点参考数据空间混淆的两阶段估计。

IF 1.7 4区 数学 Q3 BIOLOGY
Biometrics Pub Date : 2025-07-03 DOI:10.1093/biomtc/ujaf093
Nate Wiecha, Jane A Hoppin, Brian J Reich
{"title":"点参考数据空间混淆的两阶段估计。","authors":"Nate Wiecha, Jane A Hoppin, Brian J Reich","doi":"10.1093/biomtc/ujaf093","DOIUrl":null,"url":null,"abstract":"<p><p>Public health data are often spatially dependent, but standard spatial regression methods can suffer from bias and invalid inference when the independent variable is associated with spatially correlated residuals. This could occur if, for example, there is an unmeasured environmental contaminant associated with the independent and outcome variables in a spatial regression analysis. Geoadditive structural equation modeling (gSEM), in which an estimated spatial trend is removed from both the explanatory and response variables before estimating the parameters of interest, has previously been proposed as a solution but there has been little investigation of gSEM's properties with point-referenced data. We link gSEM to results on double machine learning and semiparametric regression based on two-stage procedures. We propose using these semiparametric estimators for spatial regression using Gaussian processes with Matèrn covariance to estimate the spatial trends and term this class of estimators double spatial regression (DSR). We derive regularity conditions for root-n asymptotic normality and consistency and closed-form variance estimation, and show that in simulations where standard spatial regression estimators are highly biased and have poor coverage, DSR can mitigate bias more effectively than competitors and obtain nominal coverage.</p>","PeriodicalId":8930,"journal":{"name":"Biometrics","volume":"81 3","pages":""},"PeriodicalIF":1.7000,"publicationDate":"2025-07-03","publicationTypes":"Journal Article","fieldsOfStudy":null,"isOpenAccess":false,"openAccessPdf":"https://www.ncbi.nlm.nih.gov/pmc/articles/PMC12288666/pdf/","citationCount":"0","resultStr":"{\"title\":\"Two-stage estimators for spatial confounding with point-referenced data.\",\"authors\":\"Nate Wiecha, Jane A Hoppin, Brian J Reich\",\"doi\":\"10.1093/biomtc/ujaf093\",\"DOIUrl\":null,\"url\":null,\"abstract\":\"<p><p>Public health data are often spatially dependent, but standard spatial regression methods can suffer from bias and invalid inference when the independent variable is associated with spatially correlated residuals. This could occur if, for example, there is an unmeasured environmental contaminant associated with the independent and outcome variables in a spatial regression analysis. Geoadditive structural equation modeling (gSEM), in which an estimated spatial trend is removed from both the explanatory and response variables before estimating the parameters of interest, has previously been proposed as a solution but there has been little investigation of gSEM's properties with point-referenced data. We link gSEM to results on double machine learning and semiparametric regression based on two-stage procedures. We propose using these semiparametric estimators for spatial regression using Gaussian processes with Matèrn covariance to estimate the spatial trends and term this class of estimators double spatial regression (DSR). We derive regularity conditions for root-n asymptotic normality and consistency and closed-form variance estimation, and show that in simulations where standard spatial regression estimators are highly biased and have poor coverage, DSR can mitigate bias more effectively than competitors and obtain nominal coverage.</p>\",\"PeriodicalId\":8930,\"journal\":{\"name\":\"Biometrics\",\"volume\":\"81 3\",\"pages\":\"\"},\"PeriodicalIF\":1.7000,\"publicationDate\":\"2025-07-03\",\"publicationTypes\":\"Journal Article\",\"fieldsOfStudy\":null,\"isOpenAccess\":false,\"openAccessPdf\":\"https://www.ncbi.nlm.nih.gov/pmc/articles/PMC12288666/pdf/\",\"citationCount\":\"0\",\"resultStr\":null,\"platform\":\"Semanticscholar\",\"paperid\":null,\"PeriodicalName\":\"Biometrics\",\"FirstCategoryId\":\"100\",\"ListUrlMain\":\"https://doi.org/10.1093/biomtc/ujaf093\",\"RegionNum\":4,\"RegionCategory\":\"数学\",\"ArticlePicture\":[],\"TitleCN\":null,\"AbstractTextCN\":null,\"PMCID\":null,\"EPubDate\":\"\",\"PubModel\":\"\",\"JCR\":\"Q3\",\"JCRName\":\"BIOLOGY\",\"Score\":null,\"Total\":0}","platform":"Semanticscholar","paperid":null,"PeriodicalName":"Biometrics","FirstCategoryId":"100","ListUrlMain":"https://doi.org/10.1093/biomtc/ujaf093","RegionNum":4,"RegionCategory":"数学","ArticlePicture":[],"TitleCN":null,"AbstractTextCN":null,"PMCID":null,"EPubDate":"","PubModel":"","JCR":"Q3","JCRName":"BIOLOGY","Score":null,"Total":0}
引用次数: 0

