一种新的可穿戴监测技术用于评估经导管主动脉瓣置换术后左室重构。

IF 4.4 Q1 CARDIAC & CARDIOVASCULAR SYSTEMS
European heart journal. Digital health Pub Date : 2025-05-20 eCollection Date: 2025-07-01 DOI:10.1093/ehjdh/ztaf050
Ran Liu, Qiang Li, Yang Li, Zhaolin Fu, Meng Xie, Xiaowei Yan, Zhinan Lu, Guangyuan Song
{"title":"一种新的可穿戴监测技术用于评估经导管主动脉瓣置换术后左室重构。","authors":"Ran Liu, Qiang Li, Yang Li, Zhaolin Fu, Meng Xie, Xiaowei Yan, Zhinan Lu, Guangyuan Song","doi":"10.1093/ehjdh/ztaf050","DOIUrl":null,"url":null,"abstract":"<p><strong>Aims: </strong>Pathological left ventricular (LV) remodelling following aortic stenosis (AS) confers high risk for heart failure and significantly decreases survival. This study aims to introduce a new wearable acoustic cardiography (ACG) device measuring electromechanical activation time (EMAT) to identify the regression of cardiac remodelling in AS patients undergoing transcatheter aortic valve replacement (TAVR).</p><p><strong>Methods and results: </strong>This prospective cohort study consecutively enrolled patients with severe symptomatic AS who underwent successful TAVR. The parameters EMAT and EMAT% (EMAT divided by R-R interval, expressed as a percentage) derived from ACG as well as echocardiography data were collected. Pearson correlation analysis was performed to evaluate the correlation between EMAT% and left ventricular mass index (LVMi). Receiver operating characteristic (ROC) curves were used to assess the diagnostic performance of EMAT% in predicting left ventricular hypertrophy (LVH). A total of 159 patients (mean age 72.0 years) were enrolled in the study. At baseline, 55% of patients demonstrated severe LV remodelling. Scatter plots and Pearson correlation analysis revealed a significant association between EMAT% and LVMi. The ROC curve analysis showed strong diagnostic performance of EMAT% in predicting LVH, with an area under the curve consistently exceeding 80% at baseline and during follow-up. Both EMAT% and echocardiographic parameters indicated that LV remodelling progressively improved between 1 and 6 months after TAVR, with stabilization observed at 12 months.</p><p><strong>Conclusion: </strong>The EMAT can be considered as an effective tool to assist in the evaluation of LV remodelling after TAVR. Further studies are required to confirm its utility as a valuable non-invasive diagnostic and monitoring tool.</p>","PeriodicalId":72965,"journal":{"name":"European heart journal. Digital health","volume":"6 4","pages":"713-722"},"PeriodicalIF":4.4000,"publicationDate":"2025-05-20","publicationTypes":"Journal Article","fieldsOfStudy":null,"isOpenAccess":false,"openAccessPdf":"https://www.ncbi.nlm.nih.gov/pmc/articles/PMC12282339/pdf/","citationCount":"0","resultStr":"{\"title\":\"A new wearable e monitoring technology for evaluation of left ventricular remodeling after transcatheter aortic valve replacement.\",\"authors\":\"Ran Liu, Qiang Li, Yang Li, Zhaolin Fu, Meng Xie, Xiaowei Yan, Zhinan Lu, Guangyuan Song\",\"doi\":\"10.1093/ehjdh/ztaf050\",\"DOIUrl\":null,\"url\":null,\"abstract\":\"<p><strong>Aims: </strong>Pathological left ventricular (LV) remodelling following aortic stenosis (AS) confers high risk for heart failure and significantly decreases survival. This study aims to introduce a new wearable acoustic cardiography (ACG) device measuring electromechanical activation time (EMAT) to identify the regression of cardiac remodelling in AS patients undergoing transcatheter aortic valve replacement (TAVR).</p><p><strong>Methods and results: </strong>This prospective cohort study consecutively enrolled patients with severe symptomatic AS who underwent successful TAVR. The parameters EMAT and EMAT% (EMAT divided by R-R interval, expressed as a percentage) derived from ACG as well as echocardiography data were collected. Pearson correlation analysis was performed to evaluate the correlation between EMAT% and left ventricular mass index (LVMi). Receiver operating characteristic (ROC) curves were used to assess the diagnostic performance of EMAT% in predicting left ventricular hypertrophy (LVH). A total of 159 patients (mean age 72.0 years) were enrolled in the study. At baseline, 55% of patients demonstrated severe LV remodelling. Scatter plots and Pearson correlation analysis revealed a significant association between EMAT% and LVMi. The ROC curve analysis showed strong diagnostic performance of EMAT% in predicting LVH, with an area under the curve consistently exceeding 80% at baseline and during follow-up. Both EMAT% and echocardiographic parameters indicated that LV remodelling progressively improved between 1 and 6 months after TAVR, with stabilization observed at 12 months.</p><p><strong>Conclusion: </strong>The EMAT can be considered as an effective tool to assist in the evaluation of LV remodelling after TAVR. Further studies are required to confirm its utility as a valuable non-invasive diagnostic and monitoring tool.</p>\",\"PeriodicalId\":72965,\"journal\":{\"name\":\"European heart journal. Digital health\",\"volume\":\"6 4\",\"pages\":\"713-722\"},\"PeriodicalIF\":4.4000,\"publicationDate\":\"2025-05-20\",\"publicationTypes\":\"Journal Article\",\"fieldsOfStudy\":null,\"isOpenAccess\":false,\"openAccessPdf\":\"https://www.ncbi.nlm.nih.gov/pmc/articles/PMC12282339/pdf/\",\"citationCount\":\"0\",\"resultStr\":null,\"platform\":\"Semanticscholar\",\"paperid\":null,\"PeriodicalName\":\"European heart journal. Digital health\",\"FirstCategoryId\":\"1085\",\"ListUrlMain\":\"https://doi.org/10.1093/ehjdh/ztaf050\",\"RegionNum\":0,\"RegionCategory\":null,\"ArticlePicture\":[],\"TitleCN\":null,\"AbstractTextCN\":null,\"PMCID\":null,\"EPubDate\":\"2025/7/1 0:00:00\",\"PubModel\":\"eCollection\",\"JCR\":\"Q1\",\"JCRName\":\"CARDIAC & CARDIOVASCULAR SYSTEMS\",\"Score\":null,\"Total\":0}","platform":"Semanticscholar","paperid":null,"PeriodicalName":"European heart journal. Digital health","FirstCategoryId":"1085","ListUrlMain":"https://doi.org/10.1093/ehjdh/ztaf050","RegionNum":0,"RegionCategory":null,"ArticlePicture":[],"TitleCN":null,"AbstractTextCN":null,"PMCID":null,"EPubDate":"2025/7/1 0:00:00","PubModel":"eCollection","JCR":"Q1","JCRName":"CARDIAC & CARDIOVASCULAR SYSTEMS","Score":null,"Total":0}
引用次数: 0

