复发缓解型多发性硬化症患者的认知表现和生活质量:一项墨西哥公立医院BICAMS和pros研究

IF 2 Q3 CLINICAL NEUROLOGY
NeuroSci Pub Date : 2025-07-19 DOI:10.3390/neurosci6030066
María Fernanda Castillo-Zuñiga, Rodolfo Manuel Roman-Guzman, Idefonso Rodríguez-Leyva
{"title":"复发缓解型多发性硬化症患者的认知表现和生活质量:一项墨西哥公立医院BICAMS和pros研究","authors":"María Fernanda Castillo-Zuñiga, Rodolfo Manuel Roman-Guzman, Idefonso Rodríguez-Leyva","doi":"10.3390/neurosci6030066","DOIUrl":null,"url":null,"abstract":"<p><strong>Background: </strong>Cognitive impairment (CI) is a common and disabling symptom in patients with relapsing-remitting multiple sclerosis (RRMS), potentially emerging at any stage, including preclinical phases. Despite its impact on quality of life, CI often goes unrecognized, as clinical follow-up typically focuses on motor and sensory symptoms. Validated tools, such as the Brief International Cognitive Assessment for Multiple Sclerosis (BICAMS) and patient-reported outcomes (PROs), should be integrated into routine evaluations beyond the Expanded Disability Status Scale (EDSS).</p><p><strong>Objective: </strong>The objective of this study was to evaluate cognitive impairment and quality of life in patients with RRMS using the BICAMS and PROs.</p><p><strong>Methods: </strong>This cross-sectional, descriptive study included patients with RRMS under follow-up at a tertiary hospital in San Luis Potosí, Mexico. Participants underwent cognitive screening with the BICAMS battery and completed the MSQoL-54 (quality of life), FSMC (fatigue), and MSIS-29 (functional impact) scales. Statistical analyses included ANOVA, the Kruskal-Wallis test, and Pearson correlations.</p><p><strong>Results: </strong>Nineteen patients were evaluated (73.7% female, mean age 36.5 ± 8.9 years). BICAMS results showed variable cognitive performance, with no significant differences across treatment groups for processing speed (<i>p</i> = 0.222), verbal memory (<i>p</i> = 0.082), or visuospatial memory (<i>p</i> = 0.311). A significant correlation was found between verbal and visuospatial memory (r = 0.668, <i>p</i> = 0.002). Total quality of life differed significantly across treatments (F = 8.007, <i>p</i> = 0.029), with a strong correlation between overall quality of life and general health perception (r = 0.793, <i>p</i> < 0.001). Fatigue and MSIS scores showed no association with treatment.</p><p><strong>Conclusions: </strong>Cognitive impairment is common in RRMS and can be detected using brief assessment tools, such as the BICAMS. Incorporating cognitive screening and PROs into clinical practice is essential to guide comprehensive management.</p>","PeriodicalId":74294,"journal":{"name":"NeuroSci","volume":"6 3","pages":""},"PeriodicalIF":2.0000,"publicationDate":"2025-07-19","publicationTypes":"Journal Article","fieldsOfStudy":null,"isOpenAccess":false,"openAccessPdf":"https://www.ncbi.nlm.nih.gov/pmc/articles/PMC12286033/pdf/","citationCount":"0","resultStr":"{\"title\":\"Cognitive Performance and Quality of Life in Relapsing-Remitting Multiple Sclerosis: A BICAMS- and PROs-Based Study in a Mexican Public Hospital.\",\"authors\":\"María Fernanda Castillo-Zuñiga, Rodolfo Manuel Roman-Guzman, Idefonso Rodríguez-Leyva\",\"doi\":\"10.3390/neurosci6030066\",\"DOIUrl\":null,\"url\":null,\"abstract\":\"<p><strong>Background: </strong>Cognitive impairment (CI) is a common and disabling symptom in patients with relapsing-remitting multiple sclerosis (RRMS), potentially emerging at any stage, including preclinical phases. Despite its impact on quality of life, CI often goes unrecognized, as clinical follow-up typically focuses on motor and sensory symptoms. Validated tools, such as the Brief International Cognitive Assessment for Multiple Sclerosis (BICAMS) and patient-reported outcomes (PROs), should be integrated into routine evaluations beyond the Expanded Disability Status Scale (EDSS).</p><p><strong>Objective: </strong>The objective of this study was to evaluate cognitive impairment and quality of life in patients with RRMS using the BICAMS and PROs.</p><p><strong>Methods: </strong>This cross-sectional, descriptive study included patients with RRMS under follow-up at a tertiary hospital in San Luis Potosí, Mexico. Participants underwent cognitive screening with the BICAMS battery and completed the MSQoL-54 (quality of life), FSMC (fatigue), and MSIS-29 (functional impact) scales. Statistical analyses included ANOVA, the Kruskal-Wallis test, and Pearson correlations.</p><p><strong>Results: </strong>Nineteen patients were evaluated (73.7% female, mean age 36.5 ± 8.9 years). BICAMS results showed variable cognitive performance, with no significant differences across treatment groups for processing speed (<i>p</i> = 0.222), verbal memory (<i>p</i> = 0.082), or visuospatial memory (<i>p</i> = 0.311). A significant correlation was found between verbal and visuospatial memory (r = 0.668, <i>p</i> = 0.002). Total quality of life differed significantly across treatments (F = 8.007, <i>p</i> = 0.029), with a strong correlation between overall quality of life and general health perception (r = 0.793, <i>p</i> < 0.001). Fatigue and MSIS scores showed no association with treatment.</p><p><strong>Conclusions: </strong>Cognitive impairment is common in RRMS and can be detected using brief assessment tools, such as the BICAMS. Incorporating cognitive screening and PROs into clinical practice is essential to guide comprehensive management.</p>\",\"PeriodicalId\":74294,\"journal\":{\"name\":\"NeuroSci\",\"volume\":\"6 3\",\"pages\":\"\"},\"PeriodicalIF\":2.0000,\"publicationDate\":\"2025-07-19\",\"publicationTypes\":\"Journal Article\",\"fieldsOfStudy\":null,\"isOpenAccess\":false,\"openAccessPdf\":\"https://www.ncbi.nlm.nih.gov/pmc/articles/PMC12286033/pdf/\",\"citationCount\":\"0\",\"resultStr\":null,\"platform\":\"Semanticscholar\",\"paperid\":null,\"PeriodicalName\":\"NeuroSci\",\"FirstCategoryId\":\"1085\",\"ListUrlMain\":\"https://doi.org/10.3390/neurosci6030066\",\"RegionNum\":0,\"RegionCategory\":null,\"ArticlePicture\":[],\"TitleCN\":null,\"AbstractTextCN\":null,\"PMCID\":null,\"EPubDate\":\"\",\"PubModel\":\"\",\"JCR\":\"Q3\",\"JCRName\":\"CLINICAL NEUROLOGY\",\"Score\":null,\"Total\":0}","platform":"Semanticscholar","paperid":null,"PeriodicalName":"NeuroSci","FirstCategoryId":"1085","ListUrlMain":"https://doi.org/10.3390/neurosci6030066","RegionNum":0,"RegionCategory":null,"ArticlePicture":[],"TitleCN":null,"AbstractTextCN":null,"PMCID":null,"EPubDate":"","PubModel":"","JCR":"Q3","JCRName":"CLINICAL NEUROLOGY","Score":null,"Total":0}
引用次数: 0