摘要

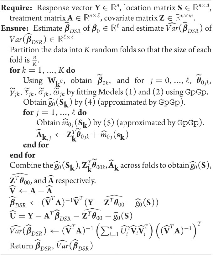
公共卫生数据通常具有空间依赖性,但当自变量与空间相关残差相关联时,标准空间回归方法可能存在偏差和无效推断。例如,如果存在与空间回归分析中的独立变量和结果变量相关的未测量环境污染物,则可能发生这种情况。Geoadditive structural equation modeling (gSEM),即在估计感兴趣的参数之前,将估计的空间趋势从解释变量和响应变量中去除,已经被提出作为一种解决方案,但很少有研究利用点参考数据来研究gSEM的特性。我们将gSEM与基于两阶段过程的双机器学习和半参数回归的结果联系起来。我们提出将这些半参数估计量用于空间回归,利用具有mat协方差的高斯过程来估计空间趋势,并将这类估计量命名为双空间回归(DSR)。我们推导了根n渐近正态性、一致性和封闭式方差估计的正则性条件,并表明在标准空间回归估计高度偏倚和覆盖率低的模拟中,DSR可以比竞争对手更有效地减轻偏倚并获得名义覆盖率。
本文章由计算机程序翻译,如有差异,请以英文原文为准。

Two-stage estimators for spatial confounding with point-referenced data.

Two-stage estimators for spatial confounding with point-referenced data.

Two-stage estimators for spatial confounding with point-referenced data.

Two-stage estimators for spatial confounding with point-referenced data.

Public health data are often spatially dependent, but standard spatial regression methods can suffer from bias and invalid inference when the independent variable is associated with spatially correlated residuals. This could occur if, for example, there is an unmeasured environmental contaminant associated with the independent and outcome variables in a spatial regression analysis. Geoadditive structural equation modeling (gSEM), in which an estimated spatial trend is removed from both the explanatory and response variables before estimating the parameters of interest, has previously been proposed as a solution but there has been little investigation of gSEM's properties with point-referenced data. We link gSEM to results on double machine learning and semiparametric regression based on two-stage procedures. We propose using these semiparametric estimators for spatial regression using Gaussian processes with Matèrn covariance to estimate the spatial trends and term this class of estimators double spatial regression (DSR). We derive regularity conditions for root-n asymptotic normality and consistency and closed-form variance estimation, and show that in simulations where standard spatial regression estimators are highly biased and have poor coverage, DSR can mitigate bias more effectively than competitors and obtain nominal coverage.

求助全文
通过发布文献求助,成功后即可免费获取论文全文。 去求助
来源期刊
Biometrics
Biometrics 生物-生物学
CiteScore
2.70
自引率
5.30%
发文量
178
审稿时长
4-8 weeks
期刊介绍: The International Biometric Society is an international society promoting the development and application of statistical and mathematical theory and methods in the biosciences, including agriculture, biomedical science and public health, ecology, environmental sciences, forestry, and allied disciplines. The Society welcomes as members statisticians, mathematicians, biological scientists, and others devoted to interdisciplinary efforts in advancing the collection and interpretation of information in the biosciences. The Society sponsors the biennial International Biometric Conference, held in sites throughout the world; through its National Groups and Regions, it also Society sponsors regional and local meetings.
×
引用
GB/T 7714-2015
复制
MLA
复制
APA
复制
导出至
BibTeX EndNote RefMan NoteFirst NoteExpress
×
提示
您的信息不完整,为了账户安全,请先补充。
现在去补充
×
提示
您因"违规操作"
具体请查看互助需知
我知道了
×
提示
确定
请完成安全验证×
copy
已复制链接
快去分享给好友吧!
我知道了
右上角分享
点击右上角分享
0
联系我们:info@booksci.cn Book学术提供免费学术资源搜索服务,方便国内外学者检索中英文文献。致力于提供最便捷和优质的服务体验。 Copyright © 2023 布克学术 All rights reserved.
京ICP备2023020795号-1
ghs 京公网安备 11010802042870号
Book学术文献互助
Book学术文献互助群
群 号:604180095
Book学术官方微信