澳大利亚和新西兰各中心透析可及性随时间的变化:中心和患者相关因素对透析可及性质量指标的影响

IF 1.9
Adam G Steinberg, Nigel D Toussaint, Christopher E Davies, Nicholas A Gray, Stephen P McDonald
{"title":"澳大利亚和新西兰各中心透析可及性随时间的变化:中心和患者相关因素对透析可及性质量指标的影响","authors":"Adam G Steinberg, Nigel D Toussaint, Christopher E Davies, Nicholas A Gray, Stephen P McDonald","doi":"10.1111/nep.70076","DOIUrl":null,"url":null,"abstract":"<p><strong>Aim: </strong>The Australian and New Zealand Society of Nephrology (ANZSN) established a quality indicator (QI) program to measure performance and reduce variation of nephrology care. This program relies on registry data from the Australia and New Zealand Dialysis and Transplant Registry (ANZDATA). ANZDATA also conducts surveys to ascertain more granular characteristics of participating nephrology units to better understand variation in practice. This study assessed ANZDATA and nephrology unit surveys to determine patient- and centre-level factors that may account for variation in dialysis access QIs.</p><p><strong>Methods: </strong>Dialysis access QIs were evaluated over a 5-year period using ANZDATA (2016-2020). Patient characteristics were derived from the same period and dataset. Centre characteristics were determined from the 2020-unit binational survey. Statistical analysis involved multivariable regression with fixed effects for patient- and centre-characteristics and a random effect by centre.</p><p><strong>Results: </strong>Wide variation was seen across dialysis access QIs. Using multivariable regression, patient-level characteristics associated with definitive dialysis access at commencement of dialysis included male gender and body mass index decreasing from 30 kg/m<sup>2</sup>. Centres with a home haemodialysis nurse and a 'peritoneal dialysis (PD) first policy' were associated with higher rates of definitive dialysis access. There was also a progressive relationship with the number of full-time equivalent (FTE) medical staff if the unit already had an FTE greater than 10. Inclusion of centre-level variables reduced the variance in the model by 68%.</p><p><strong>Conclusion: </strong>This study demonstrates certain patient- and centre-level characteristics are associated with definitive dialysis access at the commencement of dialysis in Australia and New Zealand. Interventional trials for PD first programmes and different models of care for vascular access are needed.</p>","PeriodicalId":520716,"journal":{"name":"Nephrology (Carlton, Vic.)","volume":"30 7","pages":"e70076"},"PeriodicalIF":1.9000,"publicationDate":"2025-07-01","publicationTypes":"Journal Article","fieldsOfStudy":null,"isOpenAccess":false,"openAccessPdf":"https://www.ncbi.nlm.nih.gov/pmc/articles/PMC12286771/pdf/","citationCount":"0","resultStr":"{\"title\":\"Variability in Dialysis Access Over Time and Across Centres in Australia and New Zealand: Effect of Centre- and Patient-Related Factors on Dialysis Access Quality Indicators.\",\"authors\":\"Adam G Steinberg, Nigel D Toussaint, Christopher E Davies, Nicholas A Gray, Stephen P McDonald\",\"doi\":\"10.1111/nep.70076\",\"DOIUrl\":null,\"url\":null,\"abstract\":\"<p><strong>Aim: </strong>The Australian and New Zealand Society of Nephrology (ANZSN) established a quality indicator (QI) program to measure performance and reduce variation of nephrology care. This program relies on registry data from the Australia and New Zealand Dialysis and Transplant Registry (ANZDATA). ANZDATA also conducts surveys to ascertain more granular characteristics of participating nephrology units to better understand variation in practice. This study assessed ANZDATA and nephrology unit surveys to determine patient- and centre-level factors that may account for variation in dialysis access QIs.</p><p><strong>Methods: </strong>Dialysis access QIs were evaluated over a 5-year period using ANZDATA (2016-2020). Patient characteristics were derived from the same period and dataset. Centre characteristics were determined from the 2020-unit binational survey. Statistical analysis involved multivariable regression with fixed effects for patient- and centre-characteristics and a random effect by centre.</p><p><strong>Results: </strong>Wide variation was seen across dialysis access QIs. Using multivariable regression, patient-level characteristics associated with definitive dialysis access at commencement of dialysis included male gender and body mass index decreasing from 30 kg/m<sup>2</sup>. Centres with a home haemodialysis nurse and a 'peritoneal dialysis (PD) first policy' were associated with higher rates of definitive dialysis access. There was also a progressive relationship with the number of full-time equivalent (FTE) medical staff if the unit already had an FTE greater than 10. Inclusion of centre-level variables reduced the variance in the model by 68%.</p><p><strong>Conclusion: </strong>This study demonstrates certain patient- and centre-level characteristics are associated with definitive dialysis access at the commencement of dialysis in Australia and New Zealand. Interventional trials for PD first programmes and different models of care for vascular access are needed.</p>\",\"PeriodicalId\":520716,\"journal\":{\"name\":\"Nephrology (Carlton, Vic.)\",\"volume\":\"30 7\",\"pages\":\"e70076\"},\"PeriodicalIF\":1.9000,\"publicationDate\":\"2025-07-01\",\"publicationTypes\":\"Journal Article\",\"fieldsOfStudy\":null,\"isOpenAccess\":false,\"openAccessPdf\":\"https://www.ncbi.nlm.nih.gov/pmc/articles/PMC12286771/pdf/\",\"citationCount\":\"0\",\"resultStr\":null,\"platform\":\"Semanticscholar\",\"paperid\":null,\"PeriodicalName\":\"Nephrology (Carlton, Vic.)\",\"FirstCategoryId\":\"1085\",\"ListUrlMain\":\"https://doi.org/10.1111/nep.70076\",\"RegionNum\":0,\"RegionCategory\":null,\"ArticlePicture\":[],\"TitleCN\":null,\"AbstractTextCN\":null,\"PMCID\":null,\"EPubDate\":\"\",\"PubModel\":\"\",\"JCR\":\"\",\"JCRName\":\"\",\"Score\":null,\"Total\":0}","platform":"Semanticscholar","paperid":null,"PeriodicalName":"Nephrology (Carlton, Vic.)","FirstCategoryId":"1085","ListUrlMain":"https://doi.org/10.1111/nep.70076","RegionNum":0,"RegionCategory":null,"ArticlePicture":[],"TitleCN":null,"AbstractTextCN":null,"PMCID":null,"EPubDate":"","PubModel":"","JCR":"","JCRName":"","Score":null,"Total":0}
引用次数: 0

