使用一次性导管与可重复使用导管进行间歇导尿的女性尿液微生物组:比较试验的探索性亚研究。

IF 1.9 3区 医学 Q3 UROLOGY & NEPHROLOGY
Neurourology and Urodynamics Pub Date : 2025-09-01 Epub Date: 2025-07-24 DOI:10.1002/nau.70119
Felice Emanuela Espèrance van Veen, Zhaleh Esmi Serkani, Sophie Berendsen, Robert Kraaij, Lonneke Bode, John Philip Hays, Jeroen Ronald Scheepe, Bertil Freddo Maarten Blok
{"title":"使用一次性导管与可重复使用导管进行间歇导尿的女性尿液微生物组:比较试验的探索性亚研究。","authors":"Felice Emanuela Espèrance van Veen, Zhaleh Esmi Serkani, Sophie Berendsen, Robert Kraaij, Lonneke Bode, John Philip Hays, Jeroen Ronald Scheepe, Bertil Freddo Maarten Blok","doi":"10.1002/nau.70119","DOIUrl":null,"url":null,"abstract":"<p><strong>Aims: </strong>To characterize the urinary microbiome in women performing clean intermittent self-catheterization (CISC) and explore microbial changes associated with transitioning from single-use to reusable catheters.</p><p><strong>Methods: </strong>This microbiome study of the COMPaRE trial included female CISC patients with urinary retention randomized to either single-use or reusable catheters. Self-catheterized urine samples were collected at baseline and Week 6 for standard culture and 16S rRNA microbiome analysis.</p><p><strong>Results: </strong>A total of 28 patients (12 reusable, 16 single-use) were included, with a median age of 48 years (IQR 32-60); 67.9% had neurogenic lower urinary tract dysfunction. Escherichia-Shigella (36.3%) and Lactobacillus (22.8%) were the most prevalent genera. PERMANOVA identified significant effects of age (p = 0.003), menopausal status (p < 0.001), and catheterization cause (p = 0.003) on microbiome composition. Transitioning to reusable catheters was associated with significant reductions in Escherichia-Shigella (p < 0.001) and Aerococcus (p < 0.001), and increases in Veillonella (p < 0.001) and Finegoldia (p < 0.001). No significant changes were observed in urine culture results (p = 0.250), alpha diversity as measured by the Shannon index (p = 0.862), or beta diversity as assessed by Bray-Curtis distance (p = 0.096).</p><p><strong>Conclusions: </strong>Escherichia-Shigella and Lactobacillus were the most abundant genera in the urinary microbiome of women performing CISC. Age, menopausal status, and catheterization cause significantly influenced microbiome composition. Although specific microbial shifts were observed following transition to reusable catheters, no significant changes in overall microbial diversity were detected. Larger, well-powered studies are needed to validate these results and assess their potential clinical implications.</p><p><strong>Trial registration: </strong>Clinical Trial RegistrationNL-OMON54700/NL8296.</p>","PeriodicalId":19200,"journal":{"name":"Neurourology and Urodynamics","volume":" ","pages":"1474-1483"},"PeriodicalIF":1.9000,"publicationDate":"2025-09-01","publicationTypes":"Journal Article","fieldsOfStudy":null,"isOpenAccess":false,"openAccessPdf":"https://www.ncbi.nlm.nih.gov/pmc/articles/PMC12319515/pdf/","citationCount":"0","resultStr":"{\"title\":\"The Urinary Microbiome in Women Using Single-Use Versus Reusable Catheters for Intermittent Catheterization: An Exploratory Substudy of the COMPaRE Trial.\",\"authors\":\"Felice Emanuela Espèrance van Veen, Zhaleh Esmi Serkani, Sophie Berendsen, Robert Kraaij, Lonneke Bode, John Philip Hays, Jeroen Ronald Scheepe, Bertil Freddo Maarten Blok\",\"doi\":\"10.1002/nau.70119\",\"DOIUrl\":null,\"url\":null,\"abstract\":\"<p><strong>Aims: </strong>To characterize the urinary microbiome in women performing clean intermittent self-catheterization (CISC) and explore microbial changes associated with transitioning from single-use to reusable catheters.</p><p><strong>Methods: </strong>This microbiome study of the COMPaRE trial included female CISC patients with urinary retention randomized to either single-use or reusable catheters. Self-catheterized urine samples were collected at baseline and Week 6 for standard culture and 16S rRNA microbiome analysis.</p><p><strong>Results: </strong>A total of 28 patients (12 reusable, 16 single-use) were included, with a median age of 48 years (IQR 32-60); 67.9% had neurogenic lower urinary tract dysfunction. Escherichia-Shigella (36.3%) and Lactobacillus (22.8%) were the most prevalent genera. PERMANOVA identified significant effects of age (p = 0.003), menopausal status (p < 0.001), and catheterization cause (p = 0.003) on microbiome composition. Transitioning to reusable catheters was associated with significant reductions in Escherichia-Shigella (p < 0.001) and Aerococcus (p < 0.001), and increases in Veillonella (p < 0.001) and Finegoldia (p < 0.001). No significant changes were observed in urine culture results (p = 0.250), alpha diversity as measured by the Shannon index (p = 0.862), or beta diversity as assessed by Bray-Curtis distance (p = 0.096).</p><p><strong>Conclusions: </strong>Escherichia-Shigella and Lactobacillus were the most abundant genera in the urinary microbiome of women performing CISC. Age, menopausal status, and catheterization cause significantly influenced microbiome composition. Although specific microbial shifts were observed following transition to reusable catheters, no significant changes in overall microbial diversity were detected. Larger, well-powered studies are needed to validate these results and assess their potential clinical implications.</p><p><strong>Trial registration: </strong>Clinical Trial RegistrationNL-OMON54700/NL8296.</p>\",\"PeriodicalId\":19200,\"journal\":{\"name\":\"Neurourology and Urodynamics\",\"volume\":\" \",\"pages\":\"1474-1483\"},\"PeriodicalIF\":1.9000,\"publicationDate\":\"2025-09-01\",\"publicationTypes\":\"Journal Article\",\"fieldsOfStudy\":null,\"isOpenAccess\":false,\"openAccessPdf\":\"https://www.ncbi.nlm.nih.gov/pmc/articles/PMC12319515/pdf/\",\"citationCount\":\"0\",\"resultStr\":null,\"platform\":\"Semanticscholar\",\"paperid\":null,\"PeriodicalName\":\"Neurourology and Urodynamics\",\"FirstCategoryId\":\"3\",\"ListUrlMain\":\"https://doi.org/10.1002/nau.70119\",\"RegionNum\":3,\"RegionCategory\":\"医学\",\"ArticlePicture\":[],\"TitleCN\":null,\"AbstractTextCN\":null,\"PMCID\":null,\"EPubDate\":\"2025/7/24 0:00:00\",\"PubModel\":\"Epub\",\"JCR\":\"Q3\",\"JCRName\":\"UROLOGY & NEPHROLOGY\",\"Score\":null,\"Total\":0}","platform":"Semanticscholar","paperid":null,"PeriodicalName":"Neurourology and Urodynamics","FirstCategoryId":"3","ListUrlMain":"https://doi.org/10.1002/nau.70119","RegionNum":3,"RegionCategory":"医学","ArticlePicture":[],"TitleCN":null,"AbstractTextCN":null,"PMCID":null,"EPubDate":"2025/7/24 0:00:00","PubModel":"Epub","JCR":"Q3","JCRName":"UROLOGY & NEPHROLOGY","Score":null,"Total":0}
引用次数: 0

