两个欧洲转诊中心的分化甲状腺癌:不同诊断和治疗策略的影响。

IF 4.3 2区 医学 Q2 ENDOCRINOLOGY & METABOLISM
Daniele Ceruti, Petronella B Ottevanger, Simone De Leo, Han J Bonenkamp, Carla Colombo, Martin Gotthardt, Laura Fugazzola, Romana T Netea-Maier
{"title":"两个欧洲转诊中心的分化甲状腺癌:不同诊断和治疗策略的影响。","authors":"Daniele Ceruti, Petronella B Ottevanger, Simone De Leo, Han J Bonenkamp, Carla Colombo, Martin Gotthardt, Laura Fugazzola, Romana T Netea-Maier","doi":"10.1530/ETJ-25-0161","DOIUrl":null,"url":null,"abstract":"<p><strong>Objective: </strong>To evaluate differences in the presentation, diagnostic/therapeutic approaches, and outcome of differentiated thyroid cancer (DTC) in an Italian and a Dutch referral centre.</p><p><strong>Methods: </strong>We retrospectively included 919 patients (586 Italian, 333 Dutch), and compared the two cohorts as a whole and according to ATA risk classes. Dynamic risk stratification (DRS) and Kaplan-Meier curves were used to compare progression-free survival (PFS) and disease-specific survival (DSS).</p><p><strong>Results: </strong>Several differences (P < 0.001) were found in clinicopathological features and in diagnostic/therapeutic modalities. The Dutch cohort had a higher age at diagnosis, a higher number of patients presenting with metastatic disease, and patients with stage III/IV. Most Italian patients showed a low/intermediate ATA risk, while high-risk patients represented half of the Dutch cohort. The Dutch cohort received a more intensive first treatment and more additional treatments during follow-up (i.e. surgery, radiotherapy, and systemic treatments). DRS analysis showed comparable excellent and biochemical incomplete responses, while the Dutch cohort had a lower rate of indeterminate and a higher rate of structural incomplete responses (P < 0.001). The Dutch cohort had a significantly worse 5-year PFS, and TC-related mortality was 10 and 1% for the Dutch and Italian cohorts, respectively, in line with the higher rate of advanced disease at presentation, with DSS still excellent for both.</p><p><strong>Conclusion: </strong>Data reported in the present comparison between two European countries highlight a different prevalence, presentation, and outcome of DTC, likely due to variabilities in healthcare systems, iodine nutritional status, and diagnostic and treatment approaches.</p>","PeriodicalId":12159,"journal":{"name":"European Thyroid Journal","volume":" ","pages":""},"PeriodicalIF":4.3000,"publicationDate":"2025-08-08","publicationTypes":"Journal Article","fieldsOfStudy":null,"isOpenAccess":false,"openAccessPdf":"https://www.ncbi.nlm.nih.gov/pmc/articles/PMC12344397/pdf/","citationCount":"0","resultStr":"{\"title\":\"Differentiated thyroid cancer in two European referral centres: impact of different diagnostic and therapeutic strategies.\",\"authors\":\"Daniele Ceruti, Petronella B Ottevanger, Simone De Leo, Han J Bonenkamp, Carla Colombo, Martin Gotthardt, Laura Fugazzola, Romana T Netea-Maier\",\"doi\":\"10.1530/ETJ-25-0161\",\"DOIUrl\":null,\"url\":null,\"abstract\":\"<p><strong>Objective: </strong>To evaluate differences in the presentation, diagnostic/therapeutic approaches, and outcome of differentiated thyroid cancer (DTC) in an Italian and a Dutch referral centre.</p><p><strong>Methods: </strong>We retrospectively included 919 patients (586 Italian, 333 Dutch), and compared the two cohorts as a whole and according to ATA risk classes. Dynamic risk stratification (DRS) and Kaplan-Meier curves were used to compare progression-free survival (PFS) and disease-specific survival (DSS).</p><p><strong>Results: </strong>Several differences (P < 0.001) were found in clinicopathological features and in diagnostic/therapeutic modalities. The Dutch cohort had a higher age at diagnosis, a higher number of patients presenting with metastatic disease, and patients with stage III/IV. Most Italian patients showed a low/intermediate ATA risk, while high-risk patients represented half of the Dutch cohort. The Dutch cohort received a more intensive first treatment and more additional treatments during follow-up (i.e. surgery, radiotherapy, and systemic treatments). DRS analysis showed comparable excellent and biochemical incomplete responses, while the Dutch cohort had a lower rate of indeterminate and a higher rate of structural incomplete responses (P < 0.001). The Dutch cohort had a significantly worse 5-year PFS, and TC-related mortality was 10 and 1% for the Dutch and Italian cohorts, respectively, in line with the higher rate of advanced disease at presentation, with DSS still excellent for both.</p><p><strong>Conclusion: </strong>Data reported in the present comparison between two European countries highlight a different prevalence, presentation, and outcome of DTC, likely due to variabilities in healthcare systems, iodine nutritional status, and diagnostic and treatment approaches.</p>\",\"PeriodicalId\":12159,\"journal\":{\"name\":\"European Thyroid Journal\",\"volume\":\" \",\"pages\":\"\"},\"PeriodicalIF\":4.3000,\"publicationDate\":\"2025-08-08\",\"publicationTypes\":\"Journal Article\",\"fieldsOfStudy\":null,\"isOpenAccess\":false,\"openAccessPdf\":\"https://www.ncbi.nlm.nih.gov/pmc/articles/PMC12344397/pdf/\",\"citationCount\":\"0\",\"resultStr\":null,\"platform\":\"Semanticscholar\",\"paperid\":null,\"PeriodicalName\":\"European Thyroid Journal\",\"FirstCategoryId\":\"3\",\"ListUrlMain\":\"https://doi.org/10.1530/ETJ-25-0161\",\"RegionNum\":2,\"RegionCategory\":\"医学\",\"ArticlePicture\":[],\"TitleCN\":null,\"AbstractTextCN\":null,\"PMCID\":null,\"EPubDate\":\"\",\"PubModel\":\"\",\"JCR\":\"Q2\",\"JCRName\":\"ENDOCRINOLOGY & METABOLISM\",\"Score\":null,\"Total\":0}","platform":"Semanticscholar","paperid":null,"PeriodicalName":"European Thyroid Journal","FirstCategoryId":"3","ListUrlMain":"https://doi.org/10.1530/ETJ-25-0161","RegionNum":2,"RegionCategory":"医学","ArticlePicture":[],"TitleCN":null,"AbstractTextCN":null,"PMCID":null,"EPubDate":"","PubModel":"","JCR":"Q2","JCRName":"ENDOCRINOLOGY & METABOLISM","Score":null,"Total":0}
引用次数: 0

