猪繁殖与呼吸综合征病毒(PRRSV)三种变异株的传染性评价。

IF 3.5 1区 农林科学 Q1 VETERINARY SCIENCES
Claudio Marcello Melini, Mariana Kikuti, Montserrat Torremorell, Kimberly VanderWaal, Stephanie Rossow, Jerry Torrison, Cesar A Corzo
{"title":"猪繁殖与呼吸综合征病毒(PRRSV)三种变异株的传染性评价。","authors":"Claudio Marcello Melini, Mariana Kikuti, Montserrat Torremorell, Kimberly VanderWaal, Stephanie Rossow, Jerry Torrison, Cesar A Corzo","doi":"10.1186/s13567-025-01591-z","DOIUrl":null,"url":null,"abstract":"<p><p>Porcine reproductive and respiratory syndrome virus (PRRSV) continues to burden the US swine industry significantly. In some instances, the virus evaded biosecurity measures, remaining viable in sufficient concentrations to cause an outbreak. Little is known about differences in infectivity among viral variants. In this study, we compared the infectivity of three PRRSV variants by estimating the median infectious dose (ID<sub>50</sub>) and minimum infectious dose (MID), while also characterizing nasal and rectal shedding patterns and histologic lesions. Groups of six individually housed pigs were intranasally inoculated with 2 mL of five different concentrations (10<sup>0</sup> to 10<sup>4</sup> TCID<sub>50</sub>/mL) of inoculum per variant. Blood, rectal, and nasal swabs were collected at different time points up to 28 days post-inoculation (dpi) and tested via RT-PCR. Two animals per group were euthanized on 11 dpi and tissue samples were assessed by histopathology. The estimated ID<sub>50</sub> based on serum RT-PCR positive pigs at 4 dpi was 10<sup>2.6</sup> TCID<sub>50</sub>/mL (95% CI 10<sup>2.0</sup>, 10<sup>3.2</sup>) for the L9A variant, 10<sup>2.3</sup> TCID<sub>50</sub>/mL (95% CI 10<sup>1.6</sup>, 10<sup>3.0</sup>) for the L1A variant, and 10<sup>1.3</sup> TCID<sub>50</sub>/mL (95% CI 10<sup>0.4</sup>, 10<sup>2.2</sup>) for variant L1C.5. No apparent differences were observed in shedding patterns among tested groups. However, the amount of lesions caused by variant L1C.5 was more extensive compared to those infected with the other two variants. Based on our findings, the L1C.5. variant required fewer infectious units to infect half of the inoculated pigs and resulted in more microscopic lesions confirming that PRRSV variants exhibit different levels of infectivity, virulence, and pathogenicity.</p>","PeriodicalId":23658,"journal":{"name":"Veterinary Research","volume":"56 1","pages":"158"},"PeriodicalIF":3.5000,"publicationDate":"2025-07-23","publicationTypes":"Journal Article","fieldsOfStudy":null,"isOpenAccess":false,"openAccessPdf":"https://www.ncbi.nlm.nih.gov/pmc/articles/PMC12288355/pdf/","citationCount":"0","resultStr":"{\"title\":\"Evaluation of the infectivity of three porcine reproductive and respiratory syndrome virus (PRRSV) variants.\",\"authors\":\"Claudio Marcello Melini, Mariana Kikuti, Montserrat Torremorell, Kimberly VanderWaal, Stephanie Rossow, Jerry Torrison, Cesar A Corzo\",\"doi\":\"10.1186/s13567-025-01591-z\",\"DOIUrl\":null,\"url\":null,\"abstract\":\"<p><p>Porcine reproductive and respiratory syndrome virus (PRRSV) continues to burden the US swine industry significantly. In some instances, the virus evaded biosecurity measures, remaining viable in sufficient concentrations to cause an outbreak. Little is known about differences in infectivity among viral variants. In this study, we compared the infectivity of three PRRSV variants by estimating the median infectious dose (ID<sub>50</sub>) and minimum infectious dose (MID), while also characterizing nasal and rectal shedding patterns and histologic lesions. Groups of six individually housed pigs were intranasally inoculated with 2 mL of five different concentrations (10<sup>0</sup> to 10<sup>4</sup> TCID<sub>50</sub>/mL) of inoculum per variant. Blood, rectal, and nasal swabs were collected at different time points up to 28 days post-inoculation (dpi) and tested via RT-PCR. Two animals per group were euthanized on 11 dpi and tissue samples were assessed by histopathology. The estimated ID<sub>50</sub> based on serum RT-PCR positive pigs at 4 dpi was 10<sup>2.6</sup> TCID<sub>50</sub>/mL (95% CI 10<sup>2.0</sup>, 10<sup>3.2</sup>) for the L9A variant, 10<sup>2.3</sup> TCID<sub>50</sub>/mL (95% CI 10<sup>1.6</sup>, 10<sup>3.0</sup>) for the L1A variant, and 10<sup>1.3</sup> TCID<sub>50</sub>/mL (95% CI 10<sup>0.4</sup>, 10<sup>2.2</sup>) for variant L1C.5. No apparent differences were observed in shedding patterns among tested groups. However, the amount of lesions caused by variant L1C.5 was more extensive compared to those infected with the other two variants. Based on our findings, the L1C.5. variant required fewer infectious units to infect half of the inoculated pigs and resulted in more microscopic lesions confirming that PRRSV variants exhibit different levels of infectivity, virulence, and pathogenicity.</p>\",\"PeriodicalId\":23658,\"journal\":{\"name\":\"Veterinary Research\",\"volume\":\"56 1\",\"pages\":\"158\"},\"PeriodicalIF\":3.5000,\"publicationDate\":\"2025-07-23\",\"publicationTypes\":\"Journal Article\",\"fieldsOfStudy\":null,\"isOpenAccess\":false,\"openAccessPdf\":\"https://www.ncbi.nlm.nih.gov/pmc/articles/PMC12288355/pdf/\",\"citationCount\":\"0\",\"resultStr\":null,\"platform\":\"Semanticscholar\",\"paperid\":null,\"PeriodicalName\":\"Veterinary Research\",\"FirstCategoryId\":\"97\",\"ListUrlMain\":\"https://doi.org/10.1186/s13567-025-01591-z\",\"RegionNum\":1,\"RegionCategory\":\"农林科学\",\"ArticlePicture\":[],\"TitleCN\":null,\"AbstractTextCN\":null,\"PMCID\":null,\"EPubDate\":\"\",\"PubModel\":\"\",\"JCR\":\"Q1\",\"JCRName\":\"VETERINARY SCIENCES\",\"Score\":null,\"Total\":0}","platform":"Semanticscholar","paperid":null,"PeriodicalName":"Veterinary Research","FirstCategoryId":"97","ListUrlMain":"https://doi.org/10.1186/s13567-025-01591-z","RegionNum":1,"RegionCategory":"农林科学","ArticlePicture":[],"TitleCN":null,"AbstractTextCN":null,"PMCID":null,"EPubDate":"","PubModel":"","JCR":"Q1","JCRName":"VETERINARY SCIENCES","Score":null,"Total":0}
引用次数: 0

