心电图解释的深层基础模型:通过迁移学习实现罕见病检测。

IF 4.4 Q1 CARDIAC & CARDIOVASCULAR SYSTEMS
European heart journal. Digital health Pub Date : 2025-05-21 eCollection Date: 2025-07-01 DOI:10.1093/ehjdh/ztaf051
Stephanie M Hu, Joshua P Barrios, Geoffrey H Tison
{"title":"心电图解释的深层基础模型:通过迁移学习实现罕见病检测。","authors":"Stephanie M Hu, Joshua P Barrios, Geoffrey H Tison","doi":"10.1093/ehjdh/ztaf051","DOIUrl":null,"url":null,"abstract":"<p><p>In healthcare, scarcity of high-quality human-adjudicated labelled data may limit the potential of deep neural networks (DNNs). Foundation models provide an efficient starting point for deep learning that can facilitate effective DNN training with fewer labelled training examples. In this study, we leveraged cardiologist-confirmed labels from a large dataset of 1.6 million electrocardiograms (ECGs) acquired as part of routine clinical care at UCSF between 1986 and 2019 to pre-train a convolutional DNN to predict 68 common ECG diagnoses. To our knowledge, this model is one of the most comprehensive ECG DNN models to date, demonstrating high performance with a median area under the receiver operating curve (AUC) of 0.978, median sensitivity of 0.937, and median specificity of 0.923. We then demonstrate the model's utility as a foundation model by additionally training (fine-tuning) the DNN to detect three novel ECG diagnoses with relatively small datasets: carcinoid syndrome, pericardial constriction, and rheumatic doming of the mitral valve. Fine-tuning training of the foundation model achieved an AUC of 0.772 (95% CI 0.723-0.816) for carcinoid syndrome, 0.883 (0.863-0.906) for pericardial constriction, and 0.826 (95% CI 0.802-0.854) for rheumatic doming, compared to 0.492 (95% CI 0.434-0.558), 0.689 (95% CI 0.656-0.720), and 0.701 (95% CI 0.657-0.745), respectively, for DNNs trained from scratch on the same small datasets. Our results demonstrate that the ECG foundation model learned a flexible representation of ECG waveforms and can improve performance of fine-tuned downstream models, particularly in data-limited settings.</p>","PeriodicalId":72965,"journal":{"name":"European heart journal. Digital health","volume":"6 4","pages":"619-623"},"PeriodicalIF":4.4000,"publicationDate":"2025-05-21","publicationTypes":"Journal Article","fieldsOfStudy":null,"isOpenAccess":false,"openAccessPdf":"https://www.ncbi.nlm.nih.gov/pmc/articles/PMC12282392/pdf/","citationCount":"0","resultStr":"{\"title\":\"A deep foundation model for electrocardiogram interpretation: enabling rare disease detection through transfer learning.\",\"authors\":\"Stephanie M Hu, Joshua P Barrios, Geoffrey H Tison\",\"doi\":\"10.1093/ehjdh/ztaf051\",\"DOIUrl\":null,\"url\":null,\"abstract\":\"<p><p>In healthcare, scarcity of high-quality human-adjudicated labelled data may limit the potential of deep neural networks (DNNs). Foundation models provide an efficient starting point for deep learning that can facilitate effective DNN training with fewer labelled training examples. In this study, we leveraged cardiologist-confirmed labels from a large dataset of 1.6 million electrocardiograms (ECGs) acquired as part of routine clinical care at UCSF between 1986 and 2019 to pre-train a convolutional DNN to predict 68 common ECG diagnoses. To our knowledge, this model is one of the most comprehensive ECG DNN models to date, demonstrating high performance with a median area under the receiver operating curve (AUC) of 0.978, median sensitivity of 0.937, and median specificity of 0.923. We then demonstrate the model's utility as a foundation model by additionally training (fine-tuning) the DNN to detect three novel ECG diagnoses with relatively small datasets: carcinoid syndrome, pericardial constriction, and rheumatic doming of the mitral valve. Fine-tuning training of the foundation model achieved an AUC of 0.772 (95% CI 0.723-0.816) for carcinoid syndrome, 0.883 (0.863-0.906) for pericardial constriction, and 0.826 (95% CI 0.802-0.854) for rheumatic doming, compared to 0.492 (95% CI 0.434-0.558), 0.689 (95% CI 0.656-0.720), and 0.701 (95% CI 0.657-0.745), respectively, for DNNs trained from scratch on the same small datasets. Our results demonstrate that the ECG foundation model learned a flexible representation of ECG waveforms and can improve performance of fine-tuned downstream models, particularly in data-limited settings.</p>\",\"PeriodicalId\":72965,\"journal\":{\"name\":\"European heart journal. Digital health\",\"volume\":\"6 4\",\"pages\":\"619-623\"},\"PeriodicalIF\":4.4000,\"publicationDate\":\"2025-05-21\",\"publicationTypes\":\"Journal Article\",\"fieldsOfStudy\":null,\"isOpenAccess\":false,\"openAccessPdf\":\"https://www.ncbi.nlm.nih.gov/pmc/articles/PMC12282392/pdf/\",\"citationCount\":\"0\",\"resultStr\":null,\"platform\":\"Semanticscholar\",\"paperid\":null,\"PeriodicalName\":\"European heart journal. Digital health\",\"FirstCategoryId\":\"1085\",\"ListUrlMain\":\"https://doi.org/10.1093/ehjdh/ztaf051\",\"RegionNum\":0,\"RegionCategory\":null,\"ArticlePicture\":[],\"TitleCN\":null,\"AbstractTextCN\":null,\"PMCID\":null,\"EPubDate\":\"2025/7/1 0:00:00\",\"PubModel\":\"eCollection\",\"JCR\":\"Q1\",\"JCRName\":\"CARDIAC & CARDIOVASCULAR SYSTEMS\",\"Score\":null,\"Total\":0}","platform":"Semanticscholar","paperid":null,"PeriodicalName":"European heart journal. Digital health","FirstCategoryId":"1085","ListUrlMain":"https://doi.org/10.1093/ehjdh/ztaf051","RegionNum":0,"RegionCategory":null,"ArticlePicture":[],"TitleCN":null,"AbstractTextCN":null,"PMCID":null,"EPubDate":"2025/7/1 0:00:00","PubModel":"eCollection","JCR":"Q1","JCRName":"CARDIAC & CARDIOVASCULAR SYSTEMS","Score":null,"Total":0}
引用次数: 0

