导致职业性口腔暴露的机制:系统回顾和荟萃分析。

IF 2.1 4区 医学 Q3 PUBLIC, ENVIRONMENTAL & OCCUPATIONAL HEALTH
Marlene Dietz, Anke Kahl, Urs Schlüter
{"title":"导致职业性口腔暴露的机制:系统回顾和荟萃分析。","authors":"Marlene Dietz, Anke Kahl, Urs Schlüter","doi":"10.1093/annweh/wxaf042","DOIUrl":null,"url":null,"abstract":"<p><strong>Introduction: </strong>In addition to inhalation and dermal exposure, also oral exposure is relevant in the workplace, even though this exposure route is most often neglected. In order to improve the understanding of occupational oral exposure, a systematic identification of mechanisms leading to inadvertent ingestion in the workplace is needed, including the transfer of chemicals and the contribution of aerosols.</p><p><strong>Methods: </strong>A systematic literature search was conducted according to the PRISMA method including 5 databases and 9 institutional websites. Information from the included studies was extracted in concept matrices and further analyzed.</p><p><strong>Results: </strong>Overall, 175 suitable publications were selected. Identified mechanisms leading to oral exposure were the transfer of chemicals, eg, from hands to mouth, and contributions from aerosols. Transfer influencing parameters were categorized as environmental, substance-specific, transfer pathway, surface, contact, or skin characteristics.</p><p><strong>Discussion: </strong>Even though oral exposure was mainly investigated for children so far, similar mechanisms can lead to oral exposure in adults. Although the parameters characterizing the transfer of chemicals were identified and categorized, inconsistencies in nomenclature were identified, and correlations between parameters and transfer efficiencies often remained unclear.</p><p><strong>Conclusions: </strong>The transfer of hazardous substances and the contribution of aerosols were identified as mechanisms of oral exposure. Transfer parameters and the interplay between particles from aerosols and oral exposure were discussed.</p>","PeriodicalId":8362,"journal":{"name":"Annals Of Work Exposures and Health","volume":" ","pages":"798-807"},"PeriodicalIF":2.1000,"publicationDate":"2025-09-26","publicationTypes":"Journal Article","fieldsOfStudy":null,"isOpenAccess":false,"openAccessPdf":"https://www.ncbi.nlm.nih.gov/pmc/articles/PMC12463556/pdf/","citationCount":"0","resultStr":"{\"title\":\"Mechanisms leading to occupational oral exposure: a systematic review and meta-analysis.\",\"authors\":\"Marlene Dietz, Anke Kahl, Urs Schlüter\",\"doi\":\"10.1093/annweh/wxaf042\",\"DOIUrl\":null,\"url\":null,\"abstract\":\"<p><strong>Introduction: </strong>In addition to inhalation and dermal exposure, also oral exposure is relevant in the workplace, even though this exposure route is most often neglected. In order to improve the understanding of occupational oral exposure, a systematic identification of mechanisms leading to inadvertent ingestion in the workplace is needed, including the transfer of chemicals and the contribution of aerosols.</p><p><strong>Methods: </strong>A systematic literature search was conducted according to the PRISMA method including 5 databases and 9 institutional websites. Information from the included studies was extracted in concept matrices and further analyzed.</p><p><strong>Results: </strong>Overall, 175 suitable publications were selected. Identified mechanisms leading to oral exposure were the transfer of chemicals, eg, from hands to mouth, and contributions from aerosols. Transfer influencing parameters were categorized as environmental, substance-specific, transfer pathway, surface, contact, or skin characteristics.</p><p><strong>Discussion: </strong>Even though oral exposure was mainly investigated for children so far, similar mechanisms can lead to oral exposure in adults. Although the parameters characterizing the transfer of chemicals were identified and categorized, inconsistencies in nomenclature were identified, and correlations between parameters and transfer efficiencies often remained unclear.</p><p><strong>Conclusions: </strong>The transfer of hazardous substances and the contribution of aerosols were identified as mechanisms of oral exposure. Transfer parameters and the interplay between particles from aerosols and oral exposure were discussed.</p>\",\"PeriodicalId\":8362,\"journal\":{\"name\":\"Annals Of Work Exposures and Health\",\"volume\":\" \",\"pages\":\"798-807\"},\"PeriodicalIF\":2.1000,\"publicationDate\":\"2025-09-26\",\"publicationTypes\":\"Journal Article\",\"fieldsOfStudy\":null,\"isOpenAccess\":false,\"openAccessPdf\":\"https://www.ncbi.nlm.nih.gov/pmc/articles/PMC12463556/pdf/\",\"citationCount\":\"0\",\"resultStr\":null,\"platform\":\"Semanticscholar\",\"paperid\":null,\"PeriodicalName\":\"Annals Of Work Exposures and Health\",\"FirstCategoryId\":\"3\",\"ListUrlMain\":\"https://doi.org/10.1093/annweh/wxaf042\",\"RegionNum\":4,\"RegionCategory\":\"医学\",\"ArticlePicture\":[],\"TitleCN\":null,\"AbstractTextCN\":null,\"PMCID\":null,\"EPubDate\":\"\",\"PubModel\":\"\",\"JCR\":\"Q3\",\"JCRName\":\"PUBLIC, ENVIRONMENTAL & OCCUPATIONAL HEALTH\",\"Score\":null,\"Total\":0}","platform":"Semanticscholar","paperid":null,"PeriodicalName":"Annals Of Work Exposures and Health","FirstCategoryId":"3","ListUrlMain":"https://doi.org/10.1093/annweh/wxaf042","RegionNum":4,"RegionCategory":"医学","ArticlePicture":[],"TitleCN":null,"AbstractTextCN":null,"PMCID":null,"EPubDate":"","PubModel":"","JCR":"Q3","JCRName":"PUBLIC, ENVIRONMENTAL & OCCUPATIONAL HEALTH","Score":null,"Total":0}
引用次数: 0

