对2023年美国25个县监狱首次被捕者使用芬太尼和甲基苯丙胺的调查。

IF 3.2 2区 医学 Q1 SUBSTANCE ABUSE
Joseph E Schumacher, Abdullah Ahsan, Amber H Simpler, Adam P Natoli, Bradley J Cain, Peter S Chindavong, Aren Yarcan
{"title":"对2023年美国25个县监狱首次被捕者使用芬太尼和甲基苯丙胺的调查。","authors":"Joseph E Schumacher, Abdullah Ahsan, Amber H Simpler, Adam P Natoli, Bradley J Cain, Peter S Chindavong, Aren Yarcan","doi":"10.1186/s13722-025-00588-5","DOIUrl":null,"url":null,"abstract":"<p><p>Widespread use of fentanyl in combination with methamphetamine in carceral settings presents unique health risks and public health challenges. To contribute to continued efforts to understand drug use among first-time arrestees, this study characterizes the nature and extent of urine drug screenings (UDS) positive for fentanyl and/or methamphetamine among first-time arrestees receiving healthcare in 25 jails across the U.S. This study used the same data source, data extraction, sample selection, and UDS variables as those reported by Schumacher et al. (2025) and a similar data analytic strategy which included 81,842 arrestees with a UDS or 28.8% of total arrestees (283,884). Among first-time arrestees with complete results (43,553), 32,561 or 74.8% of arrestees tested positive for any drug and among those, 14,426 (44.3%) were positive for fentanyl and/or methamphetamine. Of those, 59.8% and 11.5% were only positive for methamphetamine or fentanyl, respectively, while 28.7% were positive for both. Demographically, individuals testing positive for both fentanyl and methamphetamine were predominantly white young adults (aged 20-39), with similar co-occurrence patterns in males and females. Fentanyl alone was more common in southern and midwestern jails and mega-sized jails, methamphetamine was more common in medium-large and southern jails, and their co-occurrence was most common in western and large jails. Approximately 97.5% of first-time arrestees tested positive for two or more drugs, with individuals testing positive for five or more drugs significantly more likely to test positive for both fentanyl and methamphetamine. This study highlights the significant prevalence of methamphetamine and/or fentanyl use among first-time arrestees, underscoring the urgent need for targeted interventions, improved in-jail substance use treatment, and post-release support to mitigate overdose risks and enhance public health outcomes.</p>","PeriodicalId":54223,"journal":{"name":"Addiction Science & Clinical Practice","volume":"20 1","pages":"57"},"PeriodicalIF":3.2000,"publicationDate":"2025-07-24","publicationTypes":"Journal Article","fieldsOfStudy":null,"isOpenAccess":false,"openAccessPdf":"https://www.ncbi.nlm.nih.gov/pmc/articles/PMC12288351/pdf/","citationCount":"0","resultStr":"{\"title\":\"An investigation of fentanyl and methamphetamine use among first-time arrestees from 25 county jails across the U.S. in 2023.