摘要

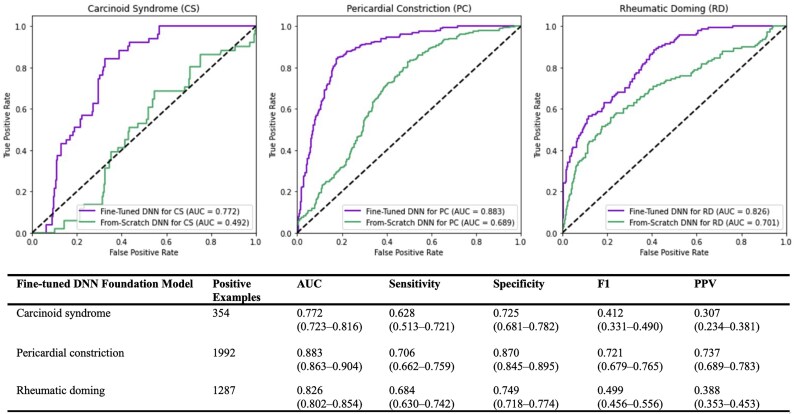
在医疗保健领域,缺乏高质量的人类裁定标记数据可能会限制深度神经网络(dnn)的潜力。基础模型为深度学习提供了一个有效的起点,可以用更少的标记训练样例促进有效的DNN训练。在这项研究中,我们利用1986年至2019年期间在加州大学旧金山分校常规临床护理中获得的160万张心电图(ECG)的大型数据集中的心脏病专家确认的标签,对卷积DNN进行预训练,以预测68种常见的ECG诊断。据我们所知,该模型是迄今为止最全面的ECG DNN模型之一,具有较高的性能,接收者工作曲线下的中位面积(AUC)为0.978,中位灵敏度为0.937,中位特异性为0.923。然后,我们通过额外训练(微调)DNN来检测三种新的ECG诊断,以相对较小的数据集来证明该模型作为基础模型的实用性:类癌综合征、心包收缩和二尖瓣风湿性圆顶。基础模型的精细调整训练对于类癌综合征的AUC为0.772 (95% CI 0.723-0.816),对于心包收缩的AUC为0.883(0.863-0.906),对于风湿性圆拱的AUC为0.826 (95% CI 0.802-0.854),而在相同的小数据集上从头开始训练的dnn分别为0.492 (95% CI 0.434-0.558)、0.689 (95% CI 0.656-0.720)和0.701 (95% CI 0.657-0.745)。我们的研究结果表明,心电基础模型学习了心电波形的灵活表示,可以提高微调下游模型的性能,特别是在数据有限的情况下。
本文章由计算机程序翻译,如有差异,请以英文原文为准。