摘要

除了吸入和皮肤接触外,工作场所的口腔接触也与之相关,尽管这种接触途径最常被忽视。为了提高对职业性口服暴露的认识,需要系统地确定导致工作场所无意摄入的机制,包括化学品的转移和气溶胶的贡献。方法:采用PRISMA方法对5个数据库和9个机构网站进行系统的文献检索。纳入研究的信息被提取到概念矩阵中并进一步分析。结果:共筛选出175篇合适的文献。已确定的导致口腔接触的机制是化学物质的转移,例如从手到嘴,以及气溶胶的作用。转移影响参数被分类为环境、物质特异性、转移途径、表面、接触或皮肤特征。讨论:尽管到目前为止主要研究的是儿童的口腔暴露,但成人的口腔暴露机制也可能类似。虽然确定和分类了表征化学品转移的参数,但发现了命名法上的不一致,参数与转移效率之间的相关性往往仍然不清楚。结论:有害物质的转移和气溶胶的贡献被确定为口腔暴露的机制。讨论了气溶胶颗粒与口腔暴露之间的传递参数和相互作用。
本文章由计算机程序翻译,如有差异,请以英文原文为准。

Mechanisms leading to occupational oral exposure: a systematic review and meta-analysis.

Mechanisms leading to occupational oral exposure: a systematic review and meta-analysis.

Mechanisms leading to occupational oral exposure: a systematic review and meta-analysis.

Mechanisms leading to occupational oral exposure: a systematic review and meta-analysis.

Introduction: In addition to inhalation and dermal exposure, also oral exposure is relevant in the workplace, even though this exposure route is most often neglected. In order to improve the understanding of occupational oral exposure, a systematic identification of mechanisms leading to inadvertent ingestion in the workplace is needed, including the transfer of chemicals and the contribution of aerosols.

Methods: A systematic literature search was conducted according to the PRISMA method including 5 databases and 9 institutional websites. Information from the included studies was extracted in concept matrices and further analyzed.

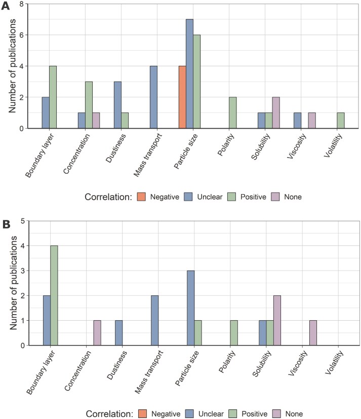
Results: Overall, 175 suitable publications were selected. Identified mechanisms leading to oral exposure were the transfer of chemicals, eg, from hands to mouth, and contributions from aerosols. Transfer influencing parameters were categorized as environmental, substance-specific, transfer pathway, surface, contact, or skin characteristics.

Discussion: Even though oral exposure was mainly investigated for children so far, similar mechanisms can lead to oral exposure in adults. Although the parameters characterizing the transfer of chemicals were identified and categorized, inconsistencies in nomenclature were identified, and correlations between parameters and transfer efficiencies often remained unclear.

Conclusions: The transfer of hazardous substances and the contribution of aerosols were identified as mechanisms of oral exposure. Transfer parameters and the interplay between particles from aerosols and oral exposure were discussed.

求助全文
通过发布文献求助,成功后即可免费获取论文全文。 去求助
来源期刊
Annals Of Work Exposures and Health
Annals Of Work Exposures and Health Medicine-Public Health, Environmental and Occupational Health
CiteScore
4.60
自引率
19.20%
发文量
79
期刊介绍: About the Journal Annals of Work Exposures and Health is dedicated to presenting advances in exposure science supporting the recognition, quantification, and control of exposures at work, and epidemiological studies on their effects on human health and well-being. A key question we apply to submission is, "Is this paper going to help readers better understand, quantify, and control conditions at work that adversely or positively affect health and well-being?" We are interested in high quality scientific research addressing: the quantification of work exposures, including chemical, biological, physical, biomechanical, and psychosocial, and the elements of work organization giving rise to such exposures; the relationship between these exposures and the acute and chronic health consequences for those exposed and their families and communities; populations at special risk of work-related exposures including women, under-represented minorities, immigrants, and other vulnerable groups such as temporary, contingent and informal sector workers; the effectiveness of interventions addressing exposure and risk including production technologies, work process engineering, and personal protective systems; policies and management approaches to reduce risk and improve health and well-being among workers, their families or communities; methodologies and mechanisms that underlie the quantification and/or control of exposure and risk. There is heavy pressure on space in the journal, and the above interests mean that we do not usually publish papers that simply report local conditions without generalizable results. We are also unlikely to publish reports on human health and well-being without information on the work exposure characteristics giving rise to the effects. We particularly welcome contributions from scientists based in, or addressing conditions in, developing economies that fall within the above scope.
×
引用
GB/T 7714-2015
复制
MLA
复制
APA
复制
导出至
BibTeX EndNote RefMan NoteFirst NoteExpress
×
提示
您的信息不完整,为了账户安全,请先补充。
现在去补充
×
提示
您因"违规操作"
具体请查看互助需知
我知道了
×
提示
确定
请完成安全验证×
copy
已复制链接
快去分享给好友吧!
我知道了
右上角分享
点击右上角分享
0
联系我们:info@booksci.cn Book学术提供免费学术资源搜索服务,方便国内外学者检索中英文文献。致力于提供最便捷和优质的服务体验。 Copyright © 2023 布克学术 All rights reserved.
京ICP备2023020795号-1
ghs 京公网安备 11010802042870号
Book学术文献互助
Book学术文献互助群
群 号:604180095
Book学术官方微信