摘要

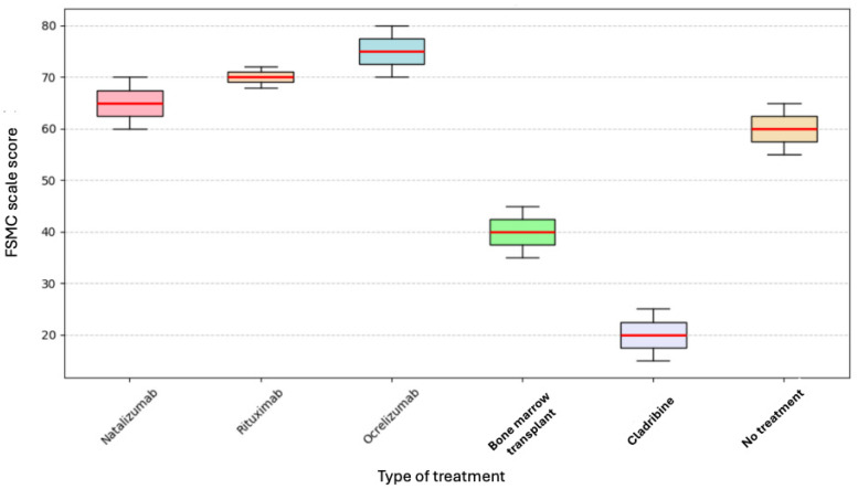
背景:认知障碍(CI)是复发-缓解型多发性硬化症(RRMS)患者常见的致残症状,可能出现在任何阶段,包括临床前阶段。尽管CI对生活质量有影响,但由于临床随访通常侧重于运动和感觉症状,因此CI往往未被发现。经过验证的工具,如国际多发性硬化症简短认知评估(BICAMS)和患者报告的结果(PROs),应该纳入常规评估,而不是扩展残疾状态量表(EDSS)。目的:本研究的目的是使用BICAMS和PROs评估RRMS患者的认知功能障碍和生活质量。方法:这项横断面描述性研究纳入了在墨西哥圣路易斯Potosí三级医院随访的RRMS患者。参与者使用BICAMS电池进行认知筛选,并完成MSQoL-54(生活质量)、FSMC(疲劳)和MSIS-29(功能影响)量表。统计分析包括方差分析、Kruskal-Wallis检验和Pearson相关性。结果:共纳入19例患者,其中女性73.7%,平均年龄(36.5±8.9岁)。BICAMS结果显示不同的认知表现,处理速度(p = 0.222)、言语记忆(p = 0.082)和视觉空间记忆(p = 0.311)在治疗组之间没有显著差异。语言记忆与视觉空间记忆之间存在显著相关(r = 0.668, p = 0.002)。不同治疗组的总体生活质量差异显著(F = 8.007, p = 0.029),总体生活质量与总体健康感知之间有很强的相关性(r = 0.793, p < 0.001)。疲劳和MSIS评分与治疗无关。结论:认知障碍在RRMS中很常见,可以通过BICAMS等简单的评估工具检测到。将认知筛查和pro纳入临床实践对指导综合管理至关重要。
本文章由计算机程序翻译,如有差异,请以英文原文为准。

