功能训练对青少年足球运动员动态膝外翻的影响:一项初步研究。

Q1 Health Professions
International journal of exercise science Pub Date : 2025-06-01 eCollection Date: 2025-01-01 DOI:10.70252/IIMQ1487
Ole Tovar, Dóra Molnár, Badis Soussi, Ádám Uhlár, Tamás Horváth, Mira Ambrus
{"title":"功能训练对青少年足球运动员动态膝外翻的影响:一项初步研究。","authors":"Ole Tovar, Dóra Molnár, Badis Soussi, Ádám Uhlár, Tamás Horváth, Mira Ambrus","doi":"10.70252/IIMQ1487","DOIUrl":null,"url":null,"abstract":"<p><p>Knee injuries are very common in soccer players. High loads on the knee during landing or changes of direction can lead to a valgus shift of the knee, known as Dynamic Knee Valgus (DKV). Many studies have shown that a large shift in DKV is a predisposing factor for knee injuries and disease, such as anterior cruciate ligament injury (ACL), patellofemoral pain syndrome or osteoarthritis. Functional training could be a great tool to reduce DKV. Thus, in this pilot study, nine male youth soccer players (mean age: 16.4 ± 0.2 years) took part in six weeks of functional training program. DKV was measured in pre- and post-measurements during single leg squats using Kinect Azure camera with DynaKnee software. In addition, maximal voluntary muscle contraction (MVC) was measured using a dynamometer and muscle activation amplitude (MAA) was measured using electromyography. Data were analysed using a non-parametric Wilcoxon signed rank test to assess differences in DKV, MAA and MVC at a 5% significance level. Data showed a small improvement of DKV in the dominant leg. MVC increased slightly in all variables. The MAA of the involved muscles in the single-leg squat did not show a higher value, but rather a decreasing trend. However, none of the analyses showed significant changes. The small number of participants and the short duration of the training might have been a limiting factor. Further studies should repeat the procedure with a larger group of participants and a longer training period.</p>","PeriodicalId":14171,"journal":{"name":"International journal of exercise science","volume":"18 7","pages":"561-574"},"PeriodicalIF":0.0000,"publicationDate":"2025-06-01","publicationTypes":"Journal Article","fieldsOfStudy":null,"isOpenAccess":false,"openAccessPdf":"https://www.ncbi.nlm.nih.gov/pmc/articles/PMC12289232/pdf/","citationCount":"0","resultStr":"{\"title\":\"The Effect of Functional Training on Dynamic Knee Valgus of Youth Soccer Players: A Pilot Study.\",\"authors\":\"Ole Tovar, Dóra Molnár, Badis Soussi, Ádám Uhlár, Tamás Horváth, Mira Ambrus\",\"doi\":\"10.70252/IIMQ1487\",\"DOIUrl\":null,\"url\":null,\"abstract\":\"<p><p>Knee injuries are very common in soccer players. High loads on the knee during landing or changes of direction can lead to a valgus shift of the knee, known as Dynamic Knee Valgus (DKV). Many studies have shown that a large shift in DKV is a predisposing factor for knee injuries and disease, such as anterior cruciate ligament injury (ACL), patellofemoral pain syndrome or osteoarthritis. Functional training could be a great tool to reduce DKV. Thus, in this pilot study, nine male youth soccer players (mean age: 16.4 ± 0.2 years) took part in six weeks of functional training program. DKV was measured in pre- and post-measurements during single leg squats using Kinect Azure camera with DynaKnee software. In addition, maximal voluntary muscle contraction (MVC) was measured using a dynamometer and muscle activation amplitude (MAA) was measured using electromyography. Data were analysed using a non-parametric Wilcoxon signed rank test to assess differences in DKV, MAA and MVC at a 5% significance level. Data showed a small improvement of DKV in the dominant leg. MVC increased slightly in all variables. The MAA of the involved muscles in the single-leg squat did not show a higher value, but rather a decreasing trend. However, none of the analyses showed significant changes. The small number of participants and the short duration of the training might have been a limiting factor. Further studies should repeat the procedure with a larger group of participants and a longer training period.</p>\",\"PeriodicalId\":14171,\"journal\":{\"name\":\"International journal of exercise science\",\"volume\":\"18 7\",\"pages\":\"561-574\"},\"PeriodicalIF\":0.0000,\"publicationDate\":\"2025-06-01\",\"publicationTypes\":\"Journal Article\",\"fieldsOfStudy\":null,\"isOpenAccess\":false,\"openAccessPdf\":\"https://www.ncbi.nlm.nih.gov/pmc/articles/PMC12289232/pdf/\",\"citationCount\":\"0\",\"resultStr\":null,\"platform\":\"Semanticscholar\",\"paperid\":null,\"PeriodicalName\":\"International journal of exercise science\",\"FirstCategoryId\":\"1085\",\"ListUrlMain\":\"https://doi.org/10.70252/IIMQ1487\",\"RegionNum\":0,\"RegionCategory\":null,\"ArticlePicture\":[],\"TitleCN\":null,\"AbstractTextCN\":null,\"PMCID\":null,\"EPubDate\":\"2025/1/1 0:00:00\",\"PubModel\":\"eCollection\",\"JCR\":\"Q1\",\"JCRName\":\"Health Professions\",\"Score\":null,\"Total\":0}","platform":"Semanticscholar","paperid":null,"PeriodicalName":"International journal of exercise science","FirstCategoryId":"1085","ListUrlMain":"https://doi.org/10.70252/IIMQ1487","RegionNum":0,"RegionCategory":null,"ArticlePicture":[],"TitleCN":null,"AbstractTextCN":null,"PMCID":null,"EPubDate":"2025/1/1 0:00:00","PubModel":"eCollection","JCR":"Q1","JCRName":"Health Professions","Score":null,"Total":0}
引用次数: 0

