在足球专项运动方案后,冷却背心对核心和皮肤温度的影响。

IF 2.9 Q2 SPORT SCIENCES
Sports Pub Date : 2025-07-17 DOI:10.3390/sports13070235
Carlos Lorente-González, Jose Vicente Beltran-Garrido, Abraham Batalla-Gavaldà, Francisco Corbi
{"title":"在足球专项运动方案后,冷却背心对核心和皮肤温度的影响。","authors":"Carlos Lorente-González, Jose Vicente Beltran-Garrido, Abraham Batalla-Gavaldà, Francisco Corbi","doi":"10.3390/sports13070235","DOIUrl":null,"url":null,"abstract":"<p><strong>Background/objectives: </strong>Cooling strategies are critical for optimizing athlete recovery and performance in team sports, yet practical, accessible solutions remain underexplored. This study evaluated the efficacy of a cool vest during a 15 min recovery period following 45 min of simulated soccer match play on core and skin temperature regulation.</p><p><strong>Methods: </strong>Forty-seven physically active males completed an exercise protocol replicating the physiological demands of a soccer half-match. Participants were randomized into an experimental group using a cool vest during recovery (IG, n = 24) or a control group (CG, n = 23) without cooling intervention.</p><p><strong>Results: </strong>Compared to CG, IG exhibited small but significant reductions in skin temperature (31.46 ± 0.67 °C vs. 32.40 ± 1.04 °C; ES = -0.24, 95% CI: -0.40 to -0.08; <i>p</i> = 0.003) and tympanic temperature (35.99 ± 0.45 °C vs. 36.54 ± 0.66 °C; ES = -0.43, 95% CI: -0.67 to -0.18; <i>p</i> < 0.001) 10 min post-exercise. These differences intensified to small and moderate effects at 15 min post-exercise for skin (31.07 ± 0.67 °C vs. 32.51 ± 0.91 °C; ES = -0.37, 95% CI: -0.53 to -0.21; <i>p</i> < 0.001) and tympanic temperatures (35.70 ± 0.42 °C vs. 36.65 ± 0.58 °C; ES = -0.71, 95% CI: -0.96 to -0.46; <i>p</i> < 0.001), respectively, with IG maintaining consistently lower values. No temperature changes were observed in CG.</p><p><strong>Conclusions: </strong>These findings demonstrate that a 15 min cool vest application during halftime effectively reduces core and skin temperatures, compared to passive recovery. This supports its utility as a practical, low-cost strategy for thermoregulatory management in soccer, warranting further investigation into its long-term performance benefits.</p>","PeriodicalId":53303,"journal":{"name":"Sports","volume":"13 7","pages":""},"PeriodicalIF":2.9000,"publicationDate":"2025-07-17","publicationTypes":"Journal Article","fieldsOfStudy":null,"isOpenAccess":false,"openAccessPdf":"https://www.ncbi.nlm.nih.gov/pmc/articles/PMC12299794/pdf/","citationCount":"0","resultStr":"{\"title\":\"Effects of a Cooling Vest on Core and Skin Temperatures Following a Soccer-Specific Exercise Protocol.\",\"authors\":\"Carlos Lorente-González, Jose Vicente Beltran-Garrido, Abraham Batalla-Gavaldà, Francisco Corbi\",\"doi\":\"10.3390/sports13070235\",\"DOIUrl\":null,\"url\":null,\"abstract\":\"<p><strong>Background/objectives: </strong>Cooling strategies are critical for optimizing athlete recovery and performance in team sports, yet practical, accessible solutions remain underexplored. This study evaluated the efficacy of a cool vest during a 15 min recovery period following 45 min of simulated soccer match play on core and skin temperature regulation.</p><p><strong>Methods: </strong>Forty-seven physically active males completed an exercise protocol replicating the physiological demands of a soccer half-match. Participants were randomized into an experimental group using a cool vest during recovery (IG, n = 24) or a control group (CG, n = 23) without cooling intervention.</p><p><strong>Results: </strong>Compared to CG, IG exhibited small but significant reductions in skin temperature (31.46 ± 0.67 °C vs. 32.40 ± 1.04 °C; ES = -0.24, 95% CI: -0.40 to -0.08; <i>p</i> = 0.003) and tympanic temperature (35.99 ± 0.45 °C vs. 36.54 ± 0.66 °C; ES = -0.43, 95% CI: -0.67 to -0.18; <i>p</i> < 0.001) 10 min post-exercise. These differences intensified to small and moderate effects at 15 min post-exercise for skin (31.07 ± 0.67 °C vs. 32.51 ± 0.91 °C; ES = -0.37, 95% CI: -0.53 to -0.21; <i>p</i> < 0.001) and tympanic temperatures (35.70 ± 0.42 °C vs. 36.65 ± 0.58 °C; ES = -0.71, 95% CI: -0.96 to -0.46; <i>p</i> < 0.001), respectively, with IG maintaining consistently lower values. No temperature changes were observed in CG.</p><p><strong>Conclusions: </strong>These findings demonstrate that a 15 min cool vest application during halftime effectively reduces core and skin temperatures, compared to passive recovery. This supports its utility as a practical, low-cost strategy for thermoregulatory management in soccer, warranting further investigation into its long-term performance benefits.</p>\",\"PeriodicalId\":53303,\"journal\":{\"name\":\"Sports\",\"volume\":\"13 7\",\"pages\":\"\"},\"PeriodicalIF\":2.9000,\"publicationDate\":\"2025-07-17\",\"publicationTypes\":\"Journal Article\",\"fieldsOfStudy\":null,\"isOpenAccess\":false,\"openAccessPdf\":\"https://www.ncbi.nlm.nih.gov/pmc/articles/PMC12299794/pdf/\",\"citationCount\":\"0\",\"resultStr\":null,\"platform\":\"Semanticscholar\",\"paperid\":null,\"PeriodicalName\":\"Sports\",\"FirstCategoryId\":\"1085\",\"ListUrlMain\":\"https://doi.org/10.3390/sports13070235\",\"RegionNum\":0,\"RegionCategory\":null,\"ArticlePicture\":[],\"TitleCN\":null,\"AbstractTextCN\":null,\"PMCID\":null,\"EPubDate\":\"\",\"PubModel\":\"\",\"JCR\":\"Q2\",\"JCRName\":\"SPORT SCIENCES\",\"Score\":null,\"Total\":0}","platform":"Semanticscholar","paperid":null,"PeriodicalName":"Sports","FirstCategoryId":"1085","ListUrlMain":"https://doi.org/10.3390/sports13070235","RegionNum":0,"RegionCategory":null,"ArticlePicture":[],"TitleCN":null,"AbstractTextCN":null,"PMCID":null,"EPubDate":"","PubModel":"","JCR":"Q2","JCRName":"SPORT SCIENCES","Score":null,"Total":0}
引用次数: 0