摘要

目的:评估意大利和荷兰转诊中心分化型甲状腺癌(DTC)的表现、诊断/治疗方法和预后的差异。方法:我们回顾性纳入了919例患者(586例意大利患者,333例荷兰患者),并根据ATA风险等级对两个队列进行整体比较。动态风险分层(DRS)和Kaplan Meyer曲线用于比较无进展生存期(PFS)和疾病特异性生存期(DSS)。结论:目前在两个欧洲国家之间的比较中报告的数据强调了DTC的患病率,表现和结果的不同,可能是由于卫生保健系统,碘营养状况,诊断和治疗方法的差异。
本文章由计算机程序翻译,如有差异,请以英文原文为准。

Differentiated thyroid cancer in two European referral centres: impact of different diagnostic and therapeutic strategies.

Differentiated thyroid cancer in two European referral centres: impact of different diagnostic and therapeutic strategies.

Differentiated thyroid cancer in two European referral centres: impact of different diagnostic and therapeutic strategies.

Differentiated thyroid cancer in two European referral centres: impact of different diagnostic and therapeutic strategies.

Objective: To evaluate differences in the presentation, diagnostic/therapeutic approaches, and outcome of differentiated thyroid cancer (DTC) in an Italian and a Dutch referral centre.

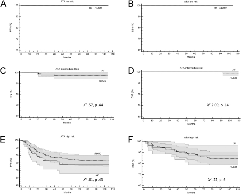
Methods: We retrospectively included 919 patients (586 Italian, 333 Dutch), and compared the two cohorts as a whole and according to ATA risk classes. Dynamic risk stratification (DRS) and Kaplan-Meier curves were used to compare progression-free survival (PFS) and disease-specific survival (DSS).

Results: Several differences (P < 0.001) were found in clinicopathological features and in diagnostic/therapeutic modalities. The Dutch cohort had a higher age at diagnosis, a higher number of patients presenting with metastatic disease, and patients with stage III/IV. Most Italian patients showed a low/intermediate ATA risk, while high-risk patients represented half of the Dutch cohort. The Dutch cohort received a more intensive first treatment and more additional treatments during follow-up (i.e. surgery, radiotherapy, and systemic treatments). DRS analysis showed comparable excellent and biochemical incomplete responses, while the Dutch cohort had a lower rate of indeterminate and a higher rate of structural incomplete responses (P < 0.001). The Dutch cohort had a significantly worse 5-year PFS, and TC-related mortality was 10 and 1% for the Dutch and Italian cohorts, respectively, in line with the higher rate of advanced disease at presentation, with DSS still excellent for both.

Conclusion: Data reported in the present comparison between two European countries highlight a different prevalence, presentation, and outcome of DTC, likely due to variabilities in healthcare systems, iodine nutritional status, and diagnostic and treatment approaches.

求助全文
通过发布文献求助,成功后即可免费获取论文全文。 去求助
来源期刊
European Thyroid Journal
European Thyroid Journal Medicine-Endocrinology, Diabetes and Metabolism
CiteScore
6.70
自引率
2.10%
发文量
156
期刊介绍: The ''European Thyroid Journal'' publishes papers reporting original research in basic, translational and clinical thyroidology. Original contributions cover all aspects of the field, from molecular and cellular biology to immunology and biochemistry, from physiology to pathology, and from pediatric to adult thyroid diseases with a special focus on thyroid cancer. Readers also benefit from reviews by noted experts, which highlight especially active areas of current research. The journal will further publish formal guidelines in the field, produced and endorsed by the European Thyroid Association.
×
引用
GB/T 7714-2015
复制
MLA
复制
APA
复制
导出至
BibTeX EndNote RefMan NoteFirst NoteExpress
×
提示
您的信息不完整,为了账户安全,请先补充。
现在去补充
×
提示
您因"违规操作"
具体请查看互助需知
我知道了
×
提示
确定
请完成安全验证×
copy
已复制链接
快去分享给好友吧!
我知道了
右上角分享
点击右上角分享
0
联系我们:info@booksci.cn Book学术提供免费学术资源搜索服务,方便国内外学者检索中英文文献。致力于提供最便捷和优质的服务体验。 Copyright © 2023 布克学术 All rights reserved.
京ICP备2023020795号-1
ghs 京公网安备 11010802042870号
Book学术文献互助
Book学术文献互助群
群 号:604180095
Book学术官方微信