VDR、CYP2R1和GC基因多态性、饮食摄入和BMI在调节维生素D状态中的关系

IF 3 Q2 MEDICINE, RESEARCH & EXPERIMENTAL
Carmina Mariana Stroia, Annamaria Pallag, Maria Vrânceanu, David de Lorenzo, Keith Anthony Grimaldi, Csaba Robert Pallag, Kinga Vindis, Diana Bei, Cristina Burlou-Nagy Fati, Timea Claudia Ghitea
{"title":"VDR、CYP2R1和GC基因多态性、饮食摄入和BMI在调节维生素D状态中的关系","authors":"Carmina Mariana Stroia, Annamaria Pallag, Maria Vrânceanu, David de Lorenzo, Keith Anthony Grimaldi, Csaba Robert Pallag, Kinga Vindis, Diana Bei, Cristina Burlou-Nagy Fati, Timea Claudia Ghitea","doi":"10.3390/diseases13070219","DOIUrl":null,"url":null,"abstract":"<p><p>Vitamin D plays a crucial role in bone health and immune function, with serum 25(OH)D levels influenced by genetic, dietary, and metabolic factors.</p><p><strong>Background/objectives: </strong>This study investigated the impact of <i>VDR</i> rs731236, <i>CYP2R1</i> rs10741657, and <i>GC</i> rs2282679 polymorphisms, body mass index (BMI), and dietary vitamin D intake on vitamin D status.</p><p><strong>Methods: </strong>A total of 230 adults were classified into four BMI categories: normal weight (NW), overweight (OW), obesity class I (OB), and obesity class II/III (OP). Participants completed a Food Frequency Questionnaire (FFQ) and a 7-day Food Frequency Diary (FFD). Genotyping was performed using TaqMan assays, and serum 25(OH)D was quantified via spectrophotometry. Statistical analyses included ANOVA and multiple linear regression.</p><p><strong>Results: </strong>The <i>VDR</i> rs731236 CC genotype, <i>CYP2R1</i> rs10741657 AG/GG, and <i>GC</i> rs2282679 AC/CC were associated with lower serum vitamin D levels. A higher BMI was significantly correlated with reduced serum 25(OH)D (<i>p</i> < 0.001), with BMI emerging as the strongest predictor of vitamin D status. FFQ-based dietary intake showed a modest positive correlation with 25(OH)D (r = 0.47, <i>p</i> < 0.001).</p><p><strong>Conclusions: </strong>BMI and genetic variants in <i>VDR</i>, <i>CYP2R1</i>, and <i>GC</i> significantly influence vitamin D metabolism. Personalized interventions addressing genetic predispositions and weight management may improve vitamin D status.</p>","PeriodicalId":72832,"journal":{"name":"Diseases (Basel, Switzerland)","volume":"13 7","pages":""},"PeriodicalIF":3.0000,"publicationDate":"2025-07-14","publicationTypes":"Journal Article","fieldsOfStudy":null,"isOpenAccess":false,"openAccessPdf":"https://www.ncbi.nlm.nih.gov/pmc/articles/PMC12293828/pdf/","citationCount":"0","resultStr":"{\"title\":\"The Association of <i>VDR</i>, <i>CYP2R1</i>, and <i>GC</i> Gene Polymorphisms, Dietary Intake, and BMI in Regulating Vitamin D Status.