老年人清醒运动行为与健康相关生活质量之间的纵向关联:一种成分数据分析方法

Jaclyn P Maher, Alexander Jochim, Yeongjun Seo, Brynn L Hudgins, Iman F Khan, Peyton A Greco, Emily M Postlethwait, Om L Patel, Krista S Leonard, Chih-Hsiang Yang, Denver M Y Brown
{"title":"老年人清醒运动行为与健康相关生活质量之间的纵向关联:一种成分数据分析方法","authors":"Jaclyn P Maher, Alexander Jochim, Yeongjun Seo, Brynn L Hudgins, Iman F Khan, Peyton A Greco, Emily M Postlethwait, Om L Patel, Krista S Leonard, Chih-Hsiang Yang, Denver M Y Brown","doi":"10.1186/s44167-025-00080-0","DOIUrl":null,"url":null,"abstract":"<p><strong>Objectives: </strong>Movement behaviors, such as sedentary behavior (SB), light intensity physical activity (LPA), and moderate to vigorous intensity physical activity (MVPA) are mutually exclusive, in that time spent in one behavior inevitably displaces time spent in another. Yet, few studies have simultaneously considered these health behaviors and their association with health-related quality of life (HRQoL), an important indicator of health and well-being in aging populations. This study aimed to explore the role of waking movement behaviors (i.e., SB, LPA, MVPA) in prospectively predicting HRQoL in older adults. The study further aimed to cross-validate associations between movement behaviors and HRQoL using two different device-based measures of behavior placed on unique body positions.</p><p><strong>Methods: </strong>Older adults wore accelerometers on the thigh (ActivPAL micro) and waist (Actigraph GT3X-BT) for 14 days to assess waking movement behaviors. Participants subsequently reported HRQoL on the 36-Item Short Form Health Survey (SF-36) six months later. Compositional linear regression and isotemporal substitution models were used to explore longitudinal relationships between movement behaviors and HRQoL.</p><p><strong>Results: </strong>The movement composition for the sample (N = 202; M<sub>age</sub> = 70 years, 72.3% female) consisted of 71-87% SB, 10-26% LPA, and about 3% MVPA depending on the device. For both devices, MVPA was positively associated with Physical Functioning, Pain, and General Health subscales. SB was negatively associated with Physical Functioning, Vitality, Emotional Well-being, and Social Functioning subscales across both devices. LPA generally was not associated with HRQoL indicators. Across both devices, reallocation of between five and 15 min of SB or LPA to MVPA was generally associated with better scores for HRQoL indicators.</p><p><strong>Conclusions: </strong>Movement compositions were for the most part prospectively associated with HRQoL indicators among older adults, which was driven by positive associations for MVPA and negative associations for SB. Findings were generally consistent across devices, however, discrepancies may be attributable to the differences in the data processing algorithms (activity counts vs. cadence based) and device placement locations. Interventions targeting age-related declines in HRQoL should prioritize promoting increased MVPA at the expense of SB to support health and well-being in old age.</p>","PeriodicalId":73581,"journal":{"name":"Journal of activity, sedentary and sleep behaviors","volume":"4 1","pages":"12"},"PeriodicalIF":0.0000,"publicationDate":"2025-07-23","publicationTypes":"Journal Article","fieldsOfStudy":null,"isOpenAccess":false,"openAccessPdf":"https://www.ncbi.nlm.nih.gov/pmc/articles/PMC12285076/pdf/","citationCount":"0","resultStr":"{\"title\":\"Longitudinal associations between waking movement behaviors and health-related quality of life in older adults: a compositional data analysis approach.\",\"authors\":\"Jaclyn P Maher, Alexander Jochim, Yeongjun Seo, Brynn L Hudgins, Iman F Khan, Peyton A Greco, Emily M Postlethwait, Om L Patel, Krista S Leonard, Chih-Hsiang Yang, Denver M Y Brown\",\"doi\":\"10.1186/s44167-025-00080-0\",\"DOIUrl\":null,\"url\":null,\"abstract\":\"<p><strong>Objectives: </strong>Movement behaviors, such as sedentary behavior (SB), light intensity physical activity (LPA), and moderate to vigorous intensity physical activity (MVPA) are mutually exclusive, in that time spent in one behavior inevitably displaces time spent in another. Yet, few studies have simultaneously considered these health behaviors and their association with health-related quality of life (HRQoL), an important indicator of health and well-being in aging populations. This study aimed to explore the role of waking movement behaviors (i.e., SB, LPA, MVPA) in prospectively predicting HRQoL in older adults. The study further aimed to cross-validate associations between movement behaviors and HRQoL using two different device-based measures of behavior placed on unique body positions.</p><p><strong>Methods: </strong>Older adults wore accelerometers on the thigh (ActivPAL micro) and waist (Actigraph GT3X-BT) for 14 days to assess waking movement behaviors. Participants subsequently reported HRQoL on the 36-Item Short Form Health Survey (SF-36) six months later. Compositional linear regression and isotemporal substitution models were used to explore longitudinal relationships between movement behaviors and HRQoL.</p><p><strong>Results: </strong>The movement composition for the sample (N = 202; M<sub>age</sub> = 70 years, 72.3% female) consisted of 71-87% SB, 10-26% LPA, and about 3% MVPA depending on the device. For both devices, MVPA was positively associated with Physical Functioning, Pain, and General Health subscales. SB was negatively associated with Physical Functioning, Vitality, Emotional Well-being, and Social Functioning subscales across both devices. LPA generally was not associated with HRQoL indicators. Across both devices, reallocation of between five and 15 min of SB or LPA to MVPA was generally associated with better scores for HRQoL indicators.</p><p><strong>Conclusions: </strong>Movement compositions were for the most part prospectively associated with HRQoL indicators among older adults, which was driven by positive associations for MVPA and negative associations for SB. Findings were generally consistent across devices, however, discrepancies may be attributable to the differences in the data processing algorithms (activity counts vs. cadence based) and device placement locations. Interventions targeting age-related declines in HRQoL should prioritize promoting increased MVPA at the expense of SB to support health and well-being in old age.</p>\",\"PeriodicalId\":73581,\"journal\":{\"name\":\"Journal of activity, sedentary and sleep behaviors\",\"volume\":\"4 1\",\"pages\":\"12\"},\"PeriodicalIF\":0.0000,\"publicationDate\":\"2025-07-23\",\"publicationTypes\":\"Journal Article\",\"fieldsOfStudy\":null,\"isOpenAccess\":false,\"openAccessPdf\":\"https://www.ncbi.nlm.nih.gov/pmc/articles/PMC12285076/pdf/\",\"citationCount\":\"0\",\"resultStr\":null,\"platform\":\"Semanticscholar\",\"paperid\":null,\"PeriodicalName\":\"Journal of activity, sedentary and sleep behaviors\",\"FirstCategoryId\":\"1085\",\"ListUrlMain\":\"https://doi.org/10.1186/s44167-025-00080-0\",\"RegionNum\":0,\"RegionCategory\":null,\"ArticlePicture\":[],\"TitleCN\":null,\"AbstractTextCN\":null,\"PMCID\":null,\"EPubDate\":\"\",\"PubModel\":\"\",\"JCR\":\"\",\"JCRName\":\"\",\"Score\":null,\"Total\":0}","platform":"Semanticscholar","paperid":null,"PeriodicalName":"Journal of activity, sedentary and sleep behaviors","FirstCategoryId":"1085","ListUrlMain":"https://doi.org/10.1186/s44167-025-00080-0","RegionNum":0,"RegionCategory":null,"ArticlePicture":[],"TitleCN":null,"AbstractTextCN":null,"PMCID":null,"EPubDate":"","PubModel":"","JCR":"","JCRName":"","Score":null,"Total":0}
引用次数: 0

