复发结直肠癌伴腹膜转移的二次细胞减少手术和腹腔内高温化疗后的总生存率。

IF 2.5 3区 医学 Q3 ONCOLOGY
Raymond Hayler, Celine Garrett, Jessica Guo, Shoma Barat, Mina Sarofim, Ruwanthi Wijayawardana, Nima Ahmadi, Winston Liauw, David L Morris
{"title":"复发结直肠癌伴腹膜转移的二次细胞减少手术和腹腔内高温化疗后的总生存率。","authors":"Raymond Hayler, Celine Garrett, Jessica Guo, Shoma Barat, Mina Sarofim, Ruwanthi Wijayawardana, Nima Ahmadi, Winston Liauw, David L Morris","doi":"10.1186/s12957-025-03923-x","DOIUrl":null,"url":null,"abstract":"<p><strong>Background: </strong>Colorectal cancer is the third-most common malignancy worldwide. It has the potential to develop peritoneal metastases (CRPM), which can be treated using cytoreductive surgery (CRS) and hyperthermic intraperitoneal chemotherapy (HIPEC). There is limited literature on outcomes of secondary CRS/HIPEC for CRPM recurrence.</p><p><strong>Methods: </strong>All patients with CRPM who had secondary CRS/HIPEC between 2000 and 2023 were included. Clinical information regarding histological grade, peritoneal cancer index (PCI), completion of cytoreduction (CC), other metastases and their treatments, morbidity grade and demographics including sex, age and death were collected. The outcome of interest was peri-operative morbidity measured using Clavien-Dindo classification comparing with index CRS/HIPEC and survivals (disease-free survival (DFS) and overall survival (OS)). Secondary analyses were conducted to compare concurrent treatments and variables correlated with survivals.</p><p><strong>Results: </strong>Out of 435 patients who underwent CRS/HIPEC for colorectal cancer, 65 underwent secondary CRS/HIPEC. The median PCI score at secondary CRS/HIPEC was 6 (range 0-18) compared to 8 at index CRS/HIPEC (p < 0.01), and the median CC score at secondary CRS/HIPEC was 0 (n = 59, 91%) compared to 0 (n = 65, 100%) at index CRS/HIPEC (mean 0.0 v 0.12, p = 0.02). HIPEC was given in 59/65 patients (90%). Ten patients (15%) had radio- or microwave ablation to lung/liver metastases. Significant Clavien-Dindo morbidity (≥ 3) was similar between index and secondary operation with 13 (23%) of patients and 12 (19%) respectively. Median length of stay was 17 days. Median DFS after secondary CRS/HIPEC was 10.7 months, with an OS of 31.1 months. From index CRS/HIPEC, OS was 65.2 months. There was no difference by histological grade and no difference in DFS or OS in those who had had ablation. PCI at secondary operation was negatively associated with OS (r=-0.32, p = 0.009).</p><p><strong>Conclusion: </strong>Secondary CRS/HIPEC for patients with CRC recurrence has comparable perioperative morbidity and mortality to index CRS/HIPEC, with significant disease-free and overall survival. Ablation of oligometastatic or extra-abdominal disease allows for comparable survival post-secondary CRS/HIPEC. Secondary CRS/HIPEC should be considered in selected patients.</p>","PeriodicalId":23856,"journal":{"name":"World Journal of Surgical Oncology","volume":"23 1","pages":"297"},"PeriodicalIF":2.5000,"publicationDate":"2025-07-23","publicationTypes":"Journal Article","fieldsOfStudy":null,"isOpenAccess":false,"openAccessPdf":"https://www.ncbi.nlm.nih.gov/pmc/articles/PMC12285004/pdf/","citationCount":"0","resultStr":"{\"title\":\"Overall survival post secondary cytoreductive surgery and hyperthermic intraperitoneal chemotherapy for recurrent colorectal cancer with peritoneal metastases.\",\"authors\":\"Raymond Hayler, Celine Garrett, Jessica Guo, Shoma Barat, Mina Sarofim, Ruwanthi Wijayawardana, Nima Ahmadi, Winston Liauw, David L Morris\",\"doi\":\"10.1186/s12957-025-03923-x\",\"DOIUrl\":null,\"url\":null,\"abstract\":\"<p><strong>Background: </strong>Colorectal cancer is the third-most common malignancy worldwide. It has the potential to develop peritoneal metastases (CRPM), which can be treated using cytoreductive surgery (CRS) and hyperthermic intraperitoneal chemotherapy (HIPEC). There is limited literature on outcomes of secondary CRS/HIPEC for CRPM recurrence.</p><p><strong>Methods: </strong>All patients with CRPM who had secondary CRS/HIPEC between 2000 and 2023 were included. Clinical information regarding histological grade, peritoneal cancer index (PCI), completion of cytoreduction (CC), other metastases and their treatments, morbidity grade and demographics including sex, age and death were collected. The outcome of interest was peri-operative morbidity measured using Clavien-Dindo classification comparing with index CRS/HIPEC and survivals (disease-free survival (DFS) and overall survival (OS)). Secondary analyses were conducted to compare concurrent treatments and variables correlated with survivals.</p><p><strong>Results: </strong>Out of 435 patients who underwent CRS/HIPEC for colorectal cancer, 65 underwent secondary CRS/HIPEC. The median PCI score at secondary CRS/HIPEC was 6 (range 0-18) compared to 8 at index CRS/HIPEC (p < 0.01), and the median CC score at secondary CRS/HIPEC was 0 (n = 59, 91%) compared to 0 (n = 65, 100%) at index CRS/HIPEC (mean 0.0 v 0.12, p = 0.02). HIPEC was given in 59/65 patients (90%). Ten patients (15%) had radio- or microwave ablation to lung/liver metastases. Significant Clavien-Dindo morbidity (≥ 3) was similar between index and secondary operation with 13 (23%) of patients and 12 (19%) respectively. Median length of stay was 17 days. Median DFS after secondary CRS/HIPEC was 10.7 months, with an OS of 31.1 months. From index CRS/HIPEC, OS was 65.2 months. There was no difference by histological grade and no difference in DFS or OS in those who had had ablation. PCI at secondary operation was negatively associated with OS (r=-0.32, p = 0.009).</p><p><strong>Conclusion: </strong>Secondary CRS/HIPEC for patients with CRC recurrence has comparable perioperative morbidity and mortality to index CRS/HIPEC, with significant disease-free and overall survival. Ablation of oligometastatic or extra-abdominal disease allows for comparable survival post-secondary CRS/HIPEC. Secondary CRS/HIPEC should be considered in selected patients.</p>\",\"PeriodicalId\":23856,\"journal\":{\"name\":\"World Journal of Surgical Oncology\",\"volume\":\"23 1\",\"pages\":\"297\"},\"PeriodicalIF\":2.5000,\"publicationDate\":\"2025-07-23\",\"publicationTypes\":\"Journal Article\",\"fieldsOfStudy\":null,\"isOpenAccess\":false,\"openAccessPdf\":\"https://www.ncbi.nlm.nih.gov/pmc/articles/PMC12285004/pdf/\",\"citationCount\":\"0\",\"resultStr\":null,\"platform\":\"Semanticscholar\",\"paperid\":null,\"PeriodicalName\":\"World Journal of Surgical Oncology\",\"FirstCategoryId\":\"3\",\"ListUrlMain\":\"https://doi.org/10.1186/s12957-025-03923-x\",\"RegionNum\":3,\"RegionCategory\":\"医学\",\"ArticlePicture\":[],\"TitleCN\":null,\"AbstractTextCN\":null,\"PMCID\":null,\"EPubDate\":\"\",\"PubModel\":\"\",\"JCR\":\"Q3\",\"JCRName\":\"ONCOLOGY\",\"Score\":null,\"Total\":0}","platform":"Semanticscholar","paperid":null,"PeriodicalName":"World Journal of Surgical Oncology","FirstCategoryId":"3","ListUrlMain":"https://doi.org/10.1186/s12957-025-03923-x","RegionNum":3,"RegionCategory":"医学","ArticlePicture":[],"TitleCN":null,"AbstractTextCN":null,"PMCID":null,"EPubDate":"","PubModel":"","JCR":"Q3","JCRName":"ONCOLOGY","Score":null,"Total":0}
引用次数: 0