摘要

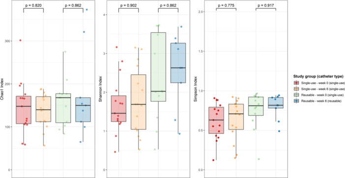
目的:研究女性进行清洁间歇自我导尿(CISC)时尿微生物组的特征,并探讨从一次性导尿到可重复使用导尿的相关微生物变化。方法:COMPaRE试验的微生物组研究纳入了女性CISC尿潴留患者,随机分配到一次性或可重复使用的导尿管。在基线和第6周收集自导管尿液样本进行标准培养和16S rRNA微生物组分析。结果:共纳入28例患者(可重复使用12例,一次性使用16例),中位年龄48岁(IQR 32-60);67.9%为神经源性下尿路功能障碍。志贺氏杆菌(36.3%)和乳杆菌(22.8%)是最常见的属。PERMANOVA发现年龄(p = 0.003)、绝经状态(p)对尿微生物群有显著影响。结论:行CISC的女性尿微生物群中最丰富的属是志贺氏杆菌和乳酸杆菌。年龄、绝经状态和导尿原因显著影响微生物组组成。虽然在使用可重复使用导管后观察到特定的微生物变化,但总体微生物多样性没有显著变化。需要更大规模、更有力的研究来验证这些结果并评估其潜在的临床意义。试验注册:Clinical Trial RegistrationNL-OMON54700/NL8296。
本文章由计算机程序翻译,如有差异,请以英文原文为准。

