墨西哥索诺拉雅基社区儿童的环境砷暴露、生物标志物和肺功能

IF 4.4 Q1 TOXICOLOGY
Ana G Dévora-Figueroa, Anaid Estrada-Vargas, Jefferey L Burgess, Paloma I Beamer, José M Guillen-Rodríguez, Leticia García-Rico, Diana Evelyn Villa-Guillen, Iram Mondaca-Fernández, Maria M Meza-Montenegro
{"title":"墨西哥索诺拉雅基社区儿童的环境砷暴露、生物标志物和肺功能","authors":"Ana G Dévora-Figueroa, Anaid Estrada-Vargas, Jefferey L Burgess, Paloma I Beamer, José M Guillen-Rodríguez, Leticia García-Rico, Diana Evelyn Villa-Guillen, Iram Mondaca-Fernández, Maria M Meza-Montenegro","doi":"10.3390/jox15040115","DOIUrl":null,"url":null,"abstract":"<p><p>Arsenic exposure in children and adults has been associated with respiratory symptoms, respiratory infections, and decreased lung function. The goal of this study was to evaluate the relationship between environmental arsenic exposure and serum pneumoproteins and lung function. A cross-sectional study was conducted including 175 children exposed to arsenic by drinking water (range: 7.4 to 91 µg/L) and soil (range: 4.76 to 35.93 mg/kg), from some Yaqui villages. Arsenic was analyzed in dust and urine using field-portable X-ray fluorescence spectrometry and ICP/OES, respectively. Serum was analyzed for Clara Cell protein (CC16) and Matrix Metalloproteinase-9 (MMP-9) using immunoassays, and lung function was evaluated by spirometry. The results showed that increased arsenic in drinking water was associated with reduced forced expiratory volume in one second (FEV<sub>1</sub>)/forced vital capacity (FVC) ratio (β = -0.027, <i>p</i> = 0.0000) whereas, contrary to expectations, arsenic in dust was associated with increased FEV<sub>1</sub>/FVC (β = 0.004, <i>p</i> = 0.0076). Increased urinary arsenic was associated with reduced % predicted FEV<sub>1</sub> (β = -0.723, <i>p</i> = 0.0152) and reduced FEV<sub>1</sub>/FVC ratio (β = -0.022, <i>p</i> = 0.0222). Increased serum MMP-9 was associated with reduced FEV<sub>1</sub>/FVC ratio (β = -0.017, <i>p</i> = 0.0167). Children with % predicted FEV<sub>1</sub> values less than 80 had the lowest levels of CC16 (Median 29.0 ng/mL, IQR 21.3, 37.4, <i>p</i> = 0.0148). As a conclusion, our study evidenced an impairment in lung function in children exposed to low arsenic levels.</p>","PeriodicalId":42356,"journal":{"name":"Journal of Xenobiotics","volume":"15 4","pages":""},"PeriodicalIF":4.4000,"publicationDate":"2025-07-08","publicationTypes":"Journal Article","fieldsOfStudy":null,"isOpenAccess":false,"openAccessPdf":"https://www.ncbi.nlm.nih.gov/pmc/articles/PMC12285980/pdf/","citationCount":"0","resultStr":"{\"title\":\"Environmental Arsenic Exposure, Biomarkers and Lung Function in Children from Yaqui Communities in Sonora, Mexico.\",\"authors\":\"Ana G Dévora-Figueroa, Anaid Estrada-Vargas, Jefferey L Burgess, Paloma I Beamer, José M Guillen-Rodríguez, Leticia García-Rico, Diana Evelyn Villa-Guillen, Iram Mondaca-Fernández, Maria M Meza-Montenegro\",\"doi\":\"10.3390/jox15040115\",\"DOIUrl\":null,\"url\":null,\"abstract\":\"<p><p>Arsenic exposure in children and adults has been associated with respiratory symptoms, respiratory infections, and decreased lung function. The goal of this study was to evaluate the relationship between environmental arsenic exposure and serum pneumoproteins and lung function. A cross-sectional study was conducted including 175 children exposed to arsenic by drinking water (range: 7.4 to 91 µg/L) and soil (range: 4.76 to 35.93 mg/kg), from some Yaqui villages. Arsenic was analyzed in dust and urine using field-portable X-ray fluorescence spectrometry and ICP/OES, respectively. Serum was analyzed for Clara Cell protein (CC16) and Matrix Metalloproteinase-9 (MMP-9) using immunoassays, and lung function was evaluated by spirometry. The results showed that increased arsenic in drinking water was associated with reduced forced expiratory volume in one second (FEV<sub>1</sub>)/forced vital capacity (FVC) ratio (β = -0.027, <i>p</i> = 0.0000) whereas, contrary to expectations, arsenic in dust was associated with increased FEV<sub>1</sub>/FVC (β = 0.004, <i>p</i> = 0.0076). Increased urinary arsenic was associated with reduced % predicted FEV<sub>1</sub> (β = -0.723, <i>p</i> = 0.0152) and reduced FEV<sub>1</sub>/FVC ratio (β = -0.022, <i>p</i> = 0.0222). Increased serum MMP-9 was associated with reduced FEV<sub>1</sub>/FVC ratio (β = -0.017, <i>p</i> = 0.0167). Children with % predicted FEV<sub>1</sub> values less than 80 had the lowest levels of CC16 (Median 29.0 ng/mL, IQR 21.3, 37.4, <i>p</i> = 0.0148). As a conclusion, our study evidenced an impairment in lung function in children exposed to low arsenic levels.</p>\",\"PeriodicalId\":42356,\"journal\":{\"name\":\"Journal of Xenobiotics\",\"volume\":\"15 4\",\"pages\":\"\"},\"PeriodicalIF\":4.4000,\"publicationDate\":\"2025-07-08\",\"publicationTypes\":\"Journal Article\",\"fieldsOfStudy\":null,\"isOpenAccess\":false,\"openAccessPdf\":\"https://www.ncbi.nlm.nih.gov/pmc/articles/PMC12285980/pdf/\",\"citationCount\":\"0\",\"resultStr\":null,\"platform\":\"Semanticscholar\",\"paperid\":null,\"PeriodicalName\":\"Journal of Xenobiotics\",\"FirstCategoryId\":\"1085\",\"ListUrlMain\":\"https://doi.org/10.3390/jox15040115\",\"RegionNum\":0,\"RegionCategory\":null,\"ArticlePicture\":[],\"TitleCN\":null,\"AbstractTextCN\":null,\"PMCID\":null,\"EPubDate\":\"\",\"PubModel\":\"\",\"JCR\":\"Q1\",\"JCRName\":\"TOXICOLOGY\",\"Score\":null,\"Total\":0}","platform":"Semanticscholar","paperid":null,"PeriodicalName":"Journal of Xenobiotics","FirstCategoryId":"1085","ListUrlMain":"https://doi.org/10.3390/jox15040115","RegionNum":0,"RegionCategory":null,"ArticlePicture":[],"TitleCN":null,"AbstractTextCN":null,"PMCID":null,"EPubDate":"","PubModel":"","JCR":"Q1","JCRName":"TOXICOLOGY","Score":null,"Total":0}
引用次数: 0