摘要

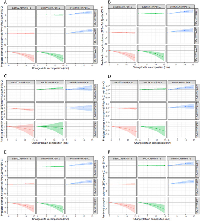
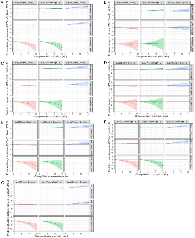
目的:运动行为,如久坐行为(SB)、轻强度身体活动(LPA)和中高强度身体活动(MVPA)是相互排斥的,因为花在一种行为上的时间不可避免地取代了花在另一种行为上的时间。然而,很少有研究同时考虑到这些健康行为及其与健康相关生活质量(HRQoL)的关系,HRQoL是老龄化人口健康和福祉的重要指标。本研究旨在探讨清醒运动行为(即SB、LPA、MVPA)在预测老年人HRQoL中的作用。该研究进一步旨在交叉验证运动行为与HRQoL之间的关联,使用两种不同的基于设备的行为测量方法放置在不同的身体位置上。方法:老年人在大腿(ActivPAL micro)和腰部(Actigraph GT3X-BT)佩戴加速度计14天,评估清醒运动行为。参与者随后在六个月后报告了36项简短健康调查(SF-36)的HRQoL。采用组合线性回归和等时间替代模型探讨运动行为与HRQoL之间的纵向关系。结果:样品(N = 202;年龄(70岁,72.3%为女性)由71-87%的SB, 10-26%的LPA和约3%的MVPA组成,视设备而定。对于这两种设备,MVPA与身体功能、疼痛和一般健康量表呈正相关。在两种设备中,SB与身体功能、活力、情绪健康和社会功能亚量表呈负相关。LPA一般与HRQoL指标无关。在两种设备中,将5 - 15分钟的SB或LPA重新分配到MVPA通常与HRQoL指标的较好评分相关。结论:在老年人中,运动组成在很大程度上与HRQoL指标相关,这是由MVPA的正相关和SB的负相关驱动的。不同设备的研究结果总体上是一致的,然而,差异可能归因于数据处理算法(活动计数与基于节奏的)和设备放置位置的差异。针对与年龄相关的HRQoL下降的干预措施应优先考虑以牺牲SB为代价促进MVPA的增加,以支持老年人的健康和福祉。
本文章由计算机程序翻译,如有差异,请以英文原文为准。