摘要

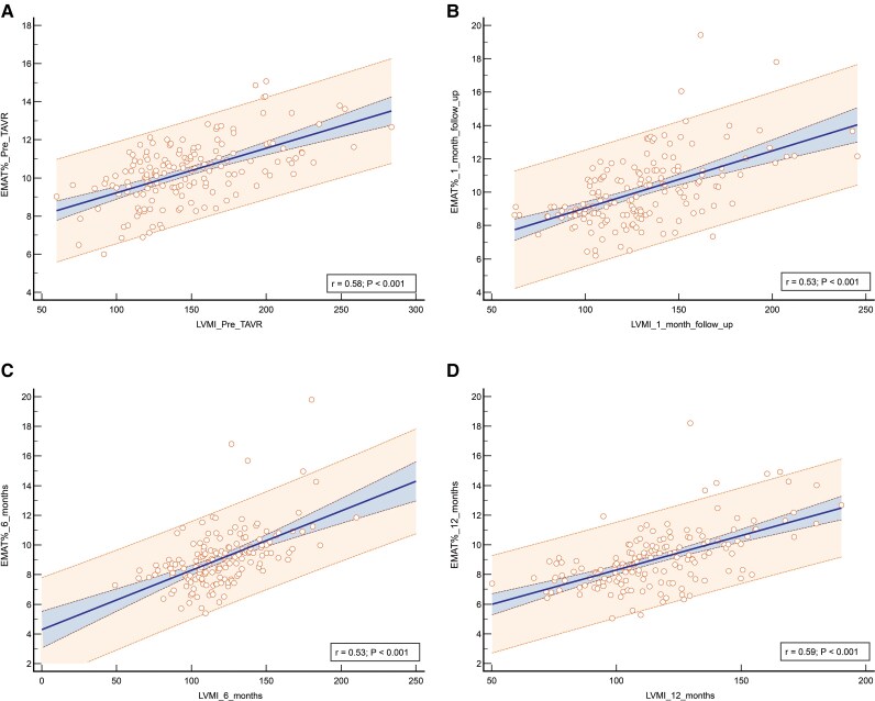
目的:主动脉瓣狭窄(AS)后的病理性左心室(LV)重构会增加心力衰竭的风险,并显著降低生存率。本研究旨在介绍一种新的可穿戴式声学心动图(ACG)装置,测量机电激活时间(EMAT),以识别经导管主动脉瓣置换术(TAVR)的AS患者心脏重构的回归。方法和结果:这项前瞻性队列研究连续招募了成功接受TAVR治疗的严重症状性AS患者。收集ACG和超声心动图数据的参数EMAT和EMAT% (EMAT除以R-R间隔,以百分比表示)。采用Pearson相关分析评价EMAT%与左室质量指数(LVMi)的相关性。采用受试者工作特征(ROC)曲线评价EMAT%对左室肥厚(LVH)的诊断价值。共有159例患者(平均年龄72.0岁)入组研究。在基线时,55%的患者表现出严重的左室重构。散点图和Pearson相关分析显示EMAT%与LVMi之间存在显著相关性。ROC曲线分析显示,EMAT%在预测LVH方面具有很强的诊断作用,在基线和随访期间,曲线下面积始终超过80%。EMAT%和超声心动图参数均显示,在TAVR后1至6个月,左室重构逐渐改善,12个月时观察到稳定。结论:EMAT可作为辅助评价TAVR术后左室重构的有效工具。需要进一步的研究来证实其作为一种有价值的非侵入性诊断和监测工具的效用。
本文章由计算机程序翻译,如有差异,请以英文原文为准。