摘要

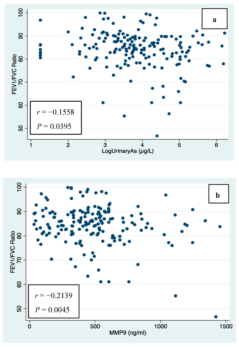
儿童和成人接触砷与呼吸道症状、呼吸道感染和肺功能下降有关。本研究的目的是评估环境砷暴露与血清肺蛋白和肺功能的关系。对来自一些雅魁村的175名儿童进行了一项横断面研究,这些儿童通过饮用水(范围:7.4至91微克/升)和土壤(范围:4.76至35.93毫克/公斤)接触砷。采用野外便携式x射线荧光光谱法和ICP/OES法分别对粉尘和尿液中的砷进行了分析。免疫法检测血清Clara细胞蛋白(CC16)和基质金属蛋白酶-9 (MMP-9),肺活量测定法检测肺功能。结果表明,饮用水中砷含量的增加与一秒钟用力呼气量(FEV1)/用力肺活量(FVC)比值的降低相关(β = -0.027, p = 0.0000),而与预期相反,粉尘中砷含量与FEV1/FVC升高相关(β = 0.004, p = 0.0076)。尿砷升高与预测FEV1 %降低(β = -0.723, p = 0.0152)和FEV1/FVC比值降低(β = -0.022, p = 0.0222)相关。血清MMP-9升高与FEV1/FVC比值降低相关(β = -0.017, p = 0.0167)。%预测FEV1值小于80的儿童CC16水平最低(中位数29.0 ng/mL, IQR 21.3, 37.4, p = 0.0148)。作为结论,我们的研究证明了暴露于低砷水平的儿童肺功能受损。
本文章由计算机程序翻译,如有差异,请以英文原文为准。

Environmental Arsenic Exposure, Biomarkers and Lung Function in Children from Yaqui Communities in Sonora, Mexico.