\",\"authors\":\"Carmina Mariana Stroia, Annamaria Pallag, Maria Vrânceanu, David de Lorenzo, Keith Anthony Grimaldi, Csaba Robert Pallag, Kinga Vindis, Diana Bei, Cristina Burlou-Nagy Fati, Timea Claudia Ghitea\",\"doi\":\"10.3390/diseases13070219\",\"DOIUrl\":null,\"url\":null,\"abstract\":\"<p><p>Vitamin D plays a crucial role in bone health and immune function, with serum 25(OH)D levels influenced by genetic, dietary, and metabolic factors.</p><p><strong>Background/objectives: </strong>This study investigated the impact of <i>VDR</i> rs731236, <i>CYP2R1</i> rs10741657, and <i>GC</i> rs2282679 polymorphisms, body mass index (BMI), and dietary vitamin D intake on vitamin D status.</p><p><strong>Methods: </strong>A total of 230 adults were classified into four BMI categories: normal weight (NW), overweight (OW), obesity class I (OB), and obesity class II/III (OP). Participants completed a Food Frequency Questionnaire (FFQ) and a 7-day Food Frequency Diary (FFD). Genotyping was performed using TaqMan assays, and serum 25(OH)D was quantified via spectrophotometry. Statistical analyses included ANOVA and multiple linear regression.</p><p><strong>Results: </strong>The <i>VDR</i> rs731236 CC genotype, <i>CYP2R1</i> rs10741657 AG/GG, and <i>GC</i> rs2282679 AC/CC were associated with lower serum vitamin D levels. A higher BMI was significantly correlated with reduced serum 25(OH)D (<i>p</i> < 0.001), with BMI emerging as the strongest predictor of vitamin D status. FFQ-based dietary intake showed a modest positive correlation with 25(OH)D (r = 0.47, <i>p</i> < 0.001).</p><p><strong>Conclusions: </strong>BMI and genetic variants in <i>VDR</i>, <i>CYP2R1</i>, and <i>GC</i> significantly influence vitamin D metabolism. Personalized interventions addressing genetic predispositions and weight management may improve vitamin D status.</p>\",\"PeriodicalId\":72832,\"journal\":{\"name\":\"Diseases (Basel, Switzerland)\",\"volume\":\"13 7\",\"pages\":\"\"},\"PeriodicalIF\":3.0000,\"publicationDate\":\"2025-07-14\",\"publicationTypes\":\"Journal Article\",\"fieldsOfStudy\":null,\"isOpenAccess\":false,\"openAccessPdf\":\"https://www.ncbi.nlm.nih.gov/pmc/articles/PMC12293828/pdf/\",\"citationCount\":\"0\",\"resultStr\":null,\"platform\":\"Semanticscholar\",\"paperid\":null,\"PeriodicalName\":\"Diseases (Basel, Switzerland)\",\"FirstCategoryId\":\"1085\",\"ListUrlMain\":\"https://doi.org/10.3390/diseases13070219\",\"RegionNum\":0,\"RegionCategory\":null,\"ArticlePicture\":[],\"TitleCN\":null,\"AbstractTextCN\":null,\"PMCID\":null,\"EPubDate\":\"\",\"PubModel\":\"\",\"JCR\":\"Q2\",\"JCRName\":\"MEDICINE, RESEARCH & EXPERIMENTAL\",\"Score\":null,\"Total\":0}","platform":"Semanticscholar","paperid":null,"PeriodicalName":"Diseases (Basel, Switzerland)","FirstCategoryId":"1085","ListUrlMain":"https://doi.org/10.3390/diseases13070219","RegionNum":0,"RegionCategory":null,"ArticlePicture":[],"TitleCN":null,"AbstractTextCN":null,"PMCID":null,"EPubDate":"","PubModel":"","JCR":"Q2","JCRName":"MEDICINE, RESEARCH & EXPERIMENTAL","Score":null,"Total":0}
引用次数: 0

