水葫芦菌相关真菌短孔青霉菌MSW10-1次生代谢产物的分离、鉴定及其对肝脏脂肪生成的抑制作用。

IF 5.4 2区 医学 Q1 CHEMISTRY, MEDICINAL
Marine Drugs Pub Date : 2025-06-30 DOI:10.3390/md23070275
Hyeon-Jeong Hwang, Hyeokjin Lim, Jae Sik Yu, Eun Seo Jang, Youngsang Nam, Yeo Jin Lee, Eun La Kim, Seonghwan Hwang, Seoung Rak Lee
{"title":"水葫芦菌相关真菌短孔青霉菌MSW10-1次生代谢产物的分离、鉴定及其对肝脏脂肪生成的抑制作用。","authors":"Hyeon-Jeong Hwang, Hyeokjin Lim, Jae Sik Yu, Eun Seo Jang, Youngsang Nam, Yeo Jin Lee, Eun La Kim, Seonghwan Hwang, Seoung Rak Lee","doi":"10.3390/md23070275","DOIUrl":null,"url":null,"abstract":"<p><p>Marine organism-associated microbes are an important source of structurally diverse and biologically active secondary metabolites exhibiting antimicrobial, anticancer, and anti-inflammatory activities. In this study, we investigated <i>Penicillium brevicompactum</i> MSW10-1, isolated from <i>Hydractinia echinata</i>, a marine invertebrate adapted to extreme intertidal and subtidal environments with variable temperature, salinity, and oxygen conditions. Through a combination of LC/MS-guided chemical analysis and chromatographic purification, eight secondary metabolites were isolated, including brevicolactones A (<b>1</b>) and B (<b>2</b>). The absolute chemical structures of <b>1</b> and <b>2</b> were determined based on NMR spectroscopic experiments, HR-ESIMS data, and quantum chemical ECD calculations. The isolated compounds (<b>1</b>-<b>8</b>) were evaluated for their ability to inhibit hepatic lipogenesis, a key process in lipid metabolism that is dysregulated in metabolic-dysfunction-associated steatotic liver disease. Furthermore, the inhibitory effects of the isolated compounds on lipid accumulation were further evaluated in primary mouse hepatocytes, using Oil Red O staining. These findings suggested that the isolated compounds may serve as promising candidates for the treatment of metabolic liver diseases associated with lipid dysregulation.</p>","PeriodicalId":18222,"journal":{"name":"Marine Drugs","volume":"23 7","pages":""},"PeriodicalIF":5.4000,"publicationDate":"2025-06-30","publicationTypes":"Journal Article","fieldsOfStudy":null,"isOpenAccess":false,"openAccessPdf":"https://www.ncbi.nlm.nih.gov/pmc/articles/PMC12300214/pdf/","citationCount":"0","resultStr":"{\"title\":\"Isolation and Characterization of Secondary Metabolites from <i>Hydractinia</i>-Associated Fungus, <i>Penicillium brevicompactum</i> MSW10-1, and Their Inhibitory Effects on Hepatic Lipogenesis.\",\"authors\":\"Hyeon-Jeong Hwang, Hyeokjin Lim, Jae Sik Yu, Eun Seo Jang, Youngsang Nam, Yeo Jin Lee, Eun La Kim, Seonghwan Hwang, Seoung Rak Lee\",\"doi\":\"10.3390/md23070275\",\"DOIUrl\":null,\"url\":null,\"abstract\":\"<p><p>Marine organism-associated microbes are an important source of structurally diverse and biologically active secondary metabolites exhibiting antimicrobial, anticancer, and anti-inflammatory activities. In this study, we investigated <i>Penicillium brevicompactum</i> MSW10-1, isolated from <i>Hydractinia echinata</i>, a marine invertebrate adapted to extreme intertidal and subtidal environments with variable temperature, salinity, and oxygen conditions. Through a combination of LC/MS-guided chemical analysis and chromatographic purification, eight secondary metabolites were isolated, including brevicolactones A (<b>1</b>) and B (<b>2</b>). The absolute chemical structures of <b>1</b> and <b>2</b> were determined based on NMR spectroscopic experiments, HR-ESIMS data, and quantum chemical ECD calculations. The isolated compounds (<b>1</b>-<b>8</b>) were evaluated for their ability to inhibit hepatic lipogenesis, a key process in lipid metabolism that is dysregulated in metabolic-dysfunction-associated steatotic liver disease. Furthermore, the inhibitory effects of the isolated compounds on lipid accumulation were further evaluated in primary mouse hepatocytes, using Oil Red O staining. These findings suggested that the isolated compounds may serve as promising candidates for the treatment of metabolic liver diseases associated with lipid dysregulation.</p>\",\"PeriodicalId\":18222,\"journal\":{\"name\":\"Marine Drugs\",\"volume\":\"23 7\",\"pages\":\"\"},\"PeriodicalIF\":5.4000,\"publicationDate\":\"2025-06-30\",\"publicationTypes\":\"Journal Article\",\"fieldsOfStudy\":null,\"isOpenAccess\":false,\"openAccessPdf\":\"https://www.ncbi.nlm.nih.gov/pmc/articles/PMC12300214/pdf/\",\"citationCount\":\"0\",\"resultStr\":null,\"platform\":\"Semanticscholar\",\"paperid\":null,\"PeriodicalName\":\"Marine Drugs\",\"FirstCategoryId\":\"3\",\"ListUrlMain\":\"https://doi.org/10.3390/md23070275\",\"RegionNum\":2,\"RegionCategory\":\"医学\",\"ArticlePicture\":[],\"TitleCN\":null,\"AbstractTextCN\":null,\"PMCID\":null,\"EPubDate\":\"\",\"PubModel\":\"\",\"JCR\":\"Q1\",\"JCRName\":\"CHEMISTRY, MEDICINAL\",\"Score\":null,\"Total\":0}","platform":"Semanticscholar","paperid":null,"PeriodicalName":"Marine Drugs","FirstCategoryId":"3","ListUrlMain":"https://doi.org/10.3390/md23070275","RegionNum":2,"RegionCategory":"医学","ArticlePicture":[],"TitleCN":null,"AbstractTextCN":null,"PMCID":null,"EPubDate":"","PubModel":"","JCR":"Q1","JCRName":"CHEMISTRY, MEDICINAL","Score":null,"Total":0}
引用次数: 0

