外周血TNF-α和CD8+/CD28+ T淋巴细胞作为乳腺癌肿瘤微环境PD-L1预测的替代:新辅助治疗分层

IF 3.4 4区 医学 Q2 ONCOLOGY
Breast Cancer : Targets and Therapy Pub Date : 2025-07-19 eCollection Date: 2025-01-01 DOI:10.2147/BCTT.S532688
Jiangping Wu, Xin Ou, Keyu Yuan, Feng Shi, Quan Zhou, Suzhen Lyu, Yanping Li, Yanjie Zhao, Yu Cao, Jianping Sun, Qingkun Song
{"title":"外周血TNF-α和CD8+/CD28+ T淋巴细胞作为乳腺癌肿瘤微环境PD-L1预测的替代:新辅助治疗分层","authors":"Jiangping Wu, Xin Ou, Keyu Yuan, Feng Shi, Quan Zhou, Suzhen Lyu, Yanping Li, Yanjie Zhao, Yu Cao, Jianping Sun, Qingkun Song","doi":"10.2147/BCTT.S532688","DOIUrl":null,"url":null,"abstract":"<p><strong>Background: </strong>Programmed death-ligand 1 (PD-L1) is an immunotherapy target; however, its detection is based on biopsy tissues, and repeated biopsies present clinical challenges. This study aimed to explore peripheral blood-based alternatives to PD-L1 tissue detection in breast cancer (BC), particularly stratification by neoadjuvant therapy (NAT).</p><p><strong>Methods: </strong>A total of 134 cases were recruited, the peripheral lymphocyte subtypes and cytokines were detected by flow cytometry and PD-L1 expression in tumor microenvironment (TME) was detected by immunohistochemistry and assessed by two qualified pathologists.</p><p><strong>Results: </strong>The patients with positive PD-L1 expression had peripheral CD8<sup>+</sup>/CD28<sup>+</sup> T lymphocytes 20% higher than those with negative expression (<i>p</i> = 0.008) with the area under the receiver operating characteristic curve (AUC) being 0.64 (<i>p</i> = 0.002). Among patients with negative NAT, positive PD-L1 expression was associated with peripheral CD8<sup>+</sup>/CD28<sup>+</sup> T lymphocytes that increased by 54% (<i>p</i> = 0.003), and the AUC being 0.68 (<i>p</i> = 0.003). In patients receiving NAT, positive PD-L1 expression was associated with peripheral TNF-α (<i>p</i> = 0.010), which increased from 0.45pg/mL to 0.64pg/mL in the PD-L1 positive group, and the AUC was 0.79 (<i>p</i> = 0.012). Among patients without NAT experience, a 1% increase in peripheral CD8<sup>+</sup>/CD28<sup>+</sup> T lymphocytes was associated with a 21% higher probability of positive PD-L1 expression (OR = 1.21, 95% CI: 1.06-1.37) and among patients with NAT, the OR of peripheral TNF-α (>0.5pg/mL) increased to 24.5 for positive TME PD-L1 expression (<i>p</i> = 0.008).</p><p><strong>Conclusion: </strong>Peripheral CD8<sup>+</sup>/CD28<sup>+</sup> T cell percentages and TNF-α levels served as non-invasive biomarkers for TME PD-L1 expression in BC patients with and without NAT, respectively. These biomarkers warranted further validation in clinical implementation to guide precision immunotherapy.</p>","PeriodicalId":9106,"journal":{"name":"Breast Cancer : Targets and Therapy","volume":"17 ","pages":"627-637"},"PeriodicalIF":3.4000,"publicationDate":"2025-07-19","publicationTypes":"Journal Article","fieldsOfStudy":null,"isOpenAccess":false,"openAccessPdf":"https://www.ncbi.nlm.nih.gov/pmc/articles/PMC12288228/pdf/","citationCount":"0","resultStr":"{\"title\":\"Peripheral TNF-α and CD8<sup>+</sup>/CD28<sup>+</sup> T Lymphocytes as Alternatives for PD-L1 Prediction in Breast Cancer Tumor Microenvironment: Stratified by Neoadjuvant Therapy.