A deep foundation model for electrocardiogram interpretation: enabling rare disease detection through transfer learning.

A deep foundation model for electrocardiogram interpretation: enabling rare disease detection through transfer learning.

A deep foundation model for electrocardiogram interpretation: enabling rare disease detection through transfer learning.

A deep foundation model for electrocardiogram interpretation: enabling rare disease detection through transfer learning.

In healthcare, scarcity of high-quality human-adjudicated labelled data may limit the potential of deep neural networks (DNNs). Foundation models provide an efficient starting point for deep learning that can facilitate effective DNN training with fewer labelled training examples. In this study, we leveraged cardiologist-confirmed labels from a large dataset of 1.6 million electrocardiograms (ECGs) acquired as part of routine clinical care at UCSF between 1986 and 2019 to pre-train a convolutional DNN to predict 68 common ECG diagnoses. To our knowledge, this model is one of the most comprehensive ECG DNN models to date, demonstrating high performance with a median area under the receiver operating curve (AUC) of 0.978, median sensitivity of 0.937, and median specificity of 0.923. We then demonstrate the model's utility as a foundation model by additionally training (fine-tuning) the DNN to detect three novel ECG diagnoses with relatively small datasets: carcinoid syndrome, pericardial constriction, and rheumatic doming of the mitral valve. Fine-tuning training of the foundation model achieved an AUC of 0.772 (95% CI 0.723-0.816) for carcinoid syndrome, 0.883 (0.863-0.906) for pericardial constriction, and 0.826 (95% CI 0.802-0.854) for rheumatic doming, compared to 0.492 (95% CI 0.434-0.558), 0.689 (95% CI 0.656-0.720), and 0.701 (95% CI 0.657-0.745), respectively, for DNNs trained from scratch on the same small datasets. Our results demonstrate that the ECG foundation model learned a flexible representation of ECG waveforms and can improve performance of fine-tuned downstream models, particularly in data-limited settings.

求助全文
通过发布文献求助,成功后即可免费获取论文全文。 去求助
来源期刊
CiteScore
5.00
自引率
0.00%
发文量
0
×
引用
GB/T 7714-2015
复制
MLA
复制
APA
复制
导出至
BibTeX EndNote RefMan NoteFirst NoteExpress
×
提示
您的信息不完整,为了账户安全,请先补充。
现在去补充
×
提示
您因"违规操作"
具体请查看互助需知
我知道了
×
提示
确定
请完成安全验证×
copy
已复制链接
快去分享给好友吧!
我知道了
右上角分享
点击右上角分享
0
联系我们:info@booksci.cn Book学术提供免费学术资源搜索服务,方便国内外学者检索中英文文献。致力于提供最便捷和优质的服务体验。 Copyright © 2023 布克学术 All rights reserved.
京ICP备2023020795号-1
ghs 京公网安备 11010802042870号
Book学术文献互助
Book学术文献互助群
群 号:604180095
Book学术官方微信