儿童精神病理症状与青少年哮喘的前瞻性关联:来自GINIplus和LISA出生队列研究的结果

IF 4.5
Pia-Marie Keim, Ellen Greimel, Lisa Feldmann, Charlotte Elisabeth Piechaczek, Carla P Harris, Claudia Flexeder, Dietrich Berdel, Andrea von Berg, Sibylle Koletzko, Carl-Peter Bauer, Tamara Schikowski, Gunda Herberth, Joachim Heinrich, Gerd Schulte-Körne, Marie Standl
{"title":"儿童精神病理症状与青少年哮喘的前瞻性关联:来自GINIplus和LISA出生队列研究的结果","authors":"Pia-Marie Keim, Ellen Greimel, Lisa Feldmann, Charlotte Elisabeth Piechaczek, Carla P Harris, Claudia Flexeder, Dietrich Berdel, Andrea von Berg, Sibylle Koletzko, Carl-Peter Bauer, Tamara Schikowski, Gunda Herberth, Joachim Heinrich, Gerd Schulte-Körne, Marie Standl","doi":"10.1111/pai.70151","DOIUrl":null,"url":null,"abstract":"<p><strong>Background: </strong>Although there is a high co-occurrence of psychopathological symptoms and asthma, longitudinal studies considering asthma endotypes in childhood and adolescence are scarce. Therefore, this study examined the prospective association between psychopathology in childhood and current atopic and non-atopic asthma in adolescents, considering sex and puberty-related characteristics.</p><p><strong>Methods: </strong>The study includes 3584 participants (1790 females, 1794 males) from two German birth cohort studies, GINIplus and LISA. Psychopathological symptoms at age 10 (M = 10.06, SD = .22) were assessed by parent-reported Strengths and Difficulties Questionnaire (SDQ) and current asthma at age 15 (M = 15.07, SD = .30) was defined as a positive parent-reported medical diagnosis, wheezing, and/or medical treatment against asthma (at least two criteria). Atopic asthma was characterized as current asthma and a positive specific immunoglobulin E (IgE) test (≥0.35 kU/L), non-atopic asthma as current asthma without sensitization. Data were analyzed by logistic regression and multinomial regression models, controlling for potential covariates and confounders.</p><p><strong>Results: </strong>Psychopathological symptoms at age 10 were associated with asthma at age 15 (odds ratio (OR) = 1.69, 95% confidence interval (CI) = 1.04-2.92, p = .035). When examining the endotypes, this effect was replicated only for non-atopic asthma at age 15 (relative risk ratio (RRR) = 2.92, 95% CI = 1.13-7.60, p = .028), but not for atopic asthma (p = .381). Regarding the SDQ subscales, an association between peer problems at age 10 and atopic asthma at age 15 was revealed (RRR = 2.00, 95% CI 1.01-3.97, p = .048). Furthermore, significant interaction effects of puberty onset with psychopathological symptoms (p = .020), and particularly with peer problems (p = .029), were found on atopic asthma.</p><p><strong>Conclusion: </strong>The findings highlight the importance of early recognition and treatment of psychopathological symptoms to prevent and reduce development, persistence and exacerbation of asthma endotypes, and point to the necessity for further research into hormonal mechanisms linking psychopathology with atopy.</p>","PeriodicalId":520742,"journal":{"name":"Pediatric allergy and immunology : official publication of the European Society of Pediatric Allergy and Immunology","volume":"36 7","pages":"e70151"},"PeriodicalIF":4.5000,"publicationDate":"2025-07-01","publicationTypes":"Journal Article","fieldsOfStudy":null,"isOpenAccess":false,"openAccessPdf":"https://www.ncbi.nlm.nih.gov/pmc/articles/PMC12287888/pdf/","citationCount":"0","resultStr":"{\"title\":\"Prospective association between psychopathological symptoms in childhood and asthma in adolescence: Results from the GINIplus and LISA birth cohort studies.