睡眠剥夺导致大鼠突触NMDA受体/D1多巴胺受体异复合体的分离。

IF 2 Q3 CLINICAL NEUROLOGY
NeuroSci Pub Date : 2025-07-05 DOI:10.3390/neurosci6030061
Natalia Kiknadze, Nana Narmania, Maia Sepashvili, Tamar Barbakadze, Elene Zhuravliova, Tamar Shetekauri, Nino Tkemaladze, Nikoloz Oniani, David Mikeladze
{"title":"睡眠剥夺导致大鼠突触NMDA受体/D1多巴胺受体异复合体的分离。","authors":"Natalia Kiknadze, Nana Narmania, Maia Sepashvili, Tamar Barbakadze, Elene Zhuravliova, Tamar Shetekauri, Nino Tkemaladze, Nikoloz Oniani, David Mikeladze","doi":"10.3390/neurosci6030061","DOIUrl":null,"url":null,"abstract":"<p><p>Glutamate and dopamine receptors play a crucial role in regulating synaptic plasticity throughout the sleep-wake cycle. These receptors form various heterocomplexes in synaptic areas; however, the role of this protein interactome in sleep-wake cycles remains unclear. Co-immunoprecipitation experiments were conducted to observe the complexation of the NMDA glutamate receptor (NMDAR) subunits GluN2A and GluN2B, metabotropic glutamate receptors mGluR1/5, and dopamine receptors (D1R and D2R) with the scaffold protein Homer in the synaptic membranes of the hippocampus after six hours of sleep deprivation (SD) in rats. Our findings indicate that the level of Homer in the GluN2A/mGluR1/D1R interactome decreased during SD, while the content of Homer remained unchanged in the GluN2B/mGluR1/D2R heterocomplex. Moreover, Homer immunoprecipitated a reduced amount of inositol trisphosphate receptor (IP3R) in the microsomal and synaptic fractions, confirming the dissociation of the ternary supercomplex Homer/mGluR1/IP3R during SD. Additionally, our findings indicate that SD increases the synaptic content of the AMPA receptor (AMPAR) subunit GluA1. Unlike AMPAR, NMDAR subunits in synaptic membranes do not undergo significant changes. Furthermore, the G-to-F actin ratio decreases during SD. Changes in the assembly of actin filaments occur due to the dephosphorylation of cofilin. These results suggest that SD causes the dissociation of the GluN2A/mGluR1/D1R/Homer/IP3R heterocomplex in synaptic and endoplasmic membranes.</p>","PeriodicalId":74294,"journal":{"name":"NeuroSci","volume":"6 3","pages":""},"PeriodicalIF":2.0000,"publicationDate":"2025-07-05","publicationTypes":"Journal Article","fieldsOfStudy":null,"isOpenAccess":false,"openAccessPdf":"https://www.ncbi.nlm.nih.gov/pmc/articles/PMC12286143/pdf/","citationCount":"0","resultStr":"{\"title\":\"Sleep Deprivation in Rats Causes Dissociation of the Synaptic NMDA Receptor/D1 Dopamine Receptor Heterocomplex.\",\"authors\":\"Natalia Kiknadze, Nana Narmania, Maia Sepashvili, Tamar Barbakadze, Elene Zhuravliova, Tamar Shetekauri, Nino Tkemaladze, Nikoloz Oniani, David Mikeladze\",\"doi\":\"10.3390/neurosci6030061\",\"DOIUrl\":null,\"url\":null,\"abstract\":\"<p><p>Glutamate and dopamine receptors play a crucial role in regulating synaptic plasticity throughout the sleep-wake cycle. These receptors form various heterocomplexes in synaptic areas; however, the role of this protein interactome in sleep-wake cycles remains unclear. Co-immunoprecipitation experiments were conducted to observe the complexation of the NMDA glutamate receptor (NMDAR) subunits GluN2A and GluN2B, metabotropic glutamate receptors mGluR1/5, and dopamine receptors (D1R and D2R) with the scaffold protein Homer in the synaptic membranes of the hippocampus after six hours of sleep deprivation (SD) in rats. Our findings indicate that the level of Homer in the GluN2A/mGluR1/D1R interactome decreased during SD, while the content of Homer remained unchanged in the GluN2B/mGluR1/D2R heterocomplex. Moreover, Homer immunoprecipitated a reduced amount of inositol trisphosphate receptor (IP3R) in the microsomal and synaptic fractions, confirming the dissociation of the ternary supercomplex Homer/mGluR1/IP3R during SD. Additionally, our findings indicate that SD increases the synaptic content of the AMPA receptor (AMPAR) subunit GluA1. Unlike AMPAR, NMDAR subunits in synaptic membranes do not undergo significant changes. Furthermore, the G-to-F actin ratio decreases during SD. Changes in the assembly of actin filaments occur due to the dephosphorylation of cofilin. These results suggest that SD causes the dissociation of the GluN2A/mGluR1/D1R/Homer/IP3R heterocomplex in synaptic and endoplasmic membranes.</p>\",\"PeriodicalId\":74294,\"journal\":{\"name\":\"NeuroSci\",\"volume\":\"6 3\",\"pages\":\"\"},\"PeriodicalIF\":2.0000,\"publicationDate\":\"2025-07-05\",\"publicationTypes\":\"Journal Article\",\"fieldsOfStudy\":null,\"isOpenAccess\":false,\"openAccessPdf\":\"https://www.ncbi.nlm.nih.gov/pmc/articles/PMC12286143/pdf/\",\"citationCount\":\"0\",\"resultStr\":null,\"platform\":\"Semanticscholar\",\"paperid\":null,\"PeriodicalName\":\"NeuroSci\",\"FirstCategoryId\":\"1085\",\"ListUrlMain\":\"https://doi.org/10.3390/neurosci6030061\",\"RegionNum\":0,\"RegionCategory\":null,\"ArticlePicture\":[],\"TitleCN\":null,\"AbstractTextCN\":null,\"PMCID\":null,\"EPubDate\":\"\",\"PubModel\":\"\",\"JCR\":\"Q3\",\"JCRName\":\"CLINICAL NEUROLOGY\",\"Score\":null,\"Total\":0}","platform":"Semanticscholar","paperid":null,"PeriodicalName":"NeuroSci","FirstCategoryId":"1085","ListUrlMain":"https://doi.org/10.3390/neurosci6030061","RegionNum":0,"RegionCategory":null,"ArticlePicture":[],"TitleCN":null,"AbstractTextCN":null,"PMCID":null,"EPubDate":"","PubModel":"","JCR":"Q3","JCRName":"CLINICAL NEUROLOGY","Score":null,"Total":0}
引用次数: 0