摘要

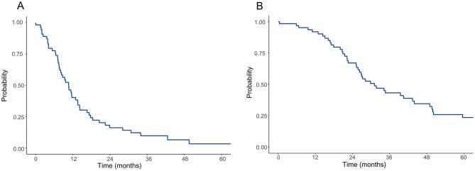
背景:结直肠癌是全球第三大最常见的恶性肿瘤。它有可能发展为腹膜转移(CRPM),可以使用细胞减少手术(CRS)和腹腔内高温化疗(HIPEC)进行治疗。关于CRS/HIPEC对CRPM复发的影响的文献有限。方法:纳入2000 - 2023年间所有伴有继发性CRS/HIPEC的CRPM患者。收集有关组织学分级、腹膜癌指数(PCI)、细胞减少完成度(CC)、其他转移及其治疗、发病率分级和人口统计学(包括性别、年龄和死亡)的临床信息。关注的结果是使用Clavien-Dindo分类测量围手术期发病率,与CRS/HIPEC指数和生存率(无病生存期(DFS)和总生存期(OS))进行比较。二次分析比较同期处理和与存活率相关的变量。结果:在435例接受CRS/HIPEC的结直肠癌患者中,65例接受了继发性CRS/HIPEC。继发性CRS/HIPEC的PCI评分中位数为6分(范围0-18分),而CRS/HIPEC指数为8分(p结论:CRC复发患者的继发性CRS/HIPEC围手术期发病率和死亡率与CRS/HIPEC指数相当,无病生存率和总生存率显著。少转移性或腹外疾病的消融使得继发性CRS/HIPEC后的生存期相当。在选定的患者中应考虑继发性CRS/HIPEC。
本文章由计算机程序翻译,如有差异,请以英文原文为准。

Overall survival post secondary cytoreductive surgery and hyperthermic intraperitoneal chemotherapy for recurrent colorectal cancer with peritoneal metastases.