Environmental Arsenic Exposure, Biomarkers and Lung Function in Children from Yaqui Communities in Sonora, Mexico.

Environmental Arsenic Exposure, Biomarkers and Lung Function in Children from Yaqui Communities in Sonora, Mexico.

Arsenic exposure in children and adults has been associated with respiratory symptoms, respiratory infections, and decreased lung function. The goal of this study was to evaluate the relationship between environmental arsenic exposure and serum pneumoproteins and lung function. A cross-sectional study was conducted including 175 children exposed to arsenic by drinking water (range: 7.4 to 91 µg/L) and soil (range: 4.76 to 35.93 mg/kg), from some Yaqui villages. Arsenic was analyzed in dust and urine using field-portable X-ray fluorescence spectrometry and ICP/OES, respectively. Serum was analyzed for Clara Cell protein (CC16) and Matrix Metalloproteinase-9 (MMP-9) using immunoassays, and lung function was evaluated by spirometry. The results showed that increased arsenic in drinking water was associated with reduced forced expiratory volume in one second (FEV1)/forced vital capacity (FVC) ratio (β = -0.027, p = 0.0000) whereas, contrary to expectations, arsenic in dust was associated with increased FEV1/FVC (β = 0.004, p = 0.0076). Increased urinary arsenic was associated with reduced % predicted FEV1 (β = -0.723, p = 0.0152) and reduced FEV1/FVC ratio (β = -0.022, p = 0.0222). Increased serum MMP-9 was associated with reduced FEV1/FVC ratio (β = -0.017, p = 0.0167). Children with % predicted FEV1 values less than 80 had the lowest levels of CC16 (Median 29.0 ng/mL, IQR 21.3, 37.4, p = 0.0148). As a conclusion, our study evidenced an impairment in lung function in children exposed to low arsenic levels.

求助全文
通过发布文献求助,成功后即可免费获取论文全文。 去求助
来源期刊
CiteScore
5.30
自引率
1.70%
发文量
21
审稿时长
10 weeks
期刊介绍: The Journal of Xenobiotics publishes original studies concerning the beneficial (pharmacology) and detrimental effects (toxicology) of xenobiotics in all organisms. A xenobiotic (“stranger to life”) is defined as a chemical that is not usually found at significant concentrations or expected to reside for long periods in organisms. In addition to man-made chemicals, natural products could also be of interest if they have potent biological properties, special medicinal properties or that a given organism is at risk of exposure in the environment. Topics dealing with abiotic- and biotic-based transformations in various media (xenobiochemistry) and environmental toxicology are also of interest. Areas of interests include the identification of key physical and chemical properties of molecules that predict biological effects and persistence in the environment; the molecular mode of action of xenobiotics; biochemical and physiological interactions leading to change in organism health; pathophysiological interactions of natural and synthetic chemicals; development of biochemical indicators including new “-omics” approaches to identify biomarkers of exposure or effects for xenobiotics.
×
引用
GB/T 7714-2015
复制
MLA
复制
APA
复制
导出至
BibTeX EndNote RefMan NoteFirst NoteExpress
×
提示
您的信息不完整,为了账户安全,请先补充。
现在去补充
×
提示
您因"违规操作"
具体请查看互助需知
我知道了
×
提示
确定
请完成安全验证×
copy
已复制链接
快去分享给好友吧!
我知道了
右上角分享
点击右上角分享
0
联系我们:info@booksci.cn Book学术提供免费学术资源搜索服务,方便国内外学者检索中英文文献。致力于提供最便捷和优质的服务体验。 Copyright © 2023 布克学术 All rights reserved.
京ICP备2023020795号-1
ghs 京公网安备 11010802042870号
Book学术文献互助
Book学术文献互助群
群 号:604180095
Book学术官方微信