摘要

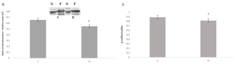
在整个睡眠-觉醒周期中,谷氨酸和多巴胺受体在调节突触可塑性方面起着至关重要的作用。这些受体在突触区形成各种异质复合物;然而,这种蛋白质相互作用组在睡眠-觉醒周期中的作用尚不清楚。采用共免疫沉淀实验,观察6小时睡眠剥夺(SD)后大鼠海马突触膜内NMDA谷氨酸受体(NMDAR)亚基GluN2A和GluN2B、代谢性谷氨酸受体mGluR1/5、多巴胺受体(D1R和D2R)与支架蛋白Homer的络合作用。我们的研究结果表明,在SD期间,GluN2A/mGluR1/D1R互作组中Homer的含量下降,而GluN2B/mGluR1/D2R杂交体中Homer的含量保持不变。此外,Homer免疫沉淀了微粒体和突触部分肌醇三磷酸受体(IP3R)的减少量,证实了在SD期间三元超复合物Homer/mGluR1/IP3R的解离。此外,我们的研究结果表明,SD增加了AMPA受体(AMPAR)亚基GluA1的突触含量。与AMPAR不同,突触膜中的NMDAR亚基不会发生显著变化。此外,SD期间G-to-F肌动蛋白比值降低。肌动蛋白丝的组装发生变化是由于cofilin的去磷酸化。这些结果表明,SD导致GluN2A/mGluR1/D1R/Homer/IP3R异复合体在突触和内质膜上的解离。
本文章由计算机程序翻译,如有差异,请以英文原文为准。

Sleep Deprivation in Rats Causes Dissociation of the Synaptic NMDA Receptor/D1 Dopamine Receptor Heterocomplex.

Sleep Deprivation in Rats Causes Dissociation of the Synaptic NMDA Receptor/D1 Dopamine Receptor Heterocomplex.

Sleep Deprivation in Rats Causes Dissociation of the Synaptic NMDA Receptor/D1 Dopamine Receptor Heterocomplex.

Sleep Deprivation in Rats Causes Dissociation of the Synaptic NMDA Receptor/D1 Dopamine Receptor Heterocomplex.

Glutamate and dopamine receptors play a crucial role in regulating synaptic plasticity throughout the sleep-wake cycle. These receptors form various heterocomplexes in synaptic areas; however, the role of this protein interactome in sleep-wake cycles remains unclear. Co-immunoprecipitation experiments were conducted to observe the complexation of the NMDA glutamate receptor (NMDAR) subunits GluN2A and GluN2B, metabotropic glutamate receptors mGluR1/5, and dopamine receptors (D1R and D2R) with the scaffold protein Homer in the synaptic membranes of the hippocampus after six hours of sleep deprivation (SD) in rats. Our findings indicate that the level of Homer in the GluN2A/mGluR1/D1R interactome decreased during SD, while the content of Homer remained unchanged in the GluN2B/mGluR1/D2R heterocomplex. Moreover, Homer immunoprecipitated a reduced amount of inositol trisphosphate receptor (IP3R) in the microsomal and synaptic fractions, confirming the dissociation of the ternary supercomplex Homer/mGluR1/IP3R during SD. Additionally, our findings indicate that SD increases the synaptic content of the AMPA receptor (AMPAR) subunit GluA1. Unlike AMPAR, NMDAR subunits in synaptic membranes do not undergo significant changes. Furthermore, the G-to-F actin ratio decreases during SD. Changes in the assembly of actin filaments occur due to the dephosphorylation of cofilin. These results suggest that SD causes the dissociation of the GluN2A/mGluR1/D1R/Homer/IP3R heterocomplex in synaptic and endoplasmic membranes.

求助全文
通过发布文献求助,成功后即可免费获取论文全文。 去求助
来源期刊
自引率
0.00%
发文量
0
审稿时长
11 weeks
×
引用
GB/T 7714-2015
复制
MLA
复制
APA
复制
导出至
BibTeX EndNote RefMan NoteFirst NoteExpress
×
提示
您的信息不完整,为了账户安全,请先补充。
现在去补充
×
提示
您因"违规操作"
具体请查看互助需知
我知道了
×
提示
确定
请完成安全验证×
copy
已复制链接
快去分享给好友吧!
我知道了
右上角分享
点击右上角分享
0
联系我们:info@booksci.cn Book学术提供免费学术资源搜索服务,方便国内外学者检索中英文文献。致力于提供最便捷和优质的服务体验。 Copyright © 2023 布克学术 All rights reserved.
京ICP备2023020795号-1
ghs 京公网安备 11010802042870号
Book学术文献互助
Book学术文献互助群
群 号:604180095
Book学术官方微信