前庭功能障碍与利用三维变换矩形的新直线对分任务中的向左偏移。

IF 1.8 Q1 AUDIOLOGY & SPEECH-LANGUAGE PATHOLOGY
Teru Kamogashira, Shinnosuke Asakura, Hideaki Funayama, Kenji Ito, Noriaki Sunaga, Nao Shikanai, Fumihiko Itagaki, Toshitaka Kataoka, Shizuka Shoji, Megumi Koizumi, Shinichi Ishimoto
{"title":"前庭功能障碍与利用三维变换矩形的新直线对分任务中的向左偏移。","authors":"Teru Kamogashira, Shinnosuke Asakura, Hideaki Funayama, Kenji Ito, Noriaki Sunaga, Nao Shikanai, Fumihiko Itagaki, Toshitaka Kataoka, Shizuka Shoji, Megumi Koizumi, Shinichi Ishimoto","doi":"10.3390/audiolres15040086","DOIUrl":null,"url":null,"abstract":"<p><p><b>Background/Objectives</b>: The line bisection task (LBT) is a well-known test in which a horizontal line is presented in front of the subject and the subject is asked to draw a mark vertically bisecting the line. We developed the new LBT using three-dimensionally transformed rectangles to enhance the sense of depth and evaluated the influence of vestibular dysfunction on the deviation. <b>Methods</b>: One hundred participants were recruited from patients referred to the vertigo outpatient clinic. The average deviation in the LBT was the leftward deviation in the figures viewed from the right side and the rightward deviation in the figures viewed from the left side, indicating that the figures were perceived three-dimensionally, with the division point deviating to the far side. <b>Results</b>: In multivariate analysis of variance (MANOVA) analyses, the significant leftward deviation was observed in the group with vestibular dysfunction in caloric testing, and the significant rightward deviation dependent on increasing age was also observed. In univariate analyses, the significant leftward deviation in the figure viewed from the left side (135 degrees) was observed in the group with vestibular dysfunction in caloric testing, and the significant leftward deviation was also observed in figures viewed from the center, left or right side (0, 15 and 165 degrees) in the group with vestibular dysfunction in vHIT evaluation. <b>Conclusions</b>: Vestibular dysfunction can alter the deviation in the new LBT, suggesting the potential of the new LBT as an assessment of vestibular dysfunction.</p>","PeriodicalId":44133,"journal":{"name":"Audiology Research","volume":"15 4","pages":""},"PeriodicalIF":1.8000,"publicationDate":"2025-07-15","publicationTypes":"Journal Article","fieldsOfStudy":null,"isOpenAccess":false,"openAccessPdf":"https://www.ncbi.nlm.nih.gov/pmc/articles/PMC12286194/pdf/","citationCount":"0","resultStr":"{\"title\":\"Vestibular Dysfunction and the Leftward Deviation in the New Line Bisection Task Using Three-Dimensionally Transformed Rectangles.\",\"authors\":\"Teru Kamogashira, Shinnosuke Asakura, Hideaki Funayama, Kenji Ito, Noriaki Sunaga, Nao Shikanai, Fumihiko Itagaki, Toshitaka Kataoka, Shizuka Shoji, Megumi Koizumi, Shinichi Ishimoto\",\"doi\":\"10.3390/audiolres15040086\",\"DOIUrl\":null,\"url\":null,\"abstract\":\"<p><p><b>Background/Objectives</b>: The line bisection task (LBT) is a well-known test in which a horizontal line is presented in front of the subject and the subject is asked to draw a mark vertically bisecting the line. We developed the new LBT using three-dimensionally transformed rectangles to enhance the sense of depth and evaluated the influence of vestibular dysfunction on the deviation. <b>Methods</b>: One hundred participants were recruited from patients referred to the vertigo outpatient clinic. The average deviation in the LBT was the leftward deviation in the figures viewed from the right side and the rightward deviation in the figures viewed from the left side, indicating that the figures were perceived three-dimensionally, with the division point deviating to the far side. <b>Results</b>: In multivariate analysis of variance (MANOVA) analyses, the significant leftward deviation was observed in the group with vestibular dysfunction in caloric testing, and the significant rightward deviation dependent on increasing age was also observed. In univariate analyses, the significant leftward deviation in the figure viewed from the left side (135 degrees) was observed in the group with vestibular dysfunction in caloric testing, and the significant leftward deviation was also observed in figures viewed from the center, left or right side (0, 15 and 165 degrees) in the group with vestibular dysfunction in vHIT evaluation. <b>Conclusions</b>: Vestibular dysfunction can alter the deviation in the new LBT, suggesting the potential of the new LBT as an assessment of vestibular dysfunction.</p>\",\"PeriodicalId\":44133,\"journal\":{\"name\":\"Audiology Research\",\"volume\":\"15 4\",\"pages\":\"\"},\"PeriodicalIF\":1.8000,\"publicationDate\":\"2025-07-15\",\"publicationTypes\":\"Journal Article\",\"fieldsOfStudy\":null,\"isOpenAccess\":false,\"openAccessPdf\":\"https://www.ncbi.nlm.nih.gov/pmc/articles/PMC12286194/pdf/\",\"citationCount\":\"0\",\"resultStr\":null,\"platform\":\"Semanticscholar\",\"paperid\":null,\"PeriodicalName\":\"Audiology Research\",\"FirstCategoryId\":\"1085\",\"ListUrlMain\":\"https://doi.org/10.3390/audiolres15040086\",\"RegionNum\":0,\"RegionCategory\":null,\"ArticlePicture\":[],\"TitleCN\":null,\"AbstractTextCN\":null,\"PMCID\":null,\"EPubDate\":\"\",\"PubModel\":\"\",\"JCR\":\"Q1\",\"JCRName\":\"AUDIOLOGY & SPEECH-LANGUAGE PATHOLOGY\",\"Score\":null,\"Total\":0}","platform":"Semanticscholar","paperid":null,"PeriodicalName":"Audiology Research","FirstCategoryId":"1085","ListUrlMain":"https://doi.org/10.3390/audiolres15040086","RegionNum":0,"RegionCategory":null,"ArticlePicture":[],"TitleCN":null,"AbstractTextCN":null,"PMCID":null,"EPubDate":"","PubModel":"","JCR":"Q1","JCRName":"AUDIOLOGY & SPEECH-LANGUAGE PATHOLOGY","Score":null,"Total":0}
引用次数: 0