\",\"authors\":\"Joseph E Schumacher, Abdullah Ahsan, Amber H Simpler, Adam P Natoli, Bradley J Cain, Peter S Chindavong, Aren Yarcan\",\"doi\":\"10.1186/s13722-025-00588-5\",\"DOIUrl\":null,\"url\":null,\"abstract\":\"<p><p>Widespread use of fentanyl in combination with methamphetamine in carceral settings presents unique health risks and public health challenges. To contribute to continued efforts to understand drug use among first-time arrestees, this study characterizes the nature and extent of urine drug screenings (UDS) positive for fentanyl and/or methamphetamine among first-time arrestees receiving healthcare in 25 jails across the U.S. This study used the same data source, data extraction, sample selection, and UDS variables as those reported by Schumacher et al. (2025) and a similar data analytic strategy which included 81,842 arrestees with a UDS or 28.8% of total arrestees (283,884). Among first-time arrestees with complete results (43,553), 32,561 or 74.8% of arrestees tested positive for any drug and among those, 14,426 (44.3%) were positive for fentanyl and/or methamphetamine. Of those, 59.8% and 11.5% were only positive for methamphetamine or fentanyl, respectively, while 28.7% were positive for both. Demographically, individuals testing positive for both fentanyl and methamphetamine were predominantly white young adults (aged 20-39), with similar co-occurrence patterns in males and females. Fentanyl alone was more common in southern and midwestern jails and mega-sized jails, methamphetamine was more common in medium-large and southern jails, and their co-occurrence was most common in western and large jails. Approximately 97.5% of first-time arrestees tested positive for two or more drugs, with individuals testing positive for five or more drugs significantly more likely to test positive for both fentanyl and methamphetamine. This study highlights the significant prevalence of methamphetamine and/or fentanyl use among first-time arrestees, underscoring the urgent need for targeted interventions, improved in-jail substance use treatment, and post-release support to mitigate overdose risks and enhance public health outcomes.</p>\",\"PeriodicalId\":54223,\"journal\":{\"name\":\"Addiction Science & Clinical Practice\",\"volume\":\"20 1\",\"pages\":\"57\"},\"PeriodicalIF\":3.2000,\"publicationDate\":\"2025-07-24\",\"publicationTypes\":\"Journal Article\",\"fieldsOfStudy\":null,\"isOpenAccess\":false,\"openAccessPdf\":\"https://www.ncbi.nlm.nih.gov/pmc/articles/PMC12288351/pdf/\",\"citationCount\":\"0\",\"resultStr\":null,\"platform\":\"Semanticscholar\",\"paperid\":null,\"PeriodicalName\":\"Addiction Science & Clinical Practice\",\"FirstCategoryId\":\"3\",\"ListUrlMain\":\"https://doi.org/10.1186/s13722-025-00588-5\",\"RegionNum\":2,\"RegionCategory\":\"医学\",\"ArticlePicture\":[],\"TitleCN\":null,\"AbstractTextCN\":null,\"PMCID\":null,\"EPubDate\":\"\",\"PubModel\":\"\",\"JCR\":\"Q1\",\"JCRName\":\"SUBSTANCE ABUSE\",\"Score\":null,\"Total\":0}","platform":"Semanticscholar","paperid":null,"PeriodicalName":"Addiction Science & Clinical Practice","FirstCategoryId":"3","ListUrlMain":"https://doi.org/10.1186/s13722-025-00588-5","RegionNum":2,"RegionCategory":"医学","ArticlePicture":[],"TitleCN":null,"AbstractTextCN":null,"PMCID":null,"EPubDate":"","PubModel":"","JCR":"Q1","JCRName":"SUBSTANCE ABUSE","Score":null,"Total":0}
引用次数: 0

