MASLD和MetALD中酒精使用障碍的错误分类:患病率、临床特征和结果

IF 3.2 3区 医学 Q2 GASTROENTEROLOGY & HEPATOLOGY
Gut and Liver Pub Date : 2025-09-15 Epub Date: 2025-07-25 DOI:10.5009/gnl250072
Jun-Hyuk Lee, Sung-Ho Ahn, Jimin Park, So Young Jeon, Eileen L Yoon, Hye Sun Lee, Dae Won Jun
{"title":"MASLD和MetALD中酒精使用障碍的错误分类:患病率、临床特征和结果","authors":"Jun-Hyuk Lee, Sung-Ho Ahn, Jimin Park, So Young Jeon, Eileen L Yoon, Hye Sun Lee, Dae Won Jun","doi":"10.5009/gnl250072","DOIUrl":null,"url":null,"abstract":"<p><strong>Background/aims: </strong>Within metabolic dysfunction and alcohol-associated liver disease (MetALD), there exists a continuum where the condition can conceptually shift between being metabolic dysfunction-associated steatotic liver disease (MASLD) and alcoholic liver disease. However, alcohol use disorder (AUD) can be included in these diagnoses. The aim of this study was to investigate the prevalence and clinical characteristics of misclassified AUD among patients with MASLD and MetALD.</p><p><strong>Methods: </strong>The study included a total of 3,362,552 participants from the 2011 to 2012 National Health Screening Program. Steatotic liver disease was defined as having a hepatic steatosis index score of 36 or higher. Significant alcohol intake was calculated on the basis of self-report questionnaire responses. AUD was defined as having received medical care for an alcohol-related condition at least once during the study period. The mean follow-up period for participants was 9.8 years.</p><p><strong>Results: </strong>MASLD and MetALD prevalence were 23.8% and 1.9%, respectively. AUD was identified in 1.1% (8,481 individuals) of MASLD and 4.7% (2,989 individuals) of MetALD cases. Misclassified AUD was associated with significantly higher all-cause and liver-related mortality. Adjusted hazard ratios for liver-related mortality were 6.53 for AUD misclassified as MASLD and 6.98 for AUD misclassified as MetALD. Extrahepatic cancer mortality risk was also elevated (adjusted hazard ratio: 1.33 in MASLD and 1.44 in MetALD).</p><p><strong>Conclusions: </strong>A significant number of AUD cases were misclassified as MASLD and MetALD in cross-sectional assessment of alcohol consumption. Patients with AUD misclassified as MASLD or MetALD had higher liver-related mortality than the pure MASLD and MetALD groups.</p>","PeriodicalId":12885,"journal":{"name":"Gut and Liver","volume":" ","pages":"735-745"},"PeriodicalIF":3.2000,"publicationDate":"2025-09-15","publicationTypes":"Journal Article","fieldsOfStudy":null,"isOpenAccess":false,"openAccessPdf":"https://www.ncbi.nlm.nih.gov/pmc/articles/PMC12436063/pdf/","citationCount":"0","resultStr":"{\"title\":\"Misclassification of Alcohol Use Disorder in MASLD and MetALD: Prevalence, Clinical Characteristics, and Outcomes.\",\"authors\":\"Jun-Hyuk Lee, Sung-Ho Ahn, Jimin Park, So Young Jeon, Eileen L Yoon, Hye Sun Lee, Dae Won Jun\",\"doi\":\"10.5009/gnl250072\",\"DOIUrl\":null,\"url\":null,\"abstract\":\"<p><strong>Background/aims: </strong>Within metabolic dysfunction and alcohol-associated liver disease (MetALD), there exists a continuum where the condition can conceptually shift between being metabolic dysfunction-associated steatotic liver disease (MASLD) and alcoholic liver disease. However, alcohol use disorder (AUD) can be included in these diagnoses. The aim of this study was to investigate the prevalence and clinical characteristics of misclassified AUD among patients with MASLD and MetALD.</p><p><strong>Methods: </strong>The study included a total of 3,362,552 participants from the 2011 to 2012 National Health Screening Program. Steatotic liver disease was defined as having a hepatic steatosis index score of 36 or higher. Significant alcohol intake was calculated on the basis of self-report questionnaire responses. AUD was defined as having received medical care for an alcohol-related condition at least once during the study period. The mean follow-up period for participants was 9.8 years.</p><p><strong>Results: </strong>MASLD and MetALD prevalence were 23.8% and 1.9%, respectively. AUD was identified in 1.1% (8,481 individuals) of MASLD and 4.7% (2,989 individuals) of MetALD cases. Misclassified AUD was associated with significantly higher all-cause and liver-related mortality. Adjusted hazard ratios for liver-related mortality were 6.53 for AUD misclassified as MASLD and 6.98 for AUD misclassified as MetALD. Extrahepatic cancer mortality risk was also elevated (adjusted hazard ratio: 1.33 in MASLD and 1.44 in MetALD).</p><p><strong>Conclusions: </strong>A significant number of AUD cases were misclassified as MASLD and MetALD in cross-sectional assessment of alcohol consumption. Patients with AUD misclassified as MASLD or MetALD had higher liver-related mortality than the pure MASLD and MetALD groups.</p>\",\"PeriodicalId\":12885,\"journal\":{\"name\":\"Gut and Liver\",\"volume\":\" \",\"pages\":\"735-745\"},\"PeriodicalIF\":3.2000,\"publicationDate\":\"2025-09-15\",\"publicationTypes\":\"Journal Article\",\"fieldsOfStudy\":null,\"isOpenAccess\":false,\"openAccessPdf\":\"https://www.ncbi.nlm.nih.gov/pmc/articles/PMC12436063/pdf/\",\"citationCount\":\"0\",\"resultStr\":null,\"platform\":\"Semanticscholar\",\"paperid\":null,\"PeriodicalName\":\"Gut and Liver\",\"FirstCategoryId\":\"3\",\"ListUrlMain\":\"https://doi.org/10.5009/gnl250072\",\"RegionNum\":3,\"RegionCategory\":\"医学\",\"ArticlePicture\":[],\"TitleCN\":null,\"AbstractTextCN\":null,\"PMCID\":null,\"EPubDate\":\"2025/7/25 0:00:00\",\"PubModel\":\"Epub\",\"JCR\":\"Q2\",\"JCRName\":\"GASTROENTEROLOGY & HEPATOLOGY\",\"Score\":null,\"Total\":0}","platform":"Semanticscholar","paperid":null,"PeriodicalName":"Gut and Liver","FirstCategoryId":"3","ListUrlMain":"https://doi.org/10.5009/gnl250072","RegionNum":3,"RegionCategory":"医学","ArticlePicture":[],"TitleCN":null,"AbstractTextCN":null,"PMCID":null,"EPubDate":"2025/7/25 0:00:00","PubModel":"Epub","JCR":"Q2","JCRName":"GASTROENTEROLOGY & HEPATOLOGY","Score":null,"Total":0}
引用次数: 0

