在完全物理条件下晶格QCD的η, η '介子。

IF 2.8 3区 物理与天体物理 Q2 PHYSICS, NUCLEAR
Konstantin Ottnad, Simone Bacchio, Jacob Finkenrath, Bartosz Kostrzewa, Marcus Petschlies, Ferenc Pittler, Carsten Urbach, Urs Wenger
{"title":"在完全物理条件下晶格QCD的η, η '介子。","authors":"Konstantin Ottnad,&nbsp;Simone Bacchio,&nbsp;Jacob Finkenrath,&nbsp;Bartosz Kostrzewa,&nbsp;Marcus Petschlies,&nbsp;Ferenc Pittler,&nbsp;Carsten Urbach,&nbsp;Urs Wenger","doi":"10.1140/epja/s10050-025-01635-0","DOIUrl":null,"url":null,"abstract":"<div><p>We determine masses and mixing parameters of the <span>\\(\\eta \\)</span> and <span>\\(\\eta ^\\prime \\)</span> meson in lattice QCD. The calculations are carried out on a set of 13 ETMC gauge ensembles with <span>\\(N_f=2+1+1\\)</span> (maximally) twisted-mass Clover-improved quarks. These ensemble cover four values of the lattice spacing <span>\\(a=0.057\\,\\textrm{fm},\\ldots ,0.092\\,\\textrm{fm}\\)</span> and pion masses from 140 to <span>\\(360\\,\\textrm{MeV}\\)</span>, including three ensembles at physical quark masses and six ensembles with <span>\\(M_\\pi &lt;200\\,\\textrm{MeV}\\)</span>. The strange-quark contribution is treated in a mixed-action approach using Osterwalder–Seiler fermions to avoid complications due to flavor mixing in the heavy quark sector and to enable the use of the one-end trick in the computation of strange quark-disconnected diagrams. With the strange-quark mass tuned to its physical value and several ensembles having close-to-physical light-quark mass, uncertainties related to the chiral extrapolations are reduced significantly compared to earlier studies. Physical results are computed with fully controlled systematics from a combined chiral, continuum and infinite-volume extrapolation, and a full error budget is obtained from model averages over of various fit ansätze and data cuts. Our results for the masses are given by <span>\\(M_\\eta =551(16)\\,\\textrm{MeV}\\)</span> and <span>\\(M_{\\eta ^\\prime }=972(20)\\,\\textrm{MeV}\\)</span>, respectively, where statistical and systematic errors have been added in quadrature. For the mixing angle and decay-constant parameters the Feldmann–Kroll–Stech scheme is employed to compute them from pseudoscalar matrix elements in the quark-flavor basis. For the mixing angle we obtain <span>\\(\\phi ^\\textrm{phys}=39.3(2.0)^\\circ \\)</span> and our results for the decay-constant parameters are given by <span>\\(f_l^\\textrm{phys}=138.6(4.4)\\,\\textrm{MeV}\\)</span> and <span>\\(f_s^\\textrm{phys}=170.7(3.3)\\,\\textrm{MeV}\\)</span>.</p></div>","PeriodicalId":786,"journal":{"name":"The European Physical Journal A","volume":"61 7","pages":""},"PeriodicalIF":2.8000,"publicationDate":"2025-07-22","publicationTypes":"Journal Article","fieldsOfStudy":null,"isOpenAccess":false,"openAccessPdf":"https://www.ncbi.nlm.nih.gov/pmc/articles/PMC12283833/pdf/","citationCount":"0","resultStr":"{\"title\":\"\\\\(\\\\eta \\\\), \\\\(\\\\eta ^\\\\prime \\\\) mesons from lattice QCD in fully physical conditions\",\"authors\":\"Konstantin Ottnad,&nbsp;Simone Bacchio,&nbsp;Jacob Finkenrath,&nbsp;Bartosz Kostrzewa,&nbsp;Marcus Petschlies,&nbsp;Ferenc Pittler,&nbsp;Carsten Urbach,&nbsp;Urs Wenger\",\"doi\":\"10.1140/epja/s10050-025-01635-0\",\"DOIUrl\":null,\"url\":null,\"abstract\":\"<div><p>We determine masses and mixing parameters of the <span>\\\\(\\\\eta \\\\)</span> and <span>\\\\(\\\\eta ^\\\\prime \\\\)</span> meson in lattice QCD. The calculations are carried out on a set of 13 ETMC gauge ensembles with <span>\\\\(N_f=2+1+1\\\\)</span> (maximally) twisted-mass Clover-improved quarks. These ensemble cover four values of the lattice spacing <span>\\\\(a=0.057\\\\,\\\\textrm{fm},\\\\ldots ,0.092\\\\,\\\\textrm{fm}\\\\)</span> and pion masses from 140 to <span>\\\\(360\\\\,\\\\textrm{MeV}\\\\)</span>, including three ensembles at physical quark masses and six ensembles with <span>\\\\(M_\\\\pi &lt;200\\\\,\\\\textrm{MeV}\\\\)</span>. The strange-quark contribution is treated in a mixed-action approach using Osterwalder–Seiler fermions to avoid complications due to flavor mixing in the heavy quark sector and to enable the use of the one-end trick in the computation of strange quark-disconnected diagrams. With the strange-quark mass tuned to its physical value and several ensembles having close-to-physical light-quark mass, uncertainties related to the chiral extrapolations are reduced significantly compared to earlier studies. Physical results are computed with fully controlled systematics from a combined chiral, continuum and infinite-volume extrapolation, and a full error budget is obtained from model averages over of various fit ansätze and data cuts. Our results for the masses are given by <span>\\\\(M_\\\\eta =551(16)\\\\,\\\\textrm{MeV}\\\\)</span> and <span>\\\\(M_{\\\\eta ^\\\\prime }=972(20)\\\\,\\\\textrm{MeV}\\\\)</span>, respectively, where statistical and systematic errors have been added in quadrature. For the mixing angle and decay-constant parameters the Feldmann–Kroll–Stech scheme is employed to compute them from pseudoscalar matrix elements in the quark-flavor basis. For the mixing angle we obtain <span>\\\\(\\\\phi ^\\\\textrm{phys}=39.3(2.0)^\\\\circ \\\\)</span> and our results for the decay-constant parameters are given by <span>\\\\(f_l^\\\\textrm{phys}=138.6(4.4)\\\\,\\\\textrm{MeV}\\\\)</span> and <span>\\\\(f_s^\\\\textrm{phys}=170.7(3.3)\\\\,\\\\textrm{MeV}\\\\)</span>.</p></div>\",\"PeriodicalId\":786,\"journal\":{\"name\":\"The European Physical Journal A\",\"volume\":\"61 7\",\"pages\":\"\"},\"PeriodicalIF\":2.8000,\"publicationDate\":\"2025-07-22\",\"publicationTypes\":\"Journal Article\",\"fieldsOfStudy\":null,\"isOpenAccess\":false,\"openAccessPdf\":\"https://www.ncbi.nlm.nih.gov/pmc/articles/PMC12283833/pdf/\",\"citationCount\":\"0\",\"resultStr\":null,\"platform\":\"Semanticscholar\",\"paperid\":null,\"PeriodicalName\":\"The European Physical Journal A\",\"FirstCategoryId\":\"4\",\"ListUrlMain\":\"https://link.springer.com/article/10.1140/epja/s10050-025-01635-0\",\"RegionNum\":3,\"RegionCategory\":\"物理与天体物理\",\"ArticlePicture\":[],\"TitleCN\":null,\"AbstractTextCN\":null,\"PMCID\":null,\"EPubDate\":\"\",\"PubModel\":\"\",\"JCR\":\"Q2\",\"JCRName\":\"PHYSICS, NUCLEAR\",\"Score\":null,\"Total\":0}","platform":"Semanticscholar","paperid":null,"PeriodicalName":"The European Physical Journal A","FirstCategoryId":"4","ListUrlMain":"https://link.springer.com/article/10.1140/epja/s10050-025-01635-0","RegionNum":3,"RegionCategory":"物理与天体物理","ArticlePicture":[],"TitleCN":null,"AbstractTextCN":null,"PMCID":null,"EPubDate":"","PubModel":"","JCR":"Q2","JCRName":"PHYSICS, NUCLEAR","Score":null,"Total":0}
引用次数: 0