\",\"authors\":\"Pia-Marie Keim, Ellen Greimel, Lisa Feldmann, Charlotte Elisabeth Piechaczek, Carla P Harris, Claudia Flexeder, Dietrich Berdel, Andrea von Berg, Sibylle Koletzko, Carl-Peter Bauer, Tamara Schikowski, Gunda Herberth, Joachim Heinrich, Gerd Schulte-Körne, Marie Standl\",\"doi\":\"10.1111/pai.70151\",\"DOIUrl\":null,\"url\":null,\"abstract\":\"<p><strong>Background: </strong>Although there is a high co-occurrence of psychopathological symptoms and asthma, longitudinal studies considering asthma endotypes in childhood and adolescence are scarce. Therefore, this study examined the prospective association between psychopathology in childhood and current atopic and non-atopic asthma in adolescents, considering sex and puberty-related characteristics.</p><p><strong>Methods: </strong>The study includes 3584 participants (1790 females, 1794 males) from two German birth cohort studies, GINIplus and LISA. Psychopathological symptoms at age 10 (M = 10.06, SD = .22) were assessed by parent-reported Strengths and Difficulties Questionnaire (SDQ) and current asthma at age 15 (M = 15.07, SD = .30) was defined as a positive parent-reported medical diagnosis, wheezing, and/or medical treatment against asthma (at least two criteria). Atopic asthma was characterized as current asthma and a positive specific immunoglobulin E (IgE) test (≥0.35 kU/L), non-atopic asthma as current asthma without sensitization. Data were analyzed by logistic regression and multinomial regression models, controlling for potential covariates and confounders.</p><p><strong>Results: </strong>Psychopathological symptoms at age 10 were associated with asthma at age 15 (odds ratio (OR) = 1.69, 95% confidence interval (CI) = 1.04-2.92, p = .035). When examining the endotypes, this effect was replicated only for non-atopic asthma at age 15 (relative risk ratio (RRR) = 2.92, 95% CI = 1.13-7.60, p = .028), but not for atopic asthma (p = .381). Regarding the SDQ subscales, an association between peer problems at age 10 and atopic asthma at age 15 was revealed (RRR = 2.00, 95% CI 1.01-3.97, p = .048). Furthermore, significant interaction effects of puberty onset with psychopathological symptoms (p = .020), and particularly with peer problems (p = .029), were found on atopic asthma.</p><p><strong>Conclusion: </strong>The findings highlight the importance of early recognition and treatment of psychopathological symptoms to prevent and reduce development, persistence and exacerbation of asthma endotypes, and point to the necessity for further research into hormonal mechanisms linking psychopathology with atopy.</p>\",\"PeriodicalId\":520742,\"journal\":{\"name\":\"Pediatric allergy and immunology : official publication of the European Society of Pediatric Allergy and Immunology\",\"volume\":\"36 7\",\"pages\":\"e70151\"},\"PeriodicalIF\":4.5000,\"publicationDate\":\"2025-07-01\",\"publicationTypes\":\"Journal Article\",\"fieldsOfStudy\":null,\"isOpenAccess\":false,\"openAccessPdf\":\"https://www.ncbi.nlm.nih.gov/pmc/articles/PMC12287888/pdf/\",\"citationCount\":\"0\",\"resultStr\":null,\"platform\":\"Semanticscholar\",\"paperid\":null,\"PeriodicalName\":\"Pediatric allergy and immunology : official publication of the European Society of Pediatric Allergy and Immunology\",\"FirstCategoryId\":\"1085\",\"ListUrlMain\":\"https://doi.org/10.1111/pai.70151\",\"RegionNum\":0,\"RegionCategory\":null,\"ArticlePicture\":[],\"TitleCN\":null,\"AbstractTextCN\":null,\"PMCID\":null,\"EPubDate\":\"\",\"PubModel\":\"\",\"JCR\":\"\",\"JCRName\":\"\",\"Score\":null,\"Total\":0}","platform":"Semanticscholar","paperid":null,"PeriodicalName":"Pediatric allergy and immunology : official publication of the European Society of Pediatric Allergy and Immunology","FirstCategoryId":"1085","ListUrlMain":"https://doi.org/10.1111/pai.70151","RegionNum":0,"RegionCategory":null,"ArticlePicture":[],"TitleCN":null,"AbstractTextCN":null,"PMCID":null,"EPubDate":"","PubModel":"","JCR":"","JCRName":"","Score":null,"Total":0}
引用次数: 0