A new wearable e monitoring technology for evaluation of left ventricular remodeling after transcatheter aortic valve replacement.

A new wearable e monitoring technology for evaluation of left ventricular remodeling after transcatheter aortic valve replacement.

A new wearable e monitoring technology for evaluation of left ventricular remodeling after transcatheter aortic valve replacement.

A new wearable e monitoring technology for evaluation of left ventricular remodeling after transcatheter aortic valve replacement.

Aims: Pathological left ventricular (LV) remodelling following aortic stenosis (AS) confers high risk for heart failure and significantly decreases survival. This study aims to introduce a new wearable acoustic cardiography (ACG) device measuring electromechanical activation time (EMAT) to identify the regression of cardiac remodelling in AS patients undergoing transcatheter aortic valve replacement (TAVR).

Methods and results: This prospective cohort study consecutively enrolled patients with severe symptomatic AS who underwent successful TAVR. The parameters EMAT and EMAT% (EMAT divided by R-R interval, expressed as a percentage) derived from ACG as well as echocardiography data were collected. Pearson correlation analysis was performed to evaluate the correlation between EMAT% and left ventricular mass index (LVMi). Receiver operating characteristic (ROC) curves were used to assess the diagnostic performance of EMAT% in predicting left ventricular hypertrophy (LVH). A total of 159 patients (mean age 72.0 years) were enrolled in the study. At baseline, 55% of patients demonstrated severe LV remodelling. Scatter plots and Pearson correlation analysis revealed a significant association between EMAT% and LVMi. The ROC curve analysis showed strong diagnostic performance of EMAT% in predicting LVH, with an area under the curve consistently exceeding 80% at baseline and during follow-up. Both EMAT% and echocardiographic parameters indicated that LV remodelling progressively improved between 1 and 6 months after TAVR, with stabilization observed at 12 months.

Conclusion: The EMAT can be considered as an effective tool to assist in the evaluation of LV remodelling after TAVR. Further studies are required to confirm its utility as a valuable non-invasive diagnostic and monitoring tool.

求助全文
通过发布文献求助,成功后即可免费获取论文全文。 去求助
来源期刊
CiteScore
5.00
自引率
0.00%
发文量
0
×
引用
GB/T 7714-2015
复制
MLA
复制
APA
复制
导出至
BibTeX EndNote RefMan NoteFirst NoteExpress
×
提示
您的信息不完整,为了账户安全,请先补充。
现在去补充
×
提示
您因"违规操作"
具体请查看互助需知
我知道了
×
提示
确定
请完成安全验证×
copy
已复制链接
快去分享给好友吧!
我知道了
右上角分享
点击右上角分享
0
联系我们:info@booksci.cn Book学术提供免费学术资源搜索服务,方便国内外学者检索中英文文献。致力于提供最便捷和优质的服务体验。 Copyright © 2023 布克学术 All rights reserved.
京ICP备2023020795号-1
ghs 京公网安备 11010802042870号
Book学术文献互助
Book学术文献互助群
群 号:604180095
Book学术官方微信