摘要

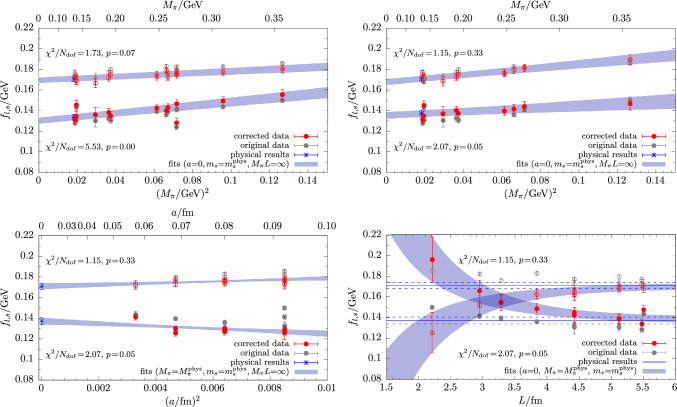
我们确定了晶格QCD中η介子和η介子的质量和混合参数。计算是在一组13个ETMC规范系综上进行的,这些系综具有N f = 2 + 1 + 1(最大)扭曲质量的三叶草改进夸克。这些系综涵盖了晶格间距a = 0.057 fm,…,0.092 fm和介子质量140 ~ 360 MeV的4个值,其中包括3个物理夸克质量系综和6个M π 200 MeV系综。利用Osterwalder-Seiler费米子以混合作用的方式处理奇异夸克的贡献,以避免在重夸克区域中由于风味混合而引起的复杂性,并使在奇异夸克断开图的计算中使用一端技巧成为可能。随着奇异夸克质量调整到其物理值,以及一些具有接近物理轻夸克质量的系综,与早期研究相比,与手性外推相关的不确定性显著降低。物理结果通过手性、连续统和无限体积外推的完全控制系统计算,并通过各种拟合ansätze和数据切割的模型平均值获得完整的误差预算。我们的质量结果分别由M η = 551 (16) MeV和M η ' = 972 (20) MeV给出,其中统计误差和系统误差已在正交中加入。对于混合角和衰减常数参数,采用Feldmann-Kroll-Stech格式从夸克-味基的伪标量矩阵元素计算。对于混合角,我们得到φ phys = 39.3(2.0)°,衰减常数参数的结果为f φ phys = 138.6 (4.4) MeV和f φ phys = 170.7 (3.3) MeV。
本文章由计算机程序翻译,如有差异,请以英文原文为准。