摘要

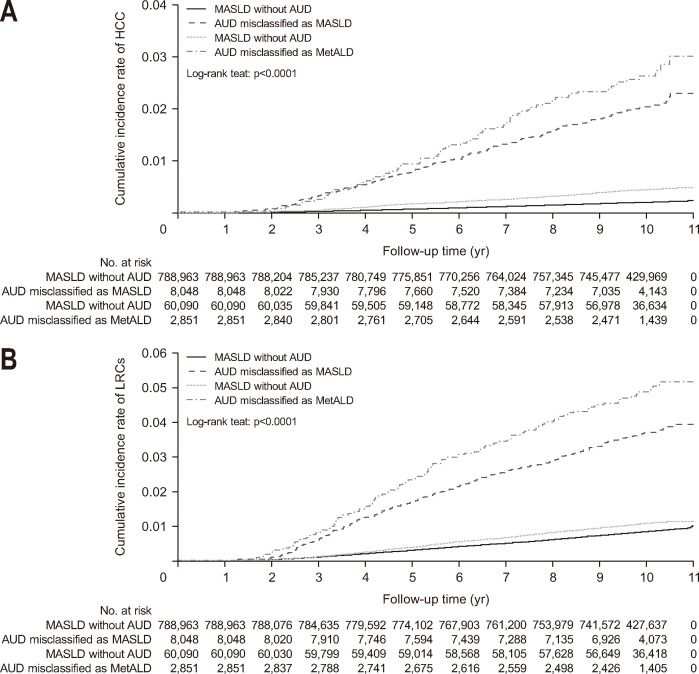
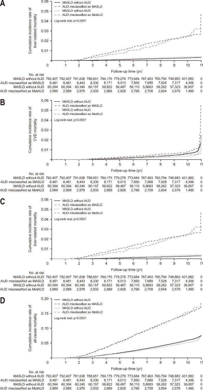
背景/目的:在代谢功能障碍和酒精相关肝病(MetALD)中,存在一个连续体,在概念上可以在代谢功能障碍相关脂肪变性肝病(MASLD)和酒精性肝病之间转换。然而,酒精使用障碍(AUD)可以包括在这些诊断中。本研究的目的是调查MASLD和MetALD患者中错误分类AUD的患病率和临床特征。方法:该研究包括2011年至2012年国家健康筛查计划的3362552名参与者。脂肪变性肝病定义为肝脂肪变性指数评分为36或更高。根据自我报告问卷的回答计算显著酒精摄入量。AUD定义为在研究期间至少接受过一次酒精相关疾病的医疗护理。参与者的平均随访时间为9.8年。结果:MASLD和MetALD患病率分别为23.8%和1.9%。在1.1%(8,481例)的MASLD和4.7%(2,989例)的MetALD病例中发现AUD。错误分类的AUD与更高的全因死亡率和肝脏相关死亡率相关。校正后的肝脏相关死亡率风险比,被错误分类为MASLD的AUD为6.53,被错误分类为MetALD的AUD为6.98。肝外癌死亡风险也升高(校正风险比:MASLD为1.33,MetALD为1.44)。结论:在饮酒量的横断面评估中,大量AUD病例被错误地分类为MASLD和MetALD。被误诊为MASLD或MetALD的AUD患者的肝脏相关死亡率高于单纯的MASLD和MetALD组。
本文章由计算机程序翻译,如有差异,请以英文原文为准。