摘要

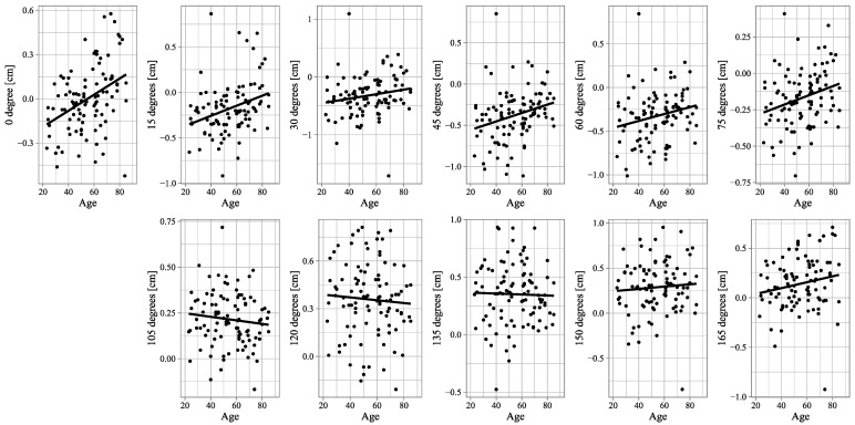
背景/目的:线平分任务(line bisection task,简称LBT)是一个著名的测试,在测试中,受试者面前有一条水平线,受试者被要求画一个垂直平分线的标记。我们开发了一种新的LBT,使用三维变换的矩形来增强深度感,并评估前庭功能障碍对偏差的影响。方法:从眩晕门诊的患者中招募100名参与者。LBT的平均偏差为右侧图像的左向偏差和左侧图像的右向偏差,表明图像是三维感知的,分割点偏向远侧。结果:在多变量方差分析(MANOVA)中,前庭功能障碍组在热量测试中出现了显著的向左偏差,并且随着年龄的增长也出现了显著的向右偏差。在单因素分析中,前庭功能障碍组在热量测试中观察到左侧(135度)的图像有显著的左偏,前庭功能障碍组在vHIT评估中从中间、左侧或右侧(0度、15度和165度)观察到的图像也有显著的左偏。结论:前庭功能障碍可以改变新LBT的偏差,提示新LBT作为评估前庭功能障碍的潜力。
本文章由计算机程序翻译,如有差异,请以英文原文为准。