\",\"authors\":\"Jiangping Wu, Xin Ou, Keyu Yuan, Feng Shi, Quan Zhou, Suzhen Lyu, Yanping Li, Yanjie Zhao, Yu Cao, Jianping Sun, Qingkun Song\",\"doi\":\"10.2147/BCTT.S532688\",\"DOIUrl\":null,\"url\":null,\"abstract\":\"<p><strong>Background: </strong>Programmed death-ligand 1 (PD-L1) is an immunotherapy target; however, its detection is based on biopsy tissues, and repeated biopsies present clinical challenges. This study aimed to explore peripheral blood-based alternatives to PD-L1 tissue detection in breast cancer (BC), particularly stratification by neoadjuvant therapy (NAT).</p><p><strong>Methods: </strong>A total of 134 cases were recruited, the peripheral lymphocyte subtypes and cytokines were detected by flow cytometry and PD-L1 expression in tumor microenvironment (TME) was detected by immunohistochemistry and assessed by two qualified pathologists.</p><p><strong>Results: </strong>The patients with positive PD-L1 expression had peripheral CD8<sup>+</sup>/CD28<sup>+</sup> T lymphocytes 20% higher than those with negative expression (<i>p</i> = 0.008) with the area under the receiver operating characteristic curve (AUC) being 0.64 (<i>p</i> = 0.002). Among patients with negative NAT, positive PD-L1 expression was associated with peripheral CD8<sup>+</sup>/CD28<sup>+</sup> T lymphocytes that increased by 54% (<i>p</i> = 0.003), and the AUC being 0.68 (<i>p</i> = 0.003). In patients receiving NAT, positive PD-L1 expression was associated with peripheral TNF-α (<i>p</i> = 0.010), which increased from 0.45pg/mL to 0.64pg/mL in the PD-L1 positive group, and the AUC was 0.79 (<i>p</i> = 0.012). Among patients without NAT experience, a 1% increase in peripheral CD8<sup>+</sup>/CD28<sup>+</sup> T lymphocytes was associated with a 21% higher probability of positive PD-L1 expression (OR = 1.21, 95% CI: 1.06-1.37) and among patients with NAT, the OR of peripheral TNF-α (>0.5pg/mL) increased to 24.5 for positive TME PD-L1 expression (<i>p</i> = 0.008).</p><p><strong>Conclusion: </strong>Peripheral CD8<sup>+</sup>/CD28<sup>+</sup> T cell percentages and TNF-α levels served as non-invasive biomarkers for TME PD-L1 expression in BC patients with and without NAT, respectively. These biomarkers warranted further validation in clinical implementation to guide precision immunotherapy.</p>\",\"PeriodicalId\":9106,\"journal\":{\"name\":\"Breast Cancer : Targets and Therapy\",\"volume\":\"17 \",\"pages\":\"627-637\"},\"PeriodicalIF\":3.4000,\"publicationDate\":\"2025-07-19\",\"publicationTypes\":\"Journal Article\",\"fieldsOfStudy\":null,\"isOpenAccess\":false,\"openAccessPdf\":\"https://www.ncbi.nlm.nih.gov/pmc/articles/PMC12288228/pdf/\",\"citationCount\":\"0\",\"resultStr\":null,\"platform\":\"Semanticscholar\",\"paperid\":null,\"PeriodicalName\":\"Breast Cancer : Targets and Therapy\",\"FirstCategoryId\":\"3\",\"ListUrlMain\":\"https://doi.org/10.2147/BCTT.S532688\",\"RegionNum\":4,\"RegionCategory\":\"医学\",\"ArticlePicture\":[],\"TitleCN\":null,\"AbstractTextCN\":null,\"PMCID\":null,\"EPubDate\":\"2025/1/1 0:00:00\",\"PubModel\":\"eCollection\",\"JCR\":\"Q2\",\"JCRName\":\"ONCOLOGY\",\"Score\":null,\"Total\":0}","platform":"Semanticscholar","paperid":null,"PeriodicalName":"Breast Cancer : Targets and Therapy","FirstCategoryId":"3","ListUrlMain":"https://doi.org/10.2147/BCTT.S532688","RegionNum":4,"RegionCategory":"医学","ArticlePicture":[],"TitleCN":null,"AbstractTextCN":null,"PMCID":null,"EPubDate":"2025/1/1 0:00:00","PubModel":"eCollection","JCR":"Q2","JCRName":"ONCOLOGY","Score":null,"Total":0}
引用次数: 0

