社会交往中的损失规避。

Benjamin J Kuper-Smith, Christoph W Korn
{"title":"社会交往中的损失规避。","authors":"Benjamin J Kuper-Smith, Christoph W Korn","doi":"10.1038/s44271-025-00288-5","DOIUrl":null,"url":null,"abstract":"<p><p>Social interactions lead to outcomes for oneself and others, which can be gains or losses. Yet, it is unclear how exactly people's social decisions are affected by whether an outcome is above or below zero. We systematically varied whether the outcomes of social dilemmas (Prisoner's Dilemma, Stag Hunt, Chicken) were gains, losses, or combinations thereof. Across seven experiments (4 preregistered; N<sub>Offline</sub> = 197, N<sub>Online</sub> = 1653), participants tried to avoid losses altogether (loss avoidance), but there was no consistent evidence that they tried to minimize losses (loss aversion). If cooperation avoided losses, people cooperated more; if defection avoided losses, people defected more, even if this imposed a loss on the other person. Our results suggest that cooperation and social interactions can be influenced systematically if the situation allows people to avoid losses.</p>","PeriodicalId":501698,"journal":{"name":"Communications Psychology","volume":"3 1","pages":"114"},"PeriodicalIF":0.0000,"publicationDate":"2025-07-24","publicationTypes":"Journal Article","fieldsOfStudy":null,"isOpenAccess":false,"openAccessPdf":"https://www.ncbi.nlm.nih.gov/pmc/articles/PMC12289979/pdf/","citationCount":"0","resultStr":"{\"title\":\"Loss avoidance during social interactions.\",\"authors\":\"Benjamin J Kuper-Smith, Christoph W Korn\",\"doi\":\"10.1038/s44271-025-00288-5\",\"DOIUrl\":null,\"url\":null,\"abstract\":\"<p><p>Social interactions lead to outcomes for oneself and others, which can be gains or losses. Yet, it is unclear how exactly people's social decisions are affected by whether an outcome is above or below zero. We systematically varied whether the outcomes of social dilemmas (Prisoner's Dilemma, Stag Hunt, Chicken) were gains, losses, or combinations thereof. Across seven experiments (4 preregistered; N<sub>Offline</sub> = 197, N<sub>Online</sub> = 1653), participants tried to avoid losses altogether (loss avoidance), but there was no consistent evidence that they tried to minimize losses (loss aversion). If cooperation avoided losses, people cooperated more; if defection avoided losses, people defected more, even if this imposed a loss on the other person. Our results suggest that cooperation and social interactions can be influenced systematically if the situation allows people to avoid losses.</p>\",\"PeriodicalId\":501698,\"journal\":{\"name\":\"Communications Psychology\",\"volume\":\"3 1\",\"pages\":\"114\"},\"PeriodicalIF\":0.0000,\"publicationDate\":\"2025-07-24\",\"publicationTypes\":\"Journal Article\",\"fieldsOfStudy\":null,\"isOpenAccess\":false,\"openAccessPdf\":\"https://www.ncbi.nlm.nih.gov/pmc/articles/PMC12289979/pdf/\",\"citationCount\":\"0\",\"resultStr\":null,\"platform\":\"Semanticscholar\",\"paperid\":null,\"PeriodicalName\":\"Communications Psychology\",\"FirstCategoryId\":\"1085\",\"ListUrlMain\":\"https://doi.org/10.1038/s44271-025-00288-5\",\"RegionNum\":0,\"RegionCategory\":null,\"ArticlePicture\":[],\"TitleCN\":null,\"AbstractTextCN\":null,\"PMCID\":null,\"EPubDate\":\"\",\"PubModel\":\"\",\"JCR\":\"\",\"JCRName\":\"\",\"Score\":null,\"Total\":0}","platform":"Semanticscholar","paperid":null,"PeriodicalName":"Communications Psychology","FirstCategoryId":"1085","ListUrlMain":"https://doi.org/10.1038/s44271-025-00288-5","RegionNum":0,"RegionCategory":null,"ArticlePicture":[],"TitleCN":null,"AbstractTextCN":null,"PMCID":null,"EPubDate":"","PubModel":"","JCR":"","JCRName":"","Score":null,"Total":0}
引用次数: 0