Vestibular Dysfunction and the Leftward Deviation in the New Line Bisection Task Using Three-Dimensionally Transformed Rectangles.

Vestibular Dysfunction and the Leftward Deviation in the New Line Bisection Task Using Three-Dimensionally Transformed Rectangles.

Vestibular Dysfunction and the Leftward Deviation in the New Line Bisection Task Using Three-Dimensionally Transformed Rectangles.

Vestibular Dysfunction and the Leftward Deviation in the New Line Bisection Task Using Three-Dimensionally Transformed Rectangles.

Background/Objectives: The line bisection task (LBT) is a well-known test in which a horizontal line is presented in front of the subject and the subject is asked to draw a mark vertically bisecting the line. We developed the new LBT using three-dimensionally transformed rectangles to enhance the sense of depth and evaluated the influence of vestibular dysfunction on the deviation. Methods: One hundred participants were recruited from patients referred to the vertigo outpatient clinic. The average deviation in the LBT was the leftward deviation in the figures viewed from the right side and the rightward deviation in the figures viewed from the left side, indicating that the figures were perceived three-dimensionally, with the division point deviating to the far side. Results: In multivariate analysis of variance (MANOVA) analyses, the significant leftward deviation was observed in the group with vestibular dysfunction in caloric testing, and the significant rightward deviation dependent on increasing age was also observed. In univariate analyses, the significant leftward deviation in the figure viewed from the left side (135 degrees) was observed in the group with vestibular dysfunction in caloric testing, and the significant leftward deviation was also observed in figures viewed from the center, left or right side (0, 15 and 165 degrees) in the group with vestibular dysfunction in vHIT evaluation. Conclusions: Vestibular dysfunction can alter the deviation in the new LBT, suggesting the potential of the new LBT as an assessment of vestibular dysfunction.

求助全文
通过发布文献求助,成功后即可免费获取论文全文。 去求助
来源期刊
Audiology Research
Audiology Research AUDIOLOGY & SPEECH-LANGUAGE PATHOLOGY-
CiteScore
2.30
自引率
23.50%
发文量
56
审稿时长
11 weeks
期刊介绍: The mission of Audiology Research is to publish contemporary, ethical, clinically relevant scientific researches related to the basic science and clinical aspects of the auditory and vestibular system and diseases of the ear that can be used by clinicians, scientists and specialists to improve understanding and treatment of patients with audiological and neurotological disorders.
×
引用
GB/T 7714-2015
复制
MLA
复制
APA
复制
导出至
BibTeX EndNote RefMan NoteFirst NoteExpress
×
提示
您的信息不完整,为了账户安全,请先补充。
现在去补充
×
提示
您因"违规操作"
具体请查看互助需知
我知道了
×
提示
确定
请完成安全验证×
copy
已复制链接
快去分享给好友吧!
我知道了
右上角分享
点击右上角分享
0
联系我们:info@booksci.cn Book学术提供免费学术资源搜索服务,方便国内外学者检索中英文文献。致力于提供最便捷和优质的服务体验。 Copyright © 2023 布克学术 All rights reserved.
京ICP备2023020795号-1
ghs 京公网安备 11010802042870号
Book学术文献互助
Book学术文献互助群
群 号:604180095
Book学术官方微信