摘要

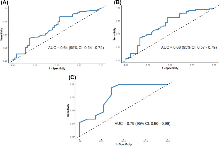
背景:程序性死亡配体1 (PD-L1)是一种免疫治疗靶点;然而,它的检测是基于活检组织,反复活检带来了临床挑战。本研究旨在探索外周血PD-L1组织检测在乳腺癌(BC)中的替代方案,特别是新辅助治疗(NAT)分层。方法:共招募134例患者,采用流式细胞术检测外周血淋巴细胞亚型和细胞因子,免疫组化检测肿瘤微环境(TME)中PD-L1的表达,并由2名有资质的病理学家进行评估。结果:PD-L1表达阳性患者外周血CD8+/CD28+ T淋巴细胞比表达阴性患者高20% (p = 0.008),受者工作特征曲线下面积(AUC)为0.64 (p = 0.002)。在NAT阴性患者中,PD-L1阳性表达与外周血CD8+/CD28+ T淋巴细胞升高相关,升高54% (p = 0.003), AUC为0.68 (p = 0.003)。在接受NAT治疗的患者中,PD-L1阳性表达与外周血TNF-α相关(p = 0.010), PD-L1阳性组外周血TNF-α从0.45pg/mL升高至0.64pg/mL, AUC为0.79 (p = 0.012)。在没有NAT经历的患者中,外周血CD8+/CD28+ T淋巴细胞增加1%与PD-L1阳性表达的概率增加21%相关(OR = 1.21, 95% CI: 1.06-1.37),在NAT患者中,外周血TNF-α (>0.5pg/mL)的OR增加到24.5 TME PD-L1阳性表达(p = 0.008)。结论:外周血CD8+/CD28+ T细胞百分比和TNF-α水平分别是合并和不合并NAT的BC患者TME PD-L1表达的非侵入性生物标志物。这些生物标记物需要在临床实施中进一步验证,以指导精确的免疫治疗。
本文章由计算机程序翻译,如有差异,请以英文原文为准。

Peripheral TNF-α and CD8<sup>+</sup>/CD28<sup>+</sup> T Lymphocytes as Alternatives for PD-L1 Prediction in Breast Cancer Tumor Microenvironment: Stratified by Neoadjuvant Therapy.

Peripheral TNF-α and CD8+/CD28+ T Lymphocytes as Alternatives for PD-L1 Prediction in Breast Cancer Tumor Microenvironment: Stratified by Neoadjuvant Therapy.

Background: Programmed death-ligand 1 (PD-L1) is an immunotherapy target; however, its detection is based on biopsy tissues, and repeated biopsies present clinical challenges. This study aimed to explore peripheral blood-based alternatives to PD-L1 tissue detection in breast cancer (BC), particularly stratification by neoadjuvant therapy (NAT).

Methods: A total of 134 cases were recruited, the peripheral lymphocyte subtypes and cytokines were detected by flow cytometry and PD-L1 expression in tumor microenvironment (TME) was detected by immunohistochemistry and assessed by two qualified pathologists.

Results: The patients with positive PD-L1 expression had peripheral CD8+/CD28+ T lymphocytes 20% higher than those with negative expression (p = 0.008) with the area under the receiver operating characteristic curve (AUC) being 0.64 (p = 0.002). Among patients with negative NAT, positive PD-L1 expression was associated with peripheral CD8+/CD28+ T lymphocytes that increased by 54% (p = 0.003), and the AUC being 0.68 (p = 0.003). In patients receiving NAT, positive PD-L1 expression was associated with peripheral TNF-α (p = 0.010), which increased from 0.45pg/mL to 0.64pg/mL in the PD-L1 positive group, and the AUC was 0.79 (p = 0.012). Among patients without NAT experience, a 1% increase in peripheral CD8+/CD28+ T lymphocytes was associated with a 21% higher probability of positive PD-L1 expression (OR = 1.21, 95% CI: 1.06-1.37) and among patients with NAT, the OR of peripheral TNF-α (>0.5pg/mL) increased to 24.5 for positive TME PD-L1 expression (p = 0.008).

Conclusion: Peripheral CD8+/CD28+ T cell percentages and TNF-α levels served as non-invasive biomarkers for TME PD-L1 expression in BC patients with and without NAT, respectively. These biomarkers warranted further validation in clinical implementation to guide precision immunotherapy.

求助全文
通过发布文献求助,成功后即可免费获取论文全文。 去求助
来源期刊
CiteScore
4.10
自引率
0.00%
发文量
40
审稿时长
16 weeks
×
引用
GB/T 7714-2015
复制
MLA
复制
APA
复制
导出至
BibTeX EndNote RefMan NoteFirst NoteExpress
×
提示
您的信息不完整,为了账户安全,请先补充。
现在去补充
×
提示
您因"违规操作"
具体请查看互助需知
我知道了
×
提示
确定
请完成安全验证×
copy
已复制链接
快去分享给好友吧!
我知道了
右上角分享
点击右上角分享
0
联系我们:info@booksci.cn Book学术提供免费学术资源搜索服务,方便国内外学者检索中英文文献。致力于提供最便捷和优质的服务体验。 Copyright © 2023 布克学术 All rights reserved.
京ICP备2023020795号-1
ghs 京公网安备 11010802042870号
Book学术文献互助
Book学术文献互助群
群 号:604180095
Book学术官方微信