摘要

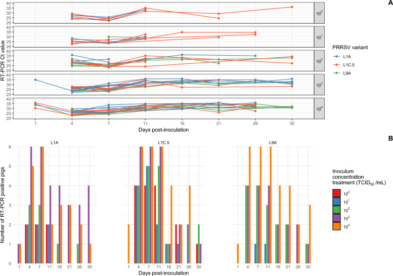
猪繁殖与呼吸综合征病毒(PRRSV)继续给美国养猪业造成严重负担。在某些情况下,病毒避开了生物安全措施,以足够的浓度存活,导致疫情爆发。人们对病毒变体之间传染性的差异知之甚少。在这项研究中,我们通过估计中位感染剂量(ID50)和最小感染剂量(MID)来比较三种PRRSV变体的传染性,同时也表征了鼻腔和直肠的脱落模式和组织学病变。每组6头单独饲养的猪鼻内接种5种不同浓度(100至104 TCID50/mL)的2 mL接种物。在接种后28天的不同时间点采集血液、直肠和鼻腔拭子,并通过RT-PCR进行检测。每组2只动物于11 dpi实施安乐死,并对组织标本进行组织病理学评估。根据血清RT-PCR阳性猪在4 dpi时的估计ID50, L9A变异为102.6 TCID50/mL (95% CI 102.0, 103.2), L1A变异为102.3 TCID50/mL (95% CI 101.6, 103.0), L1C.5变异为101.3 TCID50/mL (95% CI 100.4, 102.2)。各组之间的脱落模式无明显差异。然而,变异L1C引起的病变数量。与感染其他两种变体的人相比,5型病毒的传播范围更广。根据我们的发现,L1C.5。变种需要更少的感染单位来感染一半的接种猪,并导致更多的显微镜下病变,证实PRRSV变种表现出不同程度的传染性、毒力和致病性。
本文章由计算机程序翻译,如有差异,请以英文原文为准。

