学检测到舒氏不对称弧菌抗原主要存在于鳃上皮和吞噬细胞中,在头肾中观察到最强的信号。生存分析表明,与对照组相比,浸泡组(87%)和注射组(90%)的死亡率均显著高于对照组。基因组分析显示,基因组大小为4.2 Mb, GC含量为61%。系统发育分析将舒氏单胞菌与相近的气单胞菌类群归类,突出了其独特的遗传特征。大多数已确定的毒力基因与粘附性有关,特别是鞭毛功能,其次是大量与分泌系统相关的基因,主要是III型和vi型。结论:本研究报告了亚洲海鲈中存在舒伯依蚊及其与自然爆发期间显著死亡率的关系。实验感染数据、组织病理学和免疫组织化学的整合有助于全面了解其致病性,并支持制定有效的控制措施。此外,基因组分析和鉴定毒力基因提供潜在的毒力机制的分子见解。这些发现增强了我们对该生物致病机制的理解,并为未来的诊断和疾病管理策略提供了见解。
本文章由计算机程序翻译,如有差异,请以英文原文为准。

Pathogenicity and virulence of Aeromonas schubertii in farmed Asian seabass (Lates calcarifer) in Thailand.

Pathogenicity and virulence of Aeromonas schubertii in farmed Asian seabass (Lates calcarifer) in Thailand.

Pathogenicity and virulence of Aeromonas schubertii in farmed Asian seabass (Lates calcarifer) in Thailand.

Pathogenicity and virulence of Aeromonas schubertii in farmed Asian seabass (Lates calcarifer) in Thailand.

Background: Aeromonas schubertii, an emerging pathogen primarily recognized in humans, shrimps, and other mammals, is increasingly implicated in aquatic animal diseases. Despite its growing prevalence, reports of its involvement in fish diseases are limited. This study investigates a natural outbreak of A. schubertii associated with high mortality in cultured Asian seabass (Lates calcarifer) in Thailand and suggest its potential pathogenicity in cultured fish species.

Results: To investigate the cause of mortality in Asian seabass at a commercial farm in central Thailand, two A. schubertii isolates-CHULA2021a and CHULA2021b-were recovered from moribund and dead juvenile fish. Naturally infected fish exhibited lethargy and slow swimming behavior, without any visible external lesions. In experimentally infected fish, clinical signs developed within 96 h post-exposure and included nodular lesion, and severe necrosis in the spleen, kidney, and liver. Histological examination revealed extensive infiltration of inflammatory cells, multifocal necrosis, marked hepatic damage, and occasional granuloma-like formations. Immunohistochemistry detected A. schubertii antigens predominantly in gill epithelium and phagocytic cells with the strongest signals observed in the head kidney. Survival analysis demonstrated significantly higher mortality in both immersion (87%) and injection (90%) groups compared to controls. Genomic analysis revealed a 4.2 Mb genome with 61% GC content. Phylogenetic analysis grouped A. schubertii with related Aeromonas species and highlighted distinct genetic features. Most identified virulence genes were related to adherence, particularly flagellar function, followed by a substantial number associated with secretion systems, predominantly type III and type VI.

Conclusions: This study reports the presence of A. schubertii in Asian seabass and its association with significant mortality during a natural outbreak. The integration of experimental infection data, histopathology, and immunohistochemistry contributes to a comprehensive understanding of its pathogenicity and supports the development of effective control measures. Additionally, genome analysis and identification of virulence genes providing molecular insights into potential virulence mechanisms. These findings enhance our understanding of the organism's pathogenic mechanisms and provide insights for future diagnostics and disease management strategies.

求助全文
通过发布文献求助,成功后即可免费获取论文全文。 去求助
来源期刊
BMC Veterinary Research
BMC Veterinary Research VETERINARY SCIENCES-
CiteScore
4.80
自引率
3.80%
发文量
420
审稿时长
3-6 weeks
期刊介绍: BMC Veterinary Research is an open access, peer-reviewed journal that considers articles on all aspects of veterinary science and medicine, including the epidemiology, diagnosis, prevention and treatment of medical conditions of domestic, companion, farm and wild animals, as well as the biomedical processes that underlie their health.
×
引用
GB/T 7714-2015
复制
MLA
复制
APA
复制
导出至
BibTeX EndNote RefMan NoteFirst NoteExpress
×
提示
您的信息不完整,为了账户安全,请先补充。
现在去补充
×
提示
您因"违规操作"
具体请查看互助需知
我知道了
×
提示
确定
请完成安全验证×
copy
已复制链接
快去分享给好友吧!
我知道了
右上角分享
点击右上角分享
0
联系我们:info@booksci.cn Book学术提供免费学术资源搜索服务,方便国内外学者检索中英文文献。致力于提供最便捷和优质的服务体验。 Copyright © 2023 布克学术 All rights reserved.
京ICP备2023020795号-1
ghs 京公网安备 11010802042870号
Book学术文献互助
Book学术文献互助群
群 号:604180095
Book学术官方微信