摘要

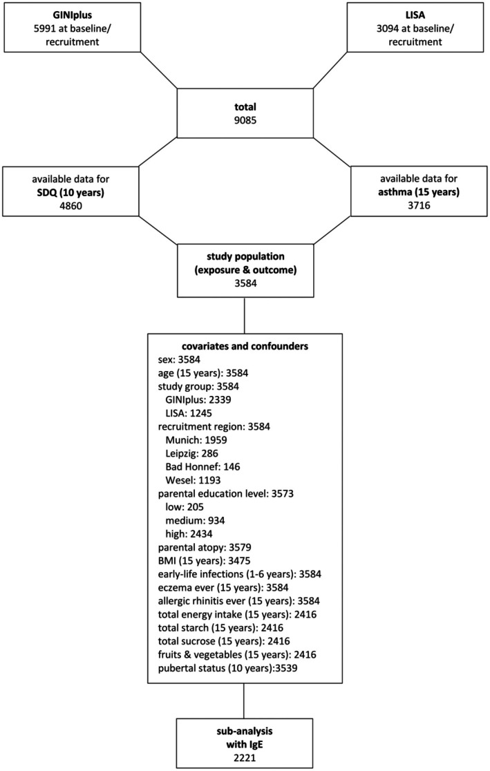
背景:虽然精神病理症状和哮喘的发生率很高,但考虑儿童和青少年哮喘内型的纵向研究很少。因此,考虑到性别和青春期相关特征,本研究考察了儿童精神病理学与当前青少年特应性和非特应性哮喘之间的前瞻性关联。方法:该研究包括3584名参与者(1790名女性,1794名男性),来自两项德国出生队列研究GINIplus和LISA。10岁时的精神病理症状(M = 10.06, SD = 0.22)通过父母报告的优势和困难问卷(SDQ)进行评估,15岁时的当前哮喘(M = 15.07, SD = 0.30)被定义为父母报告的阳性医学诊断、喘息和/或治疗哮喘(至少两个标准)。特应性哮喘以当前哮喘和特异性免疫球蛋白E (IgE)试验阳性(≥0.35 kU/L)为特征,非特应性哮喘为当前哮喘,无致敏性。数据分析采用逻辑回归和多项回归模型,控制潜在协变量和混杂因素。结果:10岁时的精神病理症状与15岁时的哮喘相关(优势比(OR) = 1.69, 95%可信区间(CI) = 1.04-2.92, p = 0.035)。当检查内窥镜类型时,这种效应仅在15岁时的非特应性哮喘中出现(相对风险比(RRR) = 2.92, 95% CI = 1.13-7.60, p = 0.028),但在特应性哮喘中没有出现(p = 0.381)。关于SDQ量表,10岁时同伴问题与15岁时特应性哮喘之间存在关联(RRR = 2.00, 95% CI 1.01-3.97, p = 0.048)。此外,在特应性哮喘中发现青春期发病与精神病理症状(p = 0.020),特别是与同伴问题(p = 0.029)的显著相互作用。结论:研究结果强调了早期识别和治疗精神病理症状对预防和减少哮喘内型的发展、持续和加重的重要性,并指出了进一步研究精神病理与特应性之间的激素机制的必要性。
本文章由计算机程序翻译,如有差异,请以英文原文为准。

Prospective association between psychopathological symptoms in childhood and asthma in adolescence: Results from the GINIplus and LISA birth cohort studies.

Prospective association between psychopathological symptoms in childhood and asthma in adolescence: Results from the GINIplus and LISA birth cohort studies.

Prospective association between psychopathological symptoms in childhood and asthma in adolescence: Results from the GINIplus and LISA birth cohort studies.

Background: Although there is a high co-occurrence of psychopathological symptoms and asthma, longitudinal studies considering asthma endotypes in childhood and adolescence are scarce. Therefore, this study examined the prospective association between psychopathology in childhood and current atopic and non-atopic asthma in adolescents, considering sex and puberty-related characteristics.

Methods: The study includes 3584 participants (1790 females, 1794 males) from two German birth cohort studies, GINIplus and LISA. Psychopathological symptoms at age 10 (M = 10.06, SD = .22) were assessed by parent-reported Strengths and Difficulties Questionnaire (SDQ) and current asthma at age 15 (M = 15.07, SD = .30) was defined as a positive parent-reported medical diagnosis, wheezing, and/or medical treatment against asthma (at least two criteria). Atopic asthma was characterized as current asthma and a positive specific immunoglobulin E (IgE) test (≥0.35 kU/L), non-atopic asthma as current asthma without sensitization. Data were analyzed by logistic regression and multinomial regression models, controlling for potential covariates and confounders.

Results: Psychopathological symptoms at age 10 were associated with asthma at age 15 (odds ratio (OR) = 1.69, 95% confidence interval (CI) = 1.04-2.92, p = .035). When examining the endotypes, this effect was replicated only for non-atopic asthma at age 15 (relative risk ratio (RRR) = 2.92, 95% CI = 1.13-7.60, p = .028), but not for atopic asthma (p = .381). Regarding the SDQ subscales, an association between peer problems at age 10 and atopic asthma at age 15 was revealed (RRR = 2.00, 95% CI 1.01-3.97, p = .048). Furthermore, significant interaction effects of puberty onset with psychopathological symptoms (p = .020), and particularly with peer problems (p = .029), were found on atopic asthma.

Conclusion: The findings highlight the importance of early recognition and treatment of psychopathological symptoms to prevent and reduce development, persistence and exacerbation of asthma endotypes, and point to the necessity for further research into hormonal mechanisms linking psychopathology with atopy.

求助全文
通过发布文献求助,成功后即可免费获取论文全文。 去求助
来源期刊
自引率
0.00%
发文量
0
×
引用
GB/T 7714-2015
复制
MLA
复制
APA
复制
导出至
BibTeX EndNote RefMan NoteFirst NoteExpress
×
提示
您的信息不完整,为了账户安全,请先补充。
现在去补充
×
提示
您因"违规操作"
具体请查看互助需知
我知道了
×
提示
确定
请完成安全验证×
copy
已复制链接
快去分享给好友吧!
我知道了
右上角分享
点击右上角分享
0
联系我们:info@booksci.cn Book学术提供免费学术资源搜索服务,方便国内外学者检索中英文文献。致力于提供最便捷和优质的服务体验。 Copyright © 2023 布克学术 All rights reserved.
京ICP备2023020795号-1
ghs 京公网安备 11010802042870号
Book学术文献互助
Book学术文献互助群
群 号:604180095
Book学术官方微信