The Urinary Microbiome in Women Using Single-Use Versus Reusable Catheters for Intermittent Catheterization: An Exploratory Substudy of the COMPaRE Trial.

The Urinary Microbiome in Women Using Single-Use Versus Reusable Catheters for Intermittent Catheterization: An Exploratory Substudy of the COMPaRE Trial.

The Urinary Microbiome in Women Using Single-Use Versus Reusable Catheters for Intermittent Catheterization: An Exploratory Substudy of the COMPaRE Trial.

The Urinary Microbiome in Women Using Single-Use Versus Reusable Catheters for Intermittent Catheterization: An Exploratory Substudy of the COMPaRE Trial.

Aims: To characterize the urinary microbiome in women performing clean intermittent self-catheterization (CISC) and explore microbial changes associated with transitioning from single-use to reusable catheters.

Methods: This microbiome study of the COMPaRE trial included female CISC patients with urinary retention randomized to either single-use or reusable catheters. Self-catheterized urine samples were collected at baseline and Week 6 for standard culture and 16S rRNA microbiome analysis.

Results: A total of 28 patients (12 reusable, 16 single-use) were included, with a median age of 48 years (IQR 32-60); 67.9% had neurogenic lower urinary tract dysfunction. Escherichia-Shigella (36.3%) and Lactobacillus (22.8%) were the most prevalent genera. PERMANOVA identified significant effects of age (p = 0.003), menopausal status (p < 0.001), and catheterization cause (p = 0.003) on microbiome composition. Transitioning to reusable catheters was associated with significant reductions in Escherichia-Shigella (p < 0.001) and Aerococcus (p < 0.001), and increases in Veillonella (p < 0.001) and Finegoldia (p < 0.001). No significant changes were observed in urine culture results (p = 0.250), alpha diversity as measured by the Shannon index (p = 0.862), or beta diversity as assessed by Bray-Curtis distance (p = 0.096).

Conclusions: Escherichia-Shigella and Lactobacillus were the most abundant genera in the urinary microbiome of women performing CISC. Age, menopausal status, and catheterization cause significantly influenced microbiome composition. Although specific microbial shifts were observed following transition to reusable catheters, no significant changes in overall microbial diversity were detected. Larger, well-powered studies are needed to validate these results and assess their potential clinical implications.

Trial registration: Clinical Trial RegistrationNL-OMON54700/NL8296.

求助全文
通过发布文献求助,成功后即可免费获取论文全文。 去求助
来源期刊
Neurourology and Urodynamics
Neurourology and Urodynamics 医学-泌尿学与肾脏学
CiteScore
4.30
自引率
10.00%
发文量
231
审稿时长
4-8 weeks
期刊介绍: Neurourology and Urodynamics welcomes original scientific contributions from all parts of the world on topics related to urinary tract function, urinary and fecal continence and pelvic floor function.
×
引用
GB/T 7714-2015
复制
MLA
复制
APA
复制
导出至
BibTeX EndNote RefMan NoteFirst NoteExpress
×
提示
您的信息不完整,为了账户安全,请先补充。
现在去补充
×
提示
您因"违规操作"
具体请查看互助需知
我知道了
×
提示
确定
请完成安全验证×
copy
已复制链接
快去分享给好友吧!
我知道了
右上角分享
点击右上角分享
0
联系我们:info@booksci.cn Book学术提供免费学术资源搜索服务,方便国内外学者检索中英文文献。致力于提供最便捷和优质的服务体验。 Copyright © 2023 布克学术 All rights reserved.
京ICP备2023020795号-1
ghs 京公网安备 11010802042870号
Book学术文献互助
Book学术文献互助群
群 号:604180095
Book学术官方微信