Evaluation of the infectivity of three porcine reproductive and respiratory syndrome virus (PRRSV) variants.

Evaluation of the infectivity of three porcine reproductive and respiratory syndrome virus (PRRSV) variants.

Evaluation of the infectivity of three porcine reproductive and respiratory syndrome virus (PRRSV) variants.

Evaluation of the infectivity of three porcine reproductive and respiratory syndrome virus (PRRSV) variants.

Porcine reproductive and respiratory syndrome virus (PRRSV) continues to burden the US swine industry significantly. In some instances, the virus evaded biosecurity measures, remaining viable in sufficient concentrations to cause an outbreak. Little is known about differences in infectivity among viral variants. In this study, we compared the infectivity of three PRRSV variants by estimating the median infectious dose (ID50) and minimum infectious dose (MID), while also characterizing nasal and rectal shedding patterns and histologic lesions. Groups of six individually housed pigs were intranasally inoculated with 2 mL of five different concentrations (100 to 104 TCID50/mL) of inoculum per variant. Blood, rectal, and nasal swabs were collected at different time points up to 28 days post-inoculation (dpi) and tested via RT-PCR. Two animals per group were euthanized on 11 dpi and tissue samples were assessed by histopathology. The estimated ID50 based on serum RT-PCR positive pigs at 4 dpi was 102.6 TCID50/mL (95% CI 102.0, 103.2) for the L9A variant, 102.3 TCID50/mL (95% CI 101.6, 103.0) for the L1A variant, and 101.3 TCID50/mL (95% CI 100.4, 102.2) for variant L1C.5. No apparent differences were observed in shedding patterns among tested groups. However, the amount of lesions caused by variant L1C.5 was more extensive compared to those infected with the other two variants. Based on our findings, the L1C.5. variant required fewer infectious units to infect half of the inoculated pigs and resulted in more microscopic lesions confirming that PRRSV variants exhibit different levels of infectivity, virulence, and pathogenicity.

求助全文
通过发布文献求助,成功后即可免费获取论文全文。 去求助
来源期刊
Veterinary Research
Veterinary Research 农林科学-兽医学
CiteScore
7.00
自引率
4.50%
发文量
92
审稿时长
3 months
期刊介绍: Veterinary Research is an open access journal that publishes high quality and novel research and review articles focusing on all aspects of infectious diseases and host-pathogen interaction in animals.
×
引用
GB/T 7714-2015
复制
MLA
复制
APA
复制
导出至
BibTeX EndNote RefMan NoteFirst NoteExpress
×
提示
您的信息不完整,为了账户安全,请先补充。
现在去补充
×
提示
您因"违规操作"
具体请查看互助需知
我知道了
×
提示
确定
请完成安全验证×
copy
已复制链接
快去分享给好友吧!
我知道了
右上角分享
点击右上角分享
0
联系我们:info@booksci.cn Book学术提供免费学术资源搜索服务,方便国内外学者检索中英文文献。致力于提供最便捷和优质的服务体验。 Copyright © 2023 布克学术 All rights reserved.
京ICP备2023020795号-1
ghs 京公网安备 11010802042870号
Book学术文献互助
Book学术文献互助群
群 号:604180095
Book学术官方微信