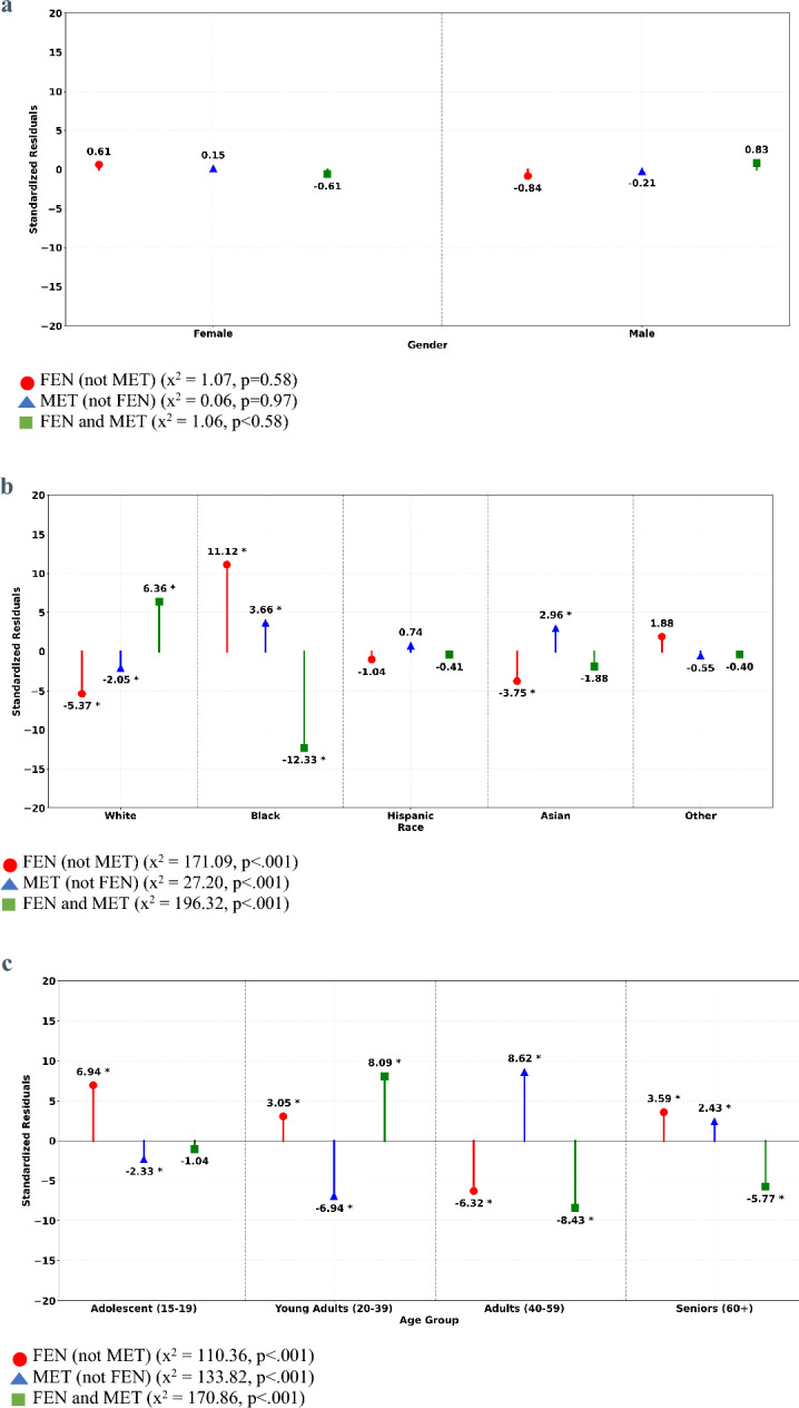
摘要

在监狱环境中广泛使用芬太尼和甲基苯丙胺,带来了独特的健康风险和公共卫生挑战。为了继续努力了解首次被捕者的吸毒情况,本研究描述了在美国25所监狱接受医疗保健的首次被捕者中芬太尼和/或甲基苯丙胺尿液药物筛查(UDS)阳性的性质和程度。本研究使用相同的数据源,数据提取,样本选择,和UDS变量,如Schumacher等人(2025)报告的,以及类似的数据分析策略,其中包括81,842名UDS被捕者,占总被捕者(283,884)的28.8%。在有完整结果的首次被捕者中(43,553人),32,561人(74.8%)对任何药物检测呈阳性,其中14,426人(44.3%)对芬太尼和/或甲基苯丙胺呈阳性。其中,分别有59.8%和11.5%的人只对甲基苯丙胺或芬太尼呈阳性,而28.7%的人对两者都呈阳性。人口统计学上,芬太尼和甲基苯丙胺检测呈阳性的个体主要是白人年轻人(20-39岁),男性和女性的共存模式相似。芬太尼在南部和中西部监狱和大型监狱中更为常见,甲基苯丙胺在中型和南部监狱中更为常见,两者共存在西部和大型监狱中最为常见。大约97.5%的首次被捕者对两种或两种以上的药物检测呈阳性,对五种或五种以上药物检测呈阳性的人更有可能对芬太尼和甲基苯丙胺检测呈阳性。这项研究强调了甲基苯丙胺和/或芬太尼在首次被捕者中的广泛使用,强调了迫切需要有针对性的干预措施,改善监狱内药物使用治疗和释放后支持,以减轻过量风险并提高公共卫生成果。
本文章由计算机程序翻译,如有差异,请以英文原文为准。

An investigation of fentanyl and methamphetamine use among first-time arrestees from 25 county jails across the U.S. in 2023.

An investigation of fentanyl and methamphetamine use among first-time arrestees from 25 county jails across the U.S. in 2023.

An investigation of fentanyl and methamphetamine use among first-time arrestees from 25 county jails across the U.S. in 2023.

An investigation of fentanyl and methamphetamine use among first-time arrestees from 25 county jails across the U.S. in 2023.

