2003-2019年世界杯男足比赛技战术表现指标的年龄演变

Q1 Health Professions
International journal of exercise science Pub Date : 2025-06-01 eCollection Date: 2025-01-01 DOI:10.70252/KNPB8178
Sergio Caicedo-Parada, Enrique Ortega-Toro, Jose M Palao
{"title":"2003-2019年世界杯男足比赛技战术表现指标的年龄演变","authors":"Sergio Caicedo-Parada, Enrique Ortega-Toro, Jose M Palao","doi":"10.70252/KNPB8178","DOIUrl":null,"url":null,"abstract":"<p><p>Performance in football depends on different dynamic interactions between players that occur at technical, tactical, physical, psychological, or sociological levels. The objective of this study was to analyze the evolution of match technical-tactical performance indicators according to age category in men's national football teams (U-17, U-20 and senior). A non-experimental retrospective observational design was used. Variables studied were ball possession, goal chances, shots off target, shots on target, corner kicks, effectiveness; goals, offsides, fouls committed, yellow cards, red cards, and second yellow cards. Data were drawn from 917 matches (195 senior, 369 U-20, and 353 U-17) played by teams from 97 nations. For the study of the differences between winners and losers, a T-test and a discriminant analysis were performed. To analyze the change between the different tournaments, a linear regression and its slope were used. Goal chances, shots on target, and effectiveness are the variables that best discriminated match winners. As players' ages increased, their effectiveness increased, there was a decrease in their shots and goal chances, and game actions were more balanced. The evolution of technical-tactical performance indicators between 2003-2009 and 2010-2019 showed a decrease in fouls committed and yellow cards for all categories. In general, the results show an evolution in the game towards strategies that seek to generate more effective situations with a greater chance of scoring. Data can serve as references to understand players' and teams' evolution and factors that correlate with winning (chances, shots on target, and effectiveness).</p>","PeriodicalId":14171,"journal":{"name":"International journal of exercise science","volume":"18 3","pages":"575-590"},"PeriodicalIF":0.0000,"publicationDate":"2025-06-01","publicationTypes":"Journal Article","fieldsOfStudy":null,"isOpenAccess":false,"openAccessPdf":"https://www.ncbi.nlm.nih.gov/pmc/articles/PMC12289234/pdf/","citationCount":"0","resultStr":"{\"title\":\"Evolution of Match Technical-Tactical Performance Indicators According to Age Category in Men's National Football Teams (World Cups 2003-2019).\",\"authors\":\"Sergio Caicedo-Parada, Enrique Ortega-Toro, Jose M Palao\",\"doi\":\"10.70252/KNPB8178\",\"DOIUrl\":null,\"url\":null,\"abstract\":\"<p><p>Performance in football depends on different dynamic interactions between players that occur at technical, tactical, physical, psychological, or sociological levels. The objective of this study was to analyze the evolution of match technical-tactical performance indicators according to age category in men's national football teams (U-17, U-20 and senior). A non-experimental retrospective observational design was used. Variables studied were ball possession, goal chances, shots off target, shots on target, corner kicks, effectiveness; goals, offsides, fouls committed, yellow cards, red cards, and second yellow cards. Data were drawn from 917 matches (195 senior, 369 U-20, and 353 U-17) played by teams from 97 nations. For the study of the differences between winners and losers, a T-test and a discriminant analysis were performed. To analyze the change between the different tournaments, a linear regression and its slope were used. Goal chances, shots on target, and effectiveness are the variables that best discriminated match winners. As players' ages increased, their effectiveness increased, there was a decrease in their shots and goal chances, and game actions were more balanced. The evolution of technical-tactical performance indicators between 2003-2009 and 2010-2019 showed a decrease in fouls committed and yellow cards for all categories. In general, the results show an evolution in the game towards strategies that seek to generate more effective situations with a greater chance of scoring. Data can serve as references to understand players' and teams' evolution and factors that correlate with winning (chances, shots on target, and effectiveness).</p>\",\"PeriodicalId\":14171,\"journal\":{\"name\":\"International journal of exercise science\",\"volume\":\"18 3\",\"pages\":\"575-590\"},\"PeriodicalIF\":0.0000,\"publicationDate\":\"2025-06-01\",\"publicationTypes\":\"Journal Article\",\"fieldsOfStudy\":null,\"isOpenAccess\":false,\"openAccessPdf\":\"https://www.ncbi.nlm.nih.gov/pmc/articles/PMC12289234/pdf/\",\"citationCount\":\"0\",\"resultStr\":null,\"platform\":\"Semanticscholar\",\"paperid\":null,\"PeriodicalName\":\"International journal of exercise science\",\"FirstCategoryId\":\"1085\",\"ListUrlMain\":\"https://doi.org/10.70252/KNPB8178\",\"RegionNum\":0,\"RegionCategory\":null,\"ArticlePicture\":[],\"TitleCN\":null,\"AbstractTextCN\":null,\"PMCID\":null,\"EPubDate\":\"2025/1/1 0:00:00\",\"PubModel\":\"eCollection\",\"JCR\":\"Q1\",\"JCRName\":\"Health Professions\",\"Score\":null,\"Total\":0}","platform":"Semanticscholar","paperid":null,"PeriodicalName":"International journal of exercise science","FirstCategoryId":"1085","ListUrlMain":"https://doi.org/10.70252/KNPB8178","RegionNum":0,"RegionCategory":null,"ArticlePicture":[],"TitleCN":null,"AbstractTextCN":null,"PMCID":null,"EPubDate":"2025/1/1 0:00:00","PubModel":"eCollection","JCR":"Q1","JCRName":"Health Professions","Score":null,"Total":0}
引用次数: 0