摘要

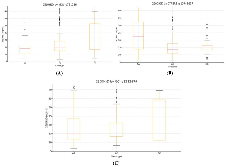
维生素D在骨骼健康和免疫功能中起着至关重要的作用,血清25(OH)D水平受遗传、饮食和代谢因素的影响。背景/目的:本研究探讨了VDR rs731236、CYP2R1 rs10741657和GC rs2282679多态性、体重指数(BMI)和膳食维生素D摄入量对维生素D状态的影响。方法:将230名成人分为正常体重(NW)、超重(OW)、肥胖I级(OB)和肥胖II/III级(OP) 4类。参与者完成了食物频率问卷(FFQ)和为期7天的食物频率日记(FFD)。TaqMan法进行基因分型,分光光度法测定血清25(OH)D。统计分析包括方差分析和多元线性回归。结果:VDR rs731236 CC基因型、CYP2R1 rs10741657 AG/GG、GC rs2282679 AC/CC与血清维生素D水平降低相关。较高的BMI与降低的血清25(OH)D显著相关(p < 0.001), BMI成为维生素D状态的最强预测因子。以ffq为基础的膳食摄入量与25(OH)D呈中度正相关(r = 0.47, p < 0.001)。结论:BMI和VDR、CYP2R1和GC基因变异显著影响维生素D代谢。针对遗传倾向和体重管理的个性化干预可能改善维生素D状况。
本文章由计算机程序翻译,如有差异,请以英文原文为准。

The Association of <i>VDR</i>, <i>CYP2R1</i>, and <i>GC</i> Gene Polymorphisms, Dietary Intake, and BMI in Regulating Vitamin D Status.

The Association of <i>VDR</i>, <i>CYP2R1</i>, and <i>GC</i> Gene Polymorphisms, Dietary Intake, and BMI in Regulating Vitamin D Status.

The Association of <i>VDR</i>, <i>CYP2R1</i>, and <i>GC</i> Gene Polymorphisms, Dietary Intake, and BMI in Regulating Vitamin D Status.

The Association of VDR, CYP2R1, and GC Gene Polymorphisms, Dietary Intake, and BMI in Regulating Vitamin D Status.

Vitamin D plays a crucial role in bone health and immune function, with serum 25(OH)D levels influenced by genetic, dietary, and metabolic factors.

Background/objectives: This study investigated the impact of VDR rs731236, CYP2R1 rs10741657, and GC rs2282679 polymorphisms, body mass index (BMI), and dietary vitamin D intake on vitamin D status.

Methods: A total of 230 adults were classified into four BMI categories: normal weight (NW), overweight (OW), obesity class I (OB), and obesity class II/III (OP). Participants completed a Food Frequency Questionnaire (FFQ) and a 7-day Food Frequency Diary (FFD). Genotyping was performed using TaqMan assays, and serum 25(OH)D was quantified via spectrophotometry. Statistical analyses included ANOVA and multiple linear regression.

Results: The VDR rs731236 CC genotype, CYP2R1 rs10741657 AG/GG, and GC rs2282679 AC/CC were associated with lower serum vitamin D levels. A higher BMI was significantly correlated with reduced serum 25(OH)D (p < 0.001), with BMI emerging as the strongest predictor of vitamin D status. FFQ-based dietary intake showed a modest positive correlation with 25(OH)D (r = 0.47, p < 0.001).

Conclusions: BMI and genetic variants in VDR, CYP2R1, and GC significantly influence vitamin D metabolism. Personalized interventions addressing genetic predispositions and weight management may improve vitamin D status.

求助全文
通过发布文献求助,成功后即可免费获取论文全文。 去求助
来源期刊
CiteScore
0.80
自引率
0.00%
发文量
0
审稿时长
6 weeks
×
引用
GB/T 7714-2015
复制
MLA
复制
APA
复制
导出至
BibTeX EndNote RefMan NoteFirst NoteExpress
×
提示
您的信息不完整,为了账户安全,请先补充。
现在去补充
×
提示
您因"违规操作"
具体请查看互助需知
我知道了
×
提示
确定
请完成安全验证×
copy
已复制链接
快去分享给好友吧!
我知道了
右上角分享
点击右上角分享
0
联系我们:info@booksci.cn Book学术提供免费学术资源搜索服务,方便国内外学者检索中英文文献。致力于提供最便捷和优质的服务体验。 Copyright © 2023 布克学术 All rights reserved.
京ICP备2023020795号-1
ghs 京公网安备 11010802042870号
Book学术文献互助
Book学术文献互助群
群 号:604180095
Book学术官方微信