摘要

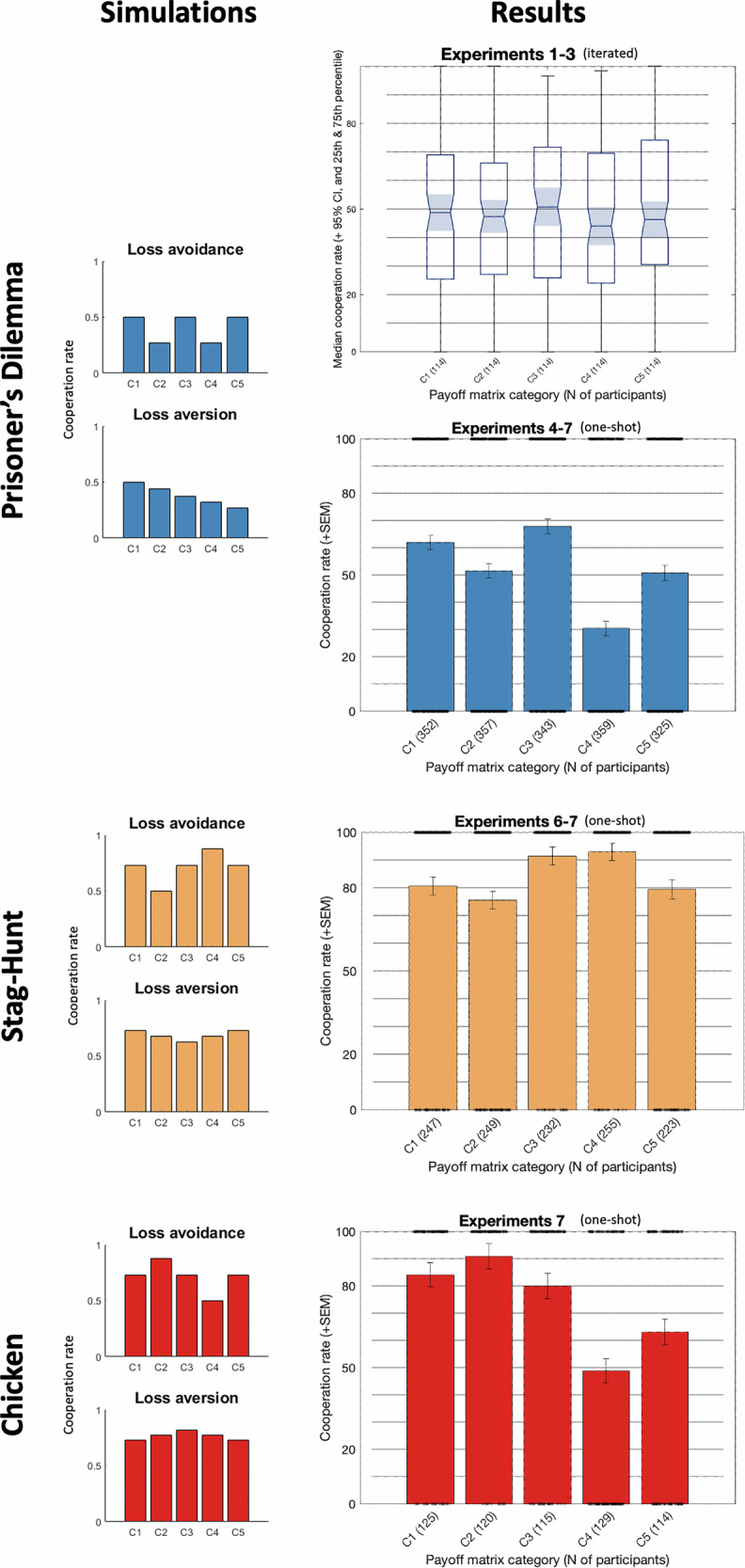
社会互动会给自己和他人带来结果,可能是收获,也可能是损失。然而,目前尚不清楚人们的社会决策究竟是如何受到结果是高于还是低于零的影响的。我们系统地改变了社会困境(囚徒困境、猎鹿、猎鸡)的结果是收益、损失还是两者的组合。在7个实验中(4个预注册;离线= 197,非在线= 1653),参与者试图完全避免损失(损失规避),但没有一致的证据表明他们试图尽量减少损失(损失厌恶)。如果合作能避免损失,人们就会更加合作;如果背叛可以避免损失,人们就会更多地背叛,即使这给另一个人带来了损失。我们的研究结果表明,如果情况允许人们避免损失,合作和社会互动可以系统地受到影响。
本文章由计算机程序翻译,如有差异,请以英文原文为准。

Loss avoidance during social interactions.

Loss avoidance during social interactions.

Loss avoidance during social interactions.

Loss avoidance during social interactions.

Social interactions lead to outcomes for oneself and others, which can be gains or losses. Yet, it is unclear how exactly people's social decisions are affected by whether an outcome is above or below zero. We systematically varied whether the outcomes of social dilemmas (Prisoner's Dilemma, Stag Hunt, Chicken) were gains, losses, or combinations thereof. Across seven experiments (4 preregistered; NOffline = 197, NOnline = 1653), participants tried to avoid losses altogether (loss avoidance), but there was no consistent evidence that they tried to minimize losses (loss aversion). If cooperation avoided losses, people cooperated more; if defection avoided losses, people defected more, even if this imposed a loss on the other person. Our results suggest that cooperation and social interactions can be influenced systematically if the situation allows people to avoid losses.

求助全文
通过发布文献求助,成功后即可免费获取论文全文。 去求助
来源期刊
自引率
0.00%
发文量
0
×
引用
GB/T 7714-2015
复制
MLA
复制
APA
复制
导出至
BibTeX EndNote RefMan NoteFirst NoteExpress
×
提示
您的信息不完整,为了账户安全,请先补充。
现在去补充
×
提示
您因"违规操作"
具体请查看互助需知
我知道了
×
提示
确定
请完成安全验证×
copy
已复制链接
快去分享给好友吧!
我知道了
右上角分享
点击右上角分享
0
联系我们:info@booksci.cn Book学术提供免费学术资源搜索服务,方便国内外学者检索中英文文献。致力于提供最便捷和优质的服务体验。 Copyright © 2023 布克学术 All rights reserved.
京ICP备2023020795号-1
ghs 京公网安备 11010802042870号
Book学术文献互助
Book学术文献互助群
群 号:604180095
Book学术官方微信