摘要

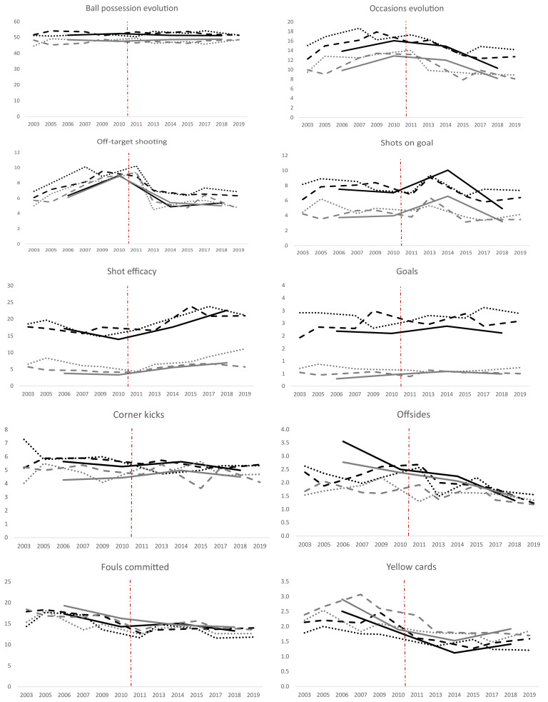
足球比赛的表现取决于球员之间在技术、战术、身体、心理或社会层面上的不同动态互动。本研究的目的是分析男子国家足球队(U-17、U-20和成年)比赛技战术表现指标在不同年龄段的演变。采用非实验回顾性观察设计。研究的变量包括控球、进球机会、射偏、射正、角球、效率;进球、越位、犯规、黄牌、红牌和第二张黄牌。数据来自97个国家的球队的917场比赛(195场成年比赛,369场U-20比赛,353场U-17比赛)。为了研究赢家和输家之间的差异,我们进行了t检验和判别分析。为了分析不同赛事之间的变化,使用了线性回归及其斜率。进球机会、射正和效率是最能区分比赛胜负的变量。随着球员年龄的增长,他们的效率提高,他们的射门和进球机会减少,游戏动作更加平衡。2003-2009年和2010-2019年技战术表现指标的变化表明,所有类别的犯规和黄牌数量都有所减少。总的来说,研究结果表明,在游戏中,寻求创造更有效的情况和更大的得分机会的策略正在进化。数据可以作为参考来理解球员和球队的发展以及与胜利相关的因素(机会、射正和效率)。
本文章由计算机程序翻译,如有差异,请以英文原文为准。

Evolution of Match Technical-Tactical Performance Indicators According to Age Category in Men's National Football Teams (World Cups 2003-2019).

Evolution of Match Technical-Tactical Performance Indicators According to Age Category in Men's National Football Teams (World Cups 2003-2019).

Evolution of Match Technical-Tactical Performance Indicators According to Age Category in Men's National Football Teams (World Cups 2003-2019).

Performance in football depends on different dynamic interactions between players that occur at technical, tactical, physical, psychological, or sociological levels. The objective of this study was to analyze the evolution of match technical-tactical performance indicators according to age category in men's national football teams (U-17, U-20 and senior). A non-experimental retrospective observational design was used. Variables studied were ball possession, goal chances, shots off target, shots on target, corner kicks, effectiveness; goals, offsides, fouls committed, yellow cards, red cards, and second yellow cards. Data were drawn from 917 matches (195 senior, 369 U-20, and 353 U-17) played by teams from 97 nations. For the study of the differences between winners and losers, a T-test and a discriminant analysis were performed. To analyze the change between the different tournaments, a linear regression and its slope were used. Goal chances, shots on target, and effectiveness are the variables that best discriminated match winners. As players' ages increased, their effectiveness increased, there was a decrease in their shots and goal chances, and game actions were more balanced. The evolution of technical-tactical performance indicators between 2003-2009 and 2010-2019 showed a decrease in fouls committed and yellow cards for all categories. In general, the results show an evolution in the game towards strategies that seek to generate more effective situations with a greater chance of scoring. Data can serve as references to understand players' and teams' evolution and factors that correlate with winning (chances, shots on target, and effectiveness).

求助全文
通过发布文献求助,成功后即可免费获取论文全文。 去求助
来源期刊
International journal of exercise science
International journal of exercise science Health Professions-Occupational Therapy
CiteScore
2.20
自引率
0.00%
发文量
47
审稿时长
26 weeks
×
引用
GB/T 7714-2015
复制
MLA
复制
APA
复制
导出至
BibTeX EndNote RefMan NoteFirst NoteExpress
×
提示
您的信息不完整,为了账户安全,请先补充。
现在去补充
×
提示
您因"违规操作"
具体请查看互助需知
我知道了
×
提示
确定
请完成安全验证×
copy
已复制链接
快去分享给好友吧!
我知道了
右上角分享
点击右上角分享
0
联系我们:info@booksci.cn Book学术提供免费学术资源搜索服务,方便国内外学者检索中英文文献。致力于提供最便捷和优质的服务体验。 Copyright © 2023 布克学术 All rights reserved.
京ICP备2023020795号-1
ghs 京公网安备 11010802042870号
Book学术文献互助
Book学术文献互助群
群 号:604180095
Book学术官方微信