摘要

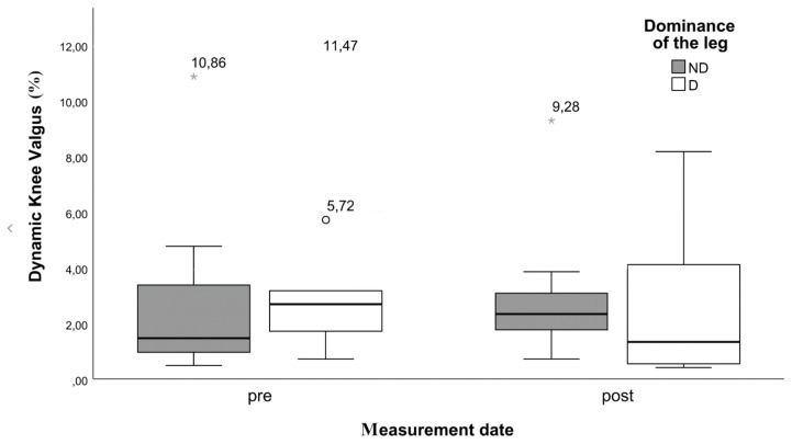
膝盖受伤在足球运动员中很常见。在着陆或改变方向时,膝关节承受的高负荷可导致膝关节外翻移位,称为动态膝外翻(DKV)。许多研究表明,DKV的大位移是膝关节损伤和疾病的易感因素,如前交叉韧带损伤(ACL)、髌股疼痛综合征或骨关节炎。功能训练是降低DKV的好方法。因此,在这项初步研究中,9名男性青少年足球运动员(平均年龄:16.4±0.2岁)参加了为期6周的功能训练计划。使用Kinect Azure相机和DynaKnee软件在单腿深蹲的前后测量中测量DKV。此外,用测力仪测量最大随意肌收缩(MVC),用肌电图测量肌肉激活幅度(MAA)。采用非参数Wilcoxon符号秩检验对数据进行分析,以5%显著性水平评估DKV、MAA和MVC的差异。数据显示优势腿的DKV略有改善。MVC在所有变量中都略有增加。单腿深蹲时受累肌肉的MAA值并没有升高,反而呈下降趋势。然而,没有一项分析显示出显著的变化。参加人数少和培训时间短可能是一个限制因素。进一步的研究应以更大的参与者群体和更长的训练期重复这一程序。
本文章由计算机程序翻译,如有差异,请以英文原文为准。

The Effect of Functional Training on Dynamic Knee Valgus of Youth Soccer Players: A Pilot Study.

The Effect of Functional Training on Dynamic Knee Valgus of Youth Soccer Players: A Pilot Study.

The Effect of Functional Training on Dynamic Knee Valgus of Youth Soccer Players: A Pilot Study.

Knee injuries are very common in soccer players. High loads on the knee during landing or changes of direction can lead to a valgus shift of the knee, known as Dynamic Knee Valgus (DKV). Many studies have shown that a large shift in DKV is a predisposing factor for knee injuries and disease, such as anterior cruciate ligament injury (ACL), patellofemoral pain syndrome or osteoarthritis. Functional training could be a great tool to reduce DKV. Thus, in this pilot study, nine male youth soccer players (mean age: 16.4 ± 0.2 years) took part in six weeks of functional training program. DKV was measured in pre- and post-measurements during single leg squats using Kinect Azure camera with DynaKnee software. In addition, maximal voluntary muscle contraction (MVC) was measured using a dynamometer and muscle activation amplitude (MAA) was measured using electromyography. Data were analysed using a non-parametric Wilcoxon signed rank test to assess differences in DKV, MAA and MVC at a 5% significance level. Data showed a small improvement of DKV in the dominant leg. MVC increased slightly in all variables. The MAA of the involved muscles in the single-leg squat did not show a higher value, but rather a decreasing trend. However, none of the analyses showed significant changes. The small number of participants and the short duration of the training might have been a limiting factor. Further studies should repeat the procedure with a larger group of participants and a longer training period.

求助全文
通过发布文献求助,成功后即可免费获取论文全文。 去求助
来源期刊
International journal of exercise science
International journal of exercise science Health Professions-Occupational Therapy
CiteScore
2.20
自引率
0.00%
发文量
47
审稿时长
26 weeks
×
引用
GB/T 7714-2015
复制
MLA
复制
APA
复制
导出至
BibTeX EndNote RefMan NoteFirst NoteExpress
×
提示
您的信息不完整,为了账户安全,请先补充。
现在去补充
×
提示
您因"违规操作"
具体请查看互助需知
我知道了
×
提示
确定
请完成安全验证×
copy
已复制链接
快去分享给好友吧!
我知道了
右上角分享
点击右上角分享
0
联系我们:info@booksci.cn Book学术提供免费学术资源搜索服务,方便国内外学者检索中英文文献。致力于提供最便捷和优质的服务体验。 Copyright © 2023 布克学术 All rights reserved.
京ICP备2023020795号-1
ghs 京公网安备 11010802042870号
Book学术文献互助
Book学术文献互助群
群 号:604180095
Book学术官方微信