摘要

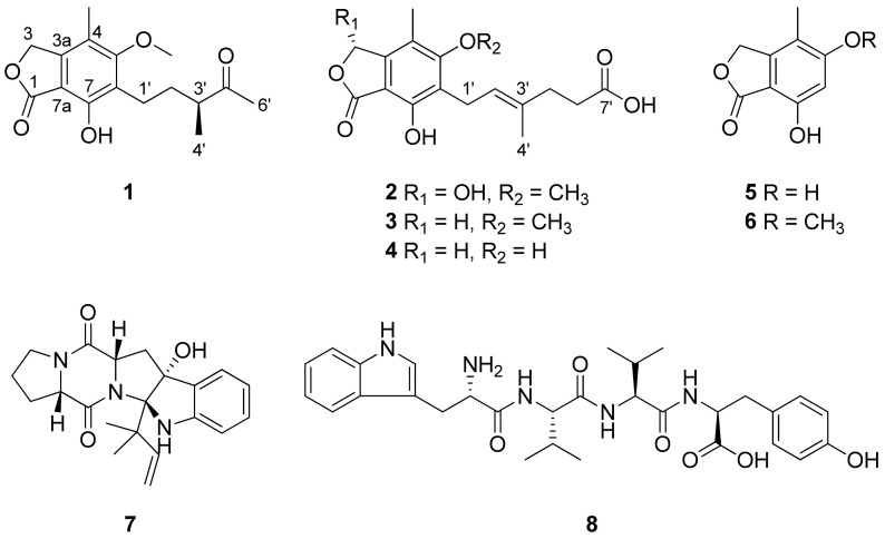
海洋生物相关微生物是结构多样和具有生物活性的次生代谢物的重要来源,具有抗菌、抗癌和抗炎活性。在这项研究中,我们研究了从棘水螅虫(Hydractinia echinata)中分离出来的短压缩青霉MSW10-1,棘水螅虫是一种适应极端温度、盐度和氧气条件变化的潮间带和潮下环境的海洋无脊椎动物。通过LC/ ms引导化学分析和色谱纯化相结合,分离出8种次生代谢物,包括brevicolactones a(1)和B(2)。基于核磁共振波谱实验、HR-ESIMS数据和量子化学ECD计算,确定了1和2的绝对化学结构。分离的化合物(1-8)被评估其抑制肝脏脂肪生成的能力,脂肪生成是脂质代谢的关键过程,在代谢功能障碍相关的脂肪变性肝病中被失调。此外,通过油红O染色进一步评估分离化合物对小鼠原代肝细胞脂质积累的抑制作用。这些发现表明,分离的化合物可能作为治疗与脂质失调相关的代谢性肝脏疾病的有希望的候选者。
本文章由计算机程序翻译,如有差异,请以英文原文为准。