Widespread use of fentanyl in combination with methamphetamine in carceral settings presents unique health risks and public health challenges. To contribute to continued efforts to understand drug use among first-time arrestees, this study characterizes the nature and extent of urine drug screenings (UDS) positive for fentanyl and/or methamphetamine among first-time arrestees receiving healthcare in 25 jails across the U.S. This study used the same data source, data extraction, sample selection, and UDS variables as those reported by Schumacher et al. (2025) and a similar data analytic strategy which included 81,842 arrestees with a UDS or 28.8% of total arrestees (283,884). Among first-time arrestees with complete results (43,553), 32,561 or 74.8% of arrestees tested positive for any drug and among those, 14,426 (44.3%) were positive for fentanyl and/or methamphetamine. Of those, 59.8% and 11.5% were only positive for methamphetamine or fentanyl, respectively, while 28.7% were positive for both. Demographically, individuals testing positive for both fentanyl and methamphetamine were predominantly white young adults (aged 20-39), with similar co-occurrence patterns in males and females. Fentanyl alone was more common in southern and midwestern jails and mega-sized jails, methamphetamine was more common in medium-large and southern jails, and their co-occurrence was most common in western and large jails. Approximately 97.5% of first-time arrestees tested positive for two or more drugs, with individuals testing positive for five or more drugs significantly more likely to test positive for both fentanyl and methamphetamine. This study highlights the significant prevalence of methamphetamine and/or fentanyl use among first-time arrestees, underscoring the urgent need for targeted interventions, improved in-jail substance use treatment, and post-release support to mitigate overdose risks and enhance public health outcomes.

求助全文
通过发布文献求助,成功后即可免费获取论文全文。 去求助
来源期刊
Addiction Science & Clinical Practice
Addiction Science & Clinical Practice Psychology-Clinical Psychology
CiteScore
3.90
自引率
10.80%
发文量
64
审稿时长
28 weeks
期刊介绍: Addiction Science & Clinical Practice provides a forum for clinically relevant research and perspectives that contribute to improving the quality of care for people with unhealthy alcohol, tobacco, or other drug use and addictive behaviours across a spectrum of clinical settings. Addiction Science & Clinical Practice accepts articles of clinical relevance related to the prevention and treatment of unhealthy alcohol, tobacco, and other drug use across the spectrum of clinical settings. Topics of interest address issues related to the following: the spectrum of unhealthy use of alcohol, tobacco, and other drugs among the range of affected persons (e.g., not limited by age, race/ethnicity, gender, or sexual orientation); the array of clinical prevention and treatment practices (from health messages, to identification and early intervention, to more extensive interventions including counseling and pharmacotherapy and other management strategies); and identification and management of medical, psychiatric, social, and other health consequences of substance use. Addiction Science & Clinical Practice is particularly interested in articles that address how to improve the quality of care for people with unhealthy substance use and related conditions as described in the (US) Institute of Medicine report, Improving the Quality of Healthcare for Mental Health and Substance Use Conditions (Washington, DC: National Academies Press, 2006). Such articles address the quality of care and of health services. Although the journal also welcomes submissions that address these conditions in addiction speciality-treatment settings, the journal is particularly interested in including articles that address unhealthy use outside these settings, including experience with novel models of care and outcomes, and outcomes of research-practice collaborations. Although Addiction Science & Clinical Practice is generally not an outlet for basic science research, we will accept basic science research manuscripts that have clearly described potential clinical relevance and are accessible to audiences outside a narrow laboratory research field.
×
引用
GB/T 7714-2015
复制
MLA
复制
APA
复制
导出至
BibTeX EndNote RefMan NoteFirst NoteExpress
×
提示
您的信息不完整,为了账户安全,请先补充。
现在去补充
×
提示
您因"违规操作"
具体请查看互助需知
我知道了
×
提示
确定
请完成安全验证×
copy
已复制链接
快去分享给好友吧!
我知道了
右上角分享
点击右上角分享
0
联系我们:info@booksci.cn Book学术提供免费学术资源搜索服务,方便国内外学者检索中英文文献。致力于提供最便捷和优质的服务体验。 Copyright © 2023 布克学术 All rights reserved.
京ICP备2023020795号-1
ghs 京公网安备 11010802042870号
Book学术文献互助
Book学术文献互助群
群 号:604180095
Book学术官方微信