\(\eta \), \(\eta ^\prime \) mesons from lattice QCD in fully physical conditions

\(\eta \), \(\eta ^\prime \) mesons from lattice QCD in fully physical conditions

\(\eta \), \(\eta ^\prime \) mesons from lattice QCD in fully physical conditions

\(\eta \), \(\eta ^\prime \) mesons from lattice QCD in fully physical conditions

We determine masses and mixing parameters of the \(\eta \) and \(\eta ^\prime \) meson in lattice QCD. The calculations are carried out on a set of 13 ETMC gauge ensembles with \(N_f=2+1+1\) (maximally) twisted-mass Clover-improved quarks. These ensemble cover four values of the lattice spacing \(a=0.057\,\textrm{fm},\ldots ,0.092\,\textrm{fm}\) and pion masses from 140 to \(360\,\textrm{MeV}\), including three ensembles at physical quark masses and six ensembles with \(M_\pi <200\,\textrm{MeV}\). The strange-quark contribution is treated in a mixed-action approach using Osterwalder–Seiler fermions to avoid complications due to flavor mixing in the heavy quark sector and to enable the use of the one-end trick in the computation of strange quark-disconnected diagrams. With the strange-quark mass tuned to its physical value and several ensembles having close-to-physical light-quark mass, uncertainties related to the chiral extrapolations are reduced significantly compared to earlier studies. Physical results are computed with fully controlled systematics from a combined chiral, continuum and infinite-volume extrapolation, and a full error budget is obtained from model averages over of various fit ansätze and data cuts. Our results for the masses are given by \(M_\eta =551(16)\,\textrm{MeV}\) and \(M_{\eta ^\prime }=972(20)\,\textrm{MeV}\), respectively, where statistical and systematic errors have been added in quadrature. For the mixing angle and decay-constant parameters the Feldmann–Kroll–Stech scheme is employed to compute them from pseudoscalar matrix elements in the quark-flavor basis. For the mixing angle we obtain \(\phi ^\textrm{phys}=39.3(2.0)^\circ \) and our results for the decay-constant parameters are given by \(f_l^\textrm{phys}=138.6(4.4)\,\textrm{MeV}\) and \(f_s^\textrm{phys}=170.7(3.3)\,\textrm{MeV}\).

求助全文
通过发布文献求助,成功后即可免费获取论文全文。 去求助
来源期刊
The European Physical Journal A
The European Physical Journal A 物理-物理:核物理
CiteScore
5.00
自引率
18.50%
发文量
216
审稿时长
3-8 weeks
期刊介绍: Hadron Physics Hadron Structure Hadron Spectroscopy Hadronic and Electroweak Interactions of Hadrons Nonperturbative Approaches to QCD Phenomenological Approaches to Hadron Physics Nuclear and Quark Matter Heavy-Ion Collisions Phase Diagram of the Strong Interaction Hard Probes Quark-Gluon Plasma and Hadronic Matter Relativistic Transport and Hydrodynamics Compact Stars Nuclear Physics Nuclear Structure and Reactions Few-Body Systems Radioactive Beams Electroweak Interactions Nuclear Astrophysics Article Categories Letters (Open Access) Regular Articles New Tools and Techniques Reviews.
×
引用
GB/T 7714-2015
复制
MLA
复制
APA
复制
导出至
BibTeX EndNote RefMan NoteFirst NoteExpress
×
提示
您的信息不完整,为了账户安全,请先补充。
现在去补充
×
提示
您因"违规操作"
具体请查看互助需知
我知道了
×
提示
确定
请完成安全验证×
copy
已复制链接
快去分享给好友吧!
我知道了
右上角分享
点击右上角分享
0
联系我们:info@booksci.cn Book学术提供免费学术资源搜索服务,方便国内外学者检索中英文文献。致力于提供最便捷和优质的服务体验。 Copyright © 2023 布克学术 All rights reserved.
京ICP备2023020795号-1
ghs 京公网安备 11010802042870号
Book学术文献互助
Book学术文献互助群
群 号:604180095
Book学术官方微信