Misclassification of Alcohol Use Disorder in MASLD and MetALD: Prevalence, Clinical Characteristics, and Outcomes.

Misclassification of Alcohol Use Disorder in MASLD and MetALD: Prevalence, Clinical Characteristics, and Outcomes.

Misclassification of Alcohol Use Disorder in MASLD and MetALD: Prevalence, Clinical Characteristics, and Outcomes.

Misclassification of Alcohol Use Disorder in MASLD and MetALD: Prevalence, Clinical Characteristics, and Outcomes.

Background/aims: Within metabolic dysfunction and alcohol-associated liver disease (MetALD), there exists a continuum where the condition can conceptually shift between being metabolic dysfunction-associated steatotic liver disease (MASLD) and alcoholic liver disease. However, alcohol use disorder (AUD) can be included in these diagnoses. The aim of this study was to investigate the prevalence and clinical characteristics of misclassified AUD among patients with MASLD and MetALD.

Methods: The study included a total of 3,362,552 participants from the 2011 to 2012 National Health Screening Program. Steatotic liver disease was defined as having a hepatic steatosis index score of 36 or higher. Significant alcohol intake was calculated on the basis of self-report questionnaire responses. AUD was defined as having received medical care for an alcohol-related condition at least once during the study period. The mean follow-up period for participants was 9.8 years.

Results: MASLD and MetALD prevalence were 23.8% and 1.9%, respectively. AUD was identified in 1.1% (8,481 individuals) of MASLD and 4.7% (2,989 individuals) of MetALD cases. Misclassified AUD was associated with significantly higher all-cause and liver-related mortality. Adjusted hazard ratios for liver-related mortality were 6.53 for AUD misclassified as MASLD and 6.98 for AUD misclassified as MetALD. Extrahepatic cancer mortality risk was also elevated (adjusted hazard ratio: 1.33 in MASLD and 1.44 in MetALD).

Conclusions: A significant number of AUD cases were misclassified as MASLD and MetALD in cross-sectional assessment of alcohol consumption. Patients with AUD misclassified as MASLD or MetALD had higher liver-related mortality than the pure MASLD and MetALD groups.

求助全文
通过发布文献求助,成功后即可免费获取论文全文。 去求助
来源期刊
Gut and Liver
Gut and Liver 医学-胃肠肝病学
CiteScore
7.50
自引率
8.80%
发文量
119
审稿时长
6-12 weeks
期刊介绍: Gut and Liver is an international journal of gastroenterology, focusing on the gastrointestinal tract, liver, biliary tree, pancreas, motility, and neurogastroenterology. Gut and Liver delivers up-to-date, authoritative papers on both clinical and research-based topics in gastroenterology. The Journal publishes original articles, case reports, brief communications, letters to the editor and invited review articles in the field of gastroenterology. The Journal is operated by internationally renowned editorial boards and designed to provide a global opportunity to promote academic developments in the field of gastroenterology and hepatology. Gut and Liver is jointly owned and operated by 8 affiliated societies in the field of gastroenterology, namely: the Korean Society of Gastroenterology, the Korean Society of Gastrointestinal Endoscopy, the Korean Society of Neurogastroenterology and Motility, the Korean College of Helicobacter and Upper Gastrointestinal Research, the Korean Association for the Study of Intestinal Diseases, the Korean Association for the Study of the Liver, the Korean Pancreatobiliary Association, and the Korean Society of Gastrointestinal Cancer.
×
引用
GB/T 7714-2015
复制
MLA
复制
APA
复制
导出至
BibTeX EndNote RefMan NoteFirst NoteExpress
×
提示
您的信息不完整,为了账户安全,请先补充。
现在去补充
×
提示
您因"违规操作"
具体请查看互助需知
我知道了
×
提示
确定
请完成安全验证×
copy
已复制链接
快去分享给好友吧!
我知道了
右上角分享
点击右上角分享
0
联系我们:info@booksci.cn Book学术提供免费学术资源搜索服务,方便国内外学者检索中英文文献。致力于提供最便捷和优质的服务体验。 Copyright © 2023 布克学术 All rights reserved.
京ICP备2023020795号-1
ghs 京公网安备 11010802042870号
Book学术文献互助
Book学术文献互助群
群 号:604180095
Book学术官方微信