Cognitive Performance and Quality of Life in Relapsing-Remitting Multiple Sclerosis: A BICAMS- and PROs-Based Study in a Mexican Public Hospital.

Cognitive Performance and Quality of Life in Relapsing-Remitting Multiple Sclerosis: A BICAMS- and PROs-Based Study in a Mexican Public Hospital.

Cognitive Performance and Quality of Life in Relapsing-Remitting Multiple Sclerosis: A BICAMS- and PROs-Based Study in a Mexican Public Hospital.

Cognitive Performance and Quality of Life in Relapsing-Remitting Multiple Sclerosis: A BICAMS- and PROs-Based Study in a Mexican Public Hospital.

Background: Cognitive impairment (CI) is a common and disabling symptom in patients with relapsing-remitting multiple sclerosis (RRMS), potentially emerging at any stage, including preclinical phases. Despite its impact on quality of life, CI often goes unrecognized, as clinical follow-up typically focuses on motor and sensory symptoms. Validated tools, such as the Brief International Cognitive Assessment for Multiple Sclerosis (BICAMS) and patient-reported outcomes (PROs), should be integrated into routine evaluations beyond the Expanded Disability Status Scale (EDSS).

Objective: The objective of this study was to evaluate cognitive impairment and quality of life in patients with RRMS using the BICAMS and PROs.

Methods: This cross-sectional, descriptive study included patients with RRMS under follow-up at a tertiary hospital in San Luis Potosí, Mexico. Participants underwent cognitive screening with the BICAMS battery and completed the MSQoL-54 (quality of life), FSMC (fatigue), and MSIS-29 (functional impact) scales. Statistical analyses included ANOVA, the Kruskal-Wallis test, and Pearson correlations.

Results: Nineteen patients were evaluated (73.7% female, mean age 36.5 ± 8.9 years). BICAMS results showed variable cognitive performance, with no significant differences across treatment groups for processing speed (p = 0.222), verbal memory (p = 0.082), or visuospatial memory (p = 0.311). A significant correlation was found between verbal and visuospatial memory (r = 0.668, p = 0.002). Total quality of life differed significantly across treatments (F = 8.007, p = 0.029), with a strong correlation between overall quality of life and general health perception (r = 0.793, p < 0.001). Fatigue and MSIS scores showed no association with treatment.

Conclusions: Cognitive impairment is common in RRMS and can be detected using brief assessment tools, such as the BICAMS. Incorporating cognitive screening and PROs into clinical practice is essential to guide comprehensive management.

求助全文
通过发布文献求助,成功后即可免费获取论文全文。 去求助
来源期刊
自引率
0.00%
发文量
0
审稿时长
11 weeks
×
引用
GB/T 7714-2015
复制
MLA
复制
APA
复制
导出至
BibTeX EndNote RefMan NoteFirst NoteExpress
×
提示
您的信息不完整,为了账户安全,请先补充。
现在去补充
×
提示
您因"违规操作"
具体请查看互助需知
我知道了
×
提示
确定
请完成安全验证×
copy
已复制链接
快去分享给好友吧!
我知道了
右上角分享
点击右上角分享
0
联系我们:info@booksci.cn Book学术提供免费学术资源搜索服务,方便国内外学者检索中英文文献。致力于提供最便捷和优质的服务体验。 Copyright © 2023 布克学术 All rights reserved.
京ICP备2023020795号-1
ghs 京公网安备 11010802042870号
Book学术文献互助
Book学术文献互助群
群 号:604180095
Book学术官方微信