Isolation and Characterization of Secondary Metabolites from <i>Hydractinia</i>-Associated Fungus, <i>Penicillium brevicompactum</i> MSW10-1, and Their Inhibitory Effects on Hepatic Lipogenesis.

Isolation and Characterization of Secondary Metabolites from <i>Hydractinia</i>-Associated Fungus, <i>Penicillium brevicompactum</i> MSW10-1, and Their Inhibitory Effects on Hepatic Lipogenesis.

Isolation and Characterization of Secondary Metabolites from <i>Hydractinia</i>-Associated Fungus, <i>Penicillium brevicompactum</i> MSW10-1, and Their Inhibitory Effects on Hepatic Lipogenesis.

Isolation and Characterization of Secondary Metabolites from Hydractinia-Associated Fungus, Penicillium brevicompactum MSW10-1, and Their Inhibitory Effects on Hepatic Lipogenesis.

Marine organism-associated microbes are an important source of structurally diverse and biologically active secondary metabolites exhibiting antimicrobial, anticancer, and anti-inflammatory activities. In this study, we investigated Penicillium brevicompactum MSW10-1, isolated from Hydractinia echinata, a marine invertebrate adapted to extreme intertidal and subtidal environments with variable temperature, salinity, and oxygen conditions. Through a combination of LC/MS-guided chemical analysis and chromatographic purification, eight secondary metabolites were isolated, including brevicolactones A (1) and B (2). The absolute chemical structures of 1 and 2 were determined based on NMR spectroscopic experiments, HR-ESIMS data, and quantum chemical ECD calculations. The isolated compounds (1-8) were evaluated for their ability to inhibit hepatic lipogenesis, a key process in lipid metabolism that is dysregulated in metabolic-dysfunction-associated steatotic liver disease. Furthermore, the inhibitory effects of the isolated compounds on lipid accumulation were further evaluated in primary mouse hepatocytes, using Oil Red O staining. These findings suggested that the isolated compounds may serve as promising candidates for the treatment of metabolic liver diseases associated with lipid dysregulation.

求助全文
通过发布文献求助,成功后即可免费获取论文全文。 去求助
来源期刊
Marine Drugs
Marine Drugs 医学-医药化学
CiteScore
9.60
自引率
14.80%
发文量
671
审稿时长
1 months
期刊介绍: Marine Drugs (ISSN 1660-3397) publishes reviews, regular research papers and short notes on the research, development and production of drugs from the sea. Our aim is to encourage scientists to publish their experimental and theoretical research in as much detail as possible, particularly synthetic procedures and characterization information for bioactive compounds. There is no restriction on the length of the experimental section.
×
引用
GB/T 7714-2015
复制
MLA
复制
APA
复制
导出至
BibTeX EndNote RefMan NoteFirst NoteExpress
×
提示
您的信息不完整,为了账户安全,请先补充。
现在去补充
×
提示
您因"违规操作"
具体请查看互助需知
我知道了
×
提示
确定
请完成安全验证×
copy
已复制链接
快去分享给好友吧!
我知道了
右上角分享
点击右上角分享
0
联系我们:info@booksci.cn Book学术提供免费学术资源搜索服务,方便国内外学者检索中英文文献。致力于提供最便捷和优质的服务体验。 Copyright © 2023 布克学术 All rights reserved.
京ICP备2023020795号-1
ghs 京公网安备 11010802042870号
Book学术文献互助
Book学术文献互助群
群 号:604180095
Book学术官方微信