Longitudinal associations between waking movement behaviors and health-related quality of life in older adults: a compositional data analysis approach.

Longitudinal associations between waking movement behaviors and health-related quality of life in older adults: a compositional data analysis approach.

Longitudinal associations between waking movement behaviors and health-related quality of life in older adults: a compositional data analysis approach.

Longitudinal associations between waking movement behaviors and health-related quality of life in older adults: a compositional data analysis approach.

Objectives: Movement behaviors, such as sedentary behavior (SB), light intensity physical activity (LPA), and moderate to vigorous intensity physical activity (MVPA) are mutually exclusive, in that time spent in one behavior inevitably displaces time spent in another. Yet, few studies have simultaneously considered these health behaviors and their association with health-related quality of life (HRQoL), an important indicator of health and well-being in aging populations. This study aimed to explore the role of waking movement behaviors (i.e., SB, LPA, MVPA) in prospectively predicting HRQoL in older adults. The study further aimed to cross-validate associations between movement behaviors and HRQoL using two different device-based measures of behavior placed on unique body positions.

Methods: Older adults wore accelerometers on the thigh (ActivPAL micro) and waist (Actigraph GT3X-BT) for 14 days to assess waking movement behaviors. Participants subsequently reported HRQoL on the 36-Item Short Form Health Survey (SF-36) six months later. Compositional linear regression and isotemporal substitution models were used to explore longitudinal relationships between movement behaviors and HRQoL.

Results: The movement composition for the sample (N = 202; Mage = 70 years, 72.3% female) consisted of 71-87% SB, 10-26% LPA, and about 3% MVPA depending on the device. For both devices, MVPA was positively associated with Physical Functioning, Pain, and General Health subscales. SB was negatively associated with Physical Functioning, Vitality, Emotional Well-being, and Social Functioning subscales across both devices. LPA generally was not associated with HRQoL indicators. Across both devices, reallocation of between five and 15 min of SB or LPA to MVPA was generally associated with better scores for HRQoL indicators.

Conclusions: Movement compositions were for the most part prospectively associated with HRQoL indicators among older adults, which was driven by positive associations for MVPA and negative associations for SB. Findings were generally consistent across devices, however, discrepancies may be attributable to the differences in the data processing algorithms (activity counts vs. cadence based) and device placement locations. Interventions targeting age-related declines in HRQoL should prioritize promoting increased MVPA at the expense of SB to support health and well-being in old age.

求助全文
通过发布文献求助,成功后即可免费获取论文全文。 去求助
来源期刊
自引率
0.00%
发文量
0
×
引用
GB/T 7714-2015
复制
MLA
复制
APA
复制
导出至
BibTeX EndNote RefMan NoteFirst NoteExpress
×
提示
您的信息不完整,为了账户安全,请先补充。
现在去补充
×
提示
您因"违规操作"
具体请查看互助需知
我知道了
×
提示
确定
请完成安全验证×
copy
已复制链接
快去分享给好友吧!
我知道了
右上角分享
点击右上角分享
0
联系我们:info@booksci.cn Book学术提供免费学术资源搜索服务,方便国内外学者检索中英文文献。致力于提供最便捷和优质的服务体验。 Copyright © 2023 布克学术 All rights reserved.
京ICP备2023020795号-1
ghs 京公网安备 11010802042870号
Book学术文献互助
Book学术文献互助群
群 号:604180095
Book学术官方微信