摘要

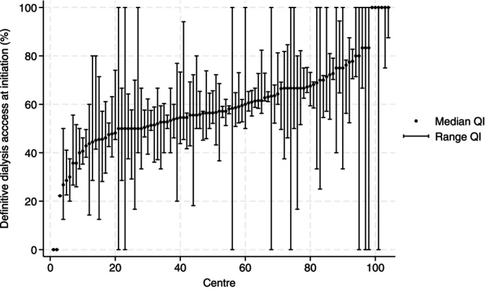
目的:澳大利亚和新西兰肾脏病学会(ANZSN)建立了一个质量指标(QI)程序来衡量肾内科护理的表现和减少变化。该计划依赖于澳大利亚和新西兰透析和移植登记处(ANZDATA)的注册数据。ANZDATA还进行调查,以确定参与肾脏病单位的更细粒度特征,以更好地了解实践中的变化。本研究评估了ANZDATA和肾脏病单位调查,以确定可能导致透析访问QIs变化的患者和中心水平因素。方法:使用ANZDATA(2016-2020)对5年期间的透析可及性qi进行评估。患者特征来源于同一时期和数据集。中心特征由2020个单位的两国调查确定。统计分析涉及多变量回归,对患者和中心特征有固定效应,对中心有随机效应。结果:透析通道QIs差异很大。使用多变量回归,在透析开始时与明确透析获取相关的患者水平特征包括男性性别和体重指数从30 kg/m2下降。有家庭血液透析护士和“腹膜透析(PD)优先政策”的中心与更高的最终透析获得率相关。如果单位的全职等效医务人员超过10人,则与该单位的全职等效医务人员人数呈递进关系。纳入中心水平变量使模型的方差减少了68%。结论:本研究表明,在澳大利亚和新西兰,某些患者和中心水平的特征与透析开始时的明确透析获取有关。PD的介入试验和血管通路的不同护理模式是必要的。
本文章由计算机程序翻译,如有差异,请以英文原文为准。

Variability in Dialysis Access Over Time and Across Centres in Australia and New Zealand: Effect of Centre- and Patient-Related Factors on Dialysis Access Quality Indicators.

Variability in Dialysis Access Over Time and Across Centres in Australia and New Zealand: Effect of Centre- and Patient-Related Factors on Dialysis Access Quality Indicators.

Variability in Dialysis Access Over Time and Across Centres in Australia and New Zealand: Effect of Centre- and Patient-Related Factors on Dialysis Access Quality Indicators.

Aim: The Australian and New Zealand Society of Nephrology (ANZSN) established a quality indicator (QI) program to measure performance and reduce variation of nephrology care. This program relies on registry data from the Australia and New Zealand Dialysis and Transplant Registry (ANZDATA). ANZDATA also conducts surveys to ascertain more granular characteristics of participating nephrology units to better understand variation in practice. This study assessed ANZDATA and nephrology unit surveys to determine patient- and centre-level factors that may account for variation in dialysis access QIs.

Methods: Dialysis access QIs were evaluated over a 5-year period using ANZDATA (2016-2020). Patient characteristics were derived from the same period and dataset. Centre characteristics were determined from the 2020-unit binational survey. Statistical analysis involved multivariable regression with fixed effects for patient- and centre-characteristics and a random effect by centre.

Results: Wide variation was seen across dialysis access QIs. Using multivariable regression, patient-level characteristics associated with definitive dialysis access at commencement of dialysis included male gender and body mass index decreasing from 30 kg/m2. Centres with a home haemodialysis nurse and a 'peritoneal dialysis (PD) first policy' were associated with higher rates of definitive dialysis access. There was also a progressive relationship with the number of full-time equivalent (FTE) medical staff if the unit already had an FTE greater than 10. Inclusion of centre-level variables reduced the variance in the model by 68%.

Conclusion: This study demonstrates certain patient- and centre-level characteristics are associated with definitive dialysis access at the commencement of dialysis in Australia and New Zealand. Interventional trials for PD first programmes and different models of care for vascular access are needed.

求助全文
通过发布文献求助,成功后即可免费获取论文全文。 去求助
来源期刊
自引率
0.00%
发文量
0
×
引用
GB/T 7714-2015
复制
MLA
复制
APA
复制
导出至
BibTeX EndNote RefMan NoteFirst NoteExpress
×
提示
您的信息不完整,为了账户安全,请先补充。
现在去补充
×
提示
您因"违规操作"
具体请查看互助需知
我知道了
×
提示
确定
请完成安全验证×
copy
已复制链接
快去分享给好友吧!
我知道了
右上角分享
点击右上角分享
0
联系我们:info@booksci.cn Book学术提供免费学术资源搜索服务,方便国内外学者检索中英文文献。致力于提供最便捷和优质的服务体验。 Copyright © 2023 布克学术 All rights reserved.
京ICP备2023020795号-1
ghs 京公网安备 11010802042870号
Book学术文献互助
Book学术文献互助群
群 号:604180095
Book学术官方微信