摘要

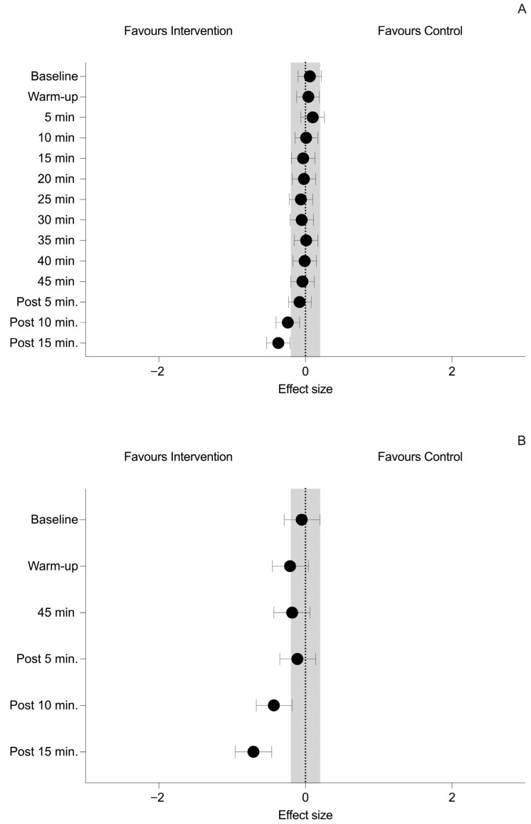
背景/目的:冷却策略对于优化运动员在团队运动中的恢复和表现至关重要,但实际可行的解决方案仍未得到充分探索。本研究评估了在45分钟的模拟足球比赛后15分钟的恢复期,冷背心对核心和皮肤温度调节的功效。方法:47名身体活跃的男性完成了一项模拟足球半场比赛生理要求的运动方案。参与者被随机分为实验组(IG, n = 24)和对照组(CG, n = 23),实验组在恢复期间穿着凉爽的背心(IG, n = 24)。结果:与CG相比,IG组皮肤温度降低幅度小但显著(31.46±0.67°C vs. 32.40±1.04°C;ES = -0.24, 95% CI: -0.40 ~ -0.08;p = 0.003)和鼓室温度(35.99±0.45°C vs. 36.54±0.66°C;ES = -0.43, 95% CI: -0.67 ~ -0.18;P < 0.001)。在运动后15分钟,这些差异增强为轻微和中度的影响(31.07±0.67°C vs. 32.51±0.91°C;ES = -0.37, 95% CI: -0.53 ~ -0.21;p < 0.001)和鼓室温度(35.70±0.42°C vs. 36.65±0.58°C;ES = -0.71, 95% CI: -0.96 ~ -0.46;p < 0.001), IG持续保持较低的值。CG组未见温度变化。结论:这些研究结果表明,与被动恢复相比,中场休息时15分钟的凉爽背心应用可以有效降低核心和皮肤温度。这支持了它作为一种实用的、低成本的足球体温调节管理策略的效用,保证了对其长期性能效益的进一步研究。
本文章由计算机程序翻译,如有差异,请以英文原文为准。