Overall survival post secondary cytoreductive surgery and hyperthermic intraperitoneal chemotherapy for recurrent colorectal cancer with peritoneal metastases.

Overall survival post secondary cytoreductive surgery and hyperthermic intraperitoneal chemotherapy for recurrent colorectal cancer with peritoneal metastases.

Overall survival post secondary cytoreductive surgery and hyperthermic intraperitoneal chemotherapy for recurrent colorectal cancer with peritoneal metastases.

Background: Colorectal cancer is the third-most common malignancy worldwide. It has the potential to develop peritoneal metastases (CRPM), which can be treated using cytoreductive surgery (CRS) and hyperthermic intraperitoneal chemotherapy (HIPEC). There is limited literature on outcomes of secondary CRS/HIPEC for CRPM recurrence.

Methods: All patients with CRPM who had secondary CRS/HIPEC between 2000 and 2023 were included. Clinical information regarding histological grade, peritoneal cancer index (PCI), completion of cytoreduction (CC), other metastases and their treatments, morbidity grade and demographics including sex, age and death were collected. The outcome of interest was peri-operative morbidity measured using Clavien-Dindo classification comparing with index CRS/HIPEC and survivals (disease-free survival (DFS) and overall survival (OS)). Secondary analyses were conducted to compare concurrent treatments and variables correlated with survivals.

Results: Out of 435 patients who underwent CRS/HIPEC for colorectal cancer, 65 underwent secondary CRS/HIPEC. The median PCI score at secondary CRS/HIPEC was 6 (range 0-18) compared to 8 at index CRS/HIPEC (p < 0.01), and the median CC score at secondary CRS/HIPEC was 0 (n = 59, 91%) compared to 0 (n = 65, 100%) at index CRS/HIPEC (mean 0.0 v 0.12, p = 0.02). HIPEC was given in 59/65 patients (90%). Ten patients (15%) had radio- or microwave ablation to lung/liver metastases. Significant Clavien-Dindo morbidity (≥ 3) was similar between index and secondary operation with 13 (23%) of patients and 12 (19%) respectively. Median length of stay was 17 days. Median DFS after secondary CRS/HIPEC was 10.7 months, with an OS of 31.1 months. From index CRS/HIPEC, OS was 65.2 months. There was no difference by histological grade and no difference in DFS or OS in those who had had ablation. PCI at secondary operation was negatively associated with OS (r=-0.32, p = 0.009).

Conclusion: Secondary CRS/HIPEC for patients with CRC recurrence has comparable perioperative morbidity and mortality to index CRS/HIPEC, with significant disease-free and overall survival. Ablation of oligometastatic or extra-abdominal disease allows for comparable survival post-secondary CRS/HIPEC. Secondary CRS/HIPEC should be considered in selected patients.

求助全文
通过发布文献求助,成功后即可免费获取论文全文。 去求助
来源期刊
CiteScore
4.70
自引率
15.60%
发文量
362
审稿时长
3 months
期刊介绍: World Journal of Surgical Oncology publishes articles related to surgical oncology and its allied subjects, such as epidemiology, cancer research, biomarkers, prevention, pathology, radiology, cancer treatment, clinical trials, multimodality treatment and molecular biology. Emphasis is placed on original research articles. The journal also publishes significant clinical case reports, as well as balanced and timely reviews on selected topics. Oncology is a multidisciplinary super-speciality of which surgical oncology forms an integral component, especially with solid tumors. Surgical oncologists around the world are involved in research extending from detecting the mechanisms underlying the causation of cancer, to its treatment and prevention. The role of a surgical oncologist extends across the whole continuum of care. With continued developments in diagnosis and treatment, the role of a surgical oncologist is ever-changing. Hence, World Journal of Surgical Oncology aims to keep readers abreast with latest developments that will ultimately influence the work of surgical oncologists.
×
引用
GB/T 7714-2015
复制
MLA
复制
APA
复制
导出至
BibTeX EndNote RefMan NoteFirst NoteExpress
×
提示
您的信息不完整,为了账户安全,请先补充。
现在去补充
×
提示
您因"违规操作"
具体请查看互助需知
我知道了
×
提示
确定
请完成安全验证×
copy
已复制链接
快去分享给好友吧!
我知道了
右上角分享
点击右上角分享
0
联系我们:info@booksci.cn Book学术提供免费学术资源搜索服务,方便国内外学者检索中英文文献。致力于提供最便捷和优质的服务体验。 Copyright © 2023 布克学术 All rights reserved.
京ICP备2023020795号-1
ghs 京公网安备 11010802042870号
Book学术文献互助
Book学术文献互助群
群 号:604180095
Book学术官方微信