Effects of a Cooling Vest on Core and Skin Temperatures Following a Soccer-Specific Exercise Protocol.

Effects of a Cooling Vest on Core and Skin Temperatures Following a Soccer-Specific Exercise Protocol.

Effects of a Cooling Vest on Core and Skin Temperatures Following a Soccer-Specific Exercise Protocol.

Effects of a Cooling Vest on Core and Skin Temperatures Following a Soccer-Specific Exercise Protocol.

Background/objectives: Cooling strategies are critical for optimizing athlete recovery and performance in team sports, yet practical, accessible solutions remain underexplored. This study evaluated the efficacy of a cool vest during a 15 min recovery period following 45 min of simulated soccer match play on core and skin temperature regulation.

Methods: Forty-seven physically active males completed an exercise protocol replicating the physiological demands of a soccer half-match. Participants were randomized into an experimental group using a cool vest during recovery (IG, n = 24) or a control group (CG, n = 23) without cooling intervention.

Results: Compared to CG, IG exhibited small but significant reductions in skin temperature (31.46 ± 0.67 °C vs. 32.40 ± 1.04 °C; ES = -0.24, 95% CI: -0.40 to -0.08; p = 0.003) and tympanic temperature (35.99 ± 0.45 °C vs. 36.54 ± 0.66 °C; ES = -0.43, 95% CI: -0.67 to -0.18; p < 0.001) 10 min post-exercise. These differences intensified to small and moderate effects at 15 min post-exercise for skin (31.07 ± 0.67 °C vs. 32.51 ± 0.91 °C; ES = -0.37, 95% CI: -0.53 to -0.21; p < 0.001) and tympanic temperatures (35.70 ± 0.42 °C vs. 36.65 ± 0.58 °C; ES = -0.71, 95% CI: -0.96 to -0.46; p < 0.001), respectively, with IG maintaining consistently lower values. No temperature changes were observed in CG.

Conclusions: These findings demonstrate that a 15 min cool vest application during halftime effectively reduces core and skin temperatures, compared to passive recovery. This supports its utility as a practical, low-cost strategy for thermoregulatory management in soccer, warranting further investigation into its long-term performance benefits.

求助全文
通过发布文献求助,成功后即可免费获取论文全文。 去求助
来源期刊
Sports
Sports SPORT SCIENCES-
CiteScore
4.10
自引率
7.40%
发文量
167
审稿时长
11 weeks
×
引用
GB/T 7714-2015
复制
MLA
复制
APA
复制
导出至
BibTeX EndNote RefMan NoteFirst NoteExpress
×
提示
您的信息不完整,为了账户安全,请先补充。
现在去补充
×
提示
您因"违规操作"
具体请查看互助需知
我知道了
×
提示
确定
请完成安全验证×
copy
已复制链接
快去分享给好友吧!
我知道了
右上角分享
点击右上角分享
0
联系我们:info@booksci.cn Book学术提供免费学术资源搜索服务,方便国内外学者检索中英文文献。致力于提供最便捷和优质的服务体验。 Copyright © 2023 布克学术 All rights reserved.
京ICP备2023020795号-1
ghs 京公网安备 11010802042870号
Book学术文献互助
Book学术文献互助群
群 号:604180095
Book学术官方微信