血清可替宁与4-15岁儿童学习障碍之间的关系:来自NHANES数据集的辅助数据分析

IF 1.9 4区 医学 Q2 PUBLIC, ENVIRONMENTAL & OCCUPATIONAL HEALTH
Tobacco Induced Diseases Pub Date : 2025-07-23 eCollection Date: 2025-01-01 DOI:10.18332/tid/205840
Baomei He, Shengli Hu, Jingjing Jin, Yuanyuan Dai
{"title":"血清可替宁与4-15岁儿童学习障碍之间的关系:来自NHANES数据集的辅助数据分析","authors":"Baomei He, Shengli Hu, Jingjing Jin, Yuanyuan Dai","doi":"10.18332/tid/205840","DOIUrl":null,"url":null,"abstract":"<p><strong>Introduction: </strong>While prior studies suggest links between secondhand smoke (SHS) exposure and developmental impairment, evidence linking objective biomarkers of SHS exposure to learning disability (LD) in children remains limited. This study investigates the association between serum cotinine - a validated biomarker of SHS exposure - and the higher likelihood of LD in US children.</p><p><strong>Methods: </strong>This secondary analysis utilized cross-sectional data from the National Health and Nutrition Examination Survey (NHANES) 1999-2002, including 2573 children aged 4-15 years. Multivariable logistic regression models were implemented to evaluate the association between serum cotinine and parent-reported LD diagnoses. The dose-dependent relationship between cotinine and LD was analyzed using smooth curve fitting. Subgroup analyses were evaluated to assess robustness.</p><p><strong>Results: </strong>Multivariable logistic regression analysis revealed that each unit increase in log-transformed cotinine was associated with a 1.81-fold increase in the odds of LD (AOR=1.81; 95% CI: 1.21-2.70, p<0.01). Children in the highest cotinine quartile exhibited 2.38-fold higher odds of LD compared to those in the lowest quartile (AOR=2.38; 95% CI: 1.23-4.58, p=0.01). Dose-response analysis revealed a linear relationship between log cotinine and LD (p for nonlinearity=0.20). Subgroup analyses further confirmed the stability of these results (p for interaction >0.05).</p><p><strong>Conclusions: </strong>The findings indicate a significant association between serum cotinine and an increased likelihood of LD in US children. The dose-dependent and linear nature of this relationship advocate for stricter smoke-free policies and targeted educational campaigns to reduce potential neurodevelopmental harms in children.</p>","PeriodicalId":23202,"journal":{"name":"Tobacco Induced Diseases","volume":"23 ","pages":""},"PeriodicalIF":1.9000,"publicationDate":"2025-07-23","publicationTypes":"Journal Article","fieldsOfStudy":null,"isOpenAccess":false,"openAccessPdf":"https://www.ncbi.nlm.nih.gov/pmc/articles/PMC12285650/pdf/","citationCount":"0","resultStr":"{\"title\":\"Association between serum cotinine and learning disability in children aged 4-15 years: A secondary data analysis from the NHANES dataset.\",\"authors\":\"Baomei He, Shengli Hu, Jingjing Jin, Yuanyuan Dai\",\"doi\":\"10.18332/tid/205840\",\"DOIUrl\":null,\"url\":null,\"abstract\":\"<p><strong>Introduction: </strong>While prior studies suggest links between secondhand smoke (SHS) exposure and developmental impairment, evidence linking objective biomarkers of SHS exposure to learning disability (LD) in children remains limited. This study investigates the association between serum cotinine - a validated biomarker of SHS exposure - and the higher likelihood of LD in US children.</p><p><strong>Methods: </strong>This secondary analysis utilized cross-sectional data from the National Health and Nutrition Examination Survey (NHANES) 1999-2002, including 2573 children aged 4-15 years. Multivariable logistic regression models were implemented to evaluate the association between serum cotinine and parent-reported LD diagnoses. The dose-dependent relationship between cotinine and LD was analyzed using smooth curve fitting. Subgroup analyses were evaluated to assess robustness.</p><p><strong>Results: </strong>Multivariable logistic regression analysis revealed that each unit increase in log-transformed cotinine was associated with a 1.81-fold increase in the odds of LD (AOR=1.81; 95% CI: 1.21-2.70, p<0.01). Children in the highest cotinine quartile exhibited 2.38-fold higher odds of LD compared to those in the lowest quartile (AOR=2.38; 95% CI: 1.23-4.58, p=0.01). Dose-response analysis revealed a linear relationship between log cotinine and LD (p for nonlinearity=0.20). Subgroup analyses further confirmed the stability of these results (p for interaction >0.05).</p><p><strong>Conclusions: </strong>The findings indicate a significant association between serum cotinine and an increased likelihood of LD in US children. The dose-dependent and linear nature of this relationship advocate for stricter smoke-free policies and targeted educational campaigns to reduce potential neurodevelopmental harms in children.</p>\",\"PeriodicalId\":23202,\"journal\":{\"name\":\"Tobacco Induced Diseases\",\"volume\":\"23 \",\"pages\":\"\"},\"PeriodicalIF\":1.9000,\"publicationDate\":\"2025-07-23\",\"publicationTypes\":\"Journal Article\",\"fieldsOfStudy\":null,\"isOpenAccess\":false,\"openAccessPdf\":\"https://www.ncbi.nlm.nih.gov/pmc/articles/PMC12285650/pdf/\",\"citationCount\":\"0\",\"resultStr\":null,\"platform\":\"Semanticscholar\",\"paperid\":null,\"PeriodicalName\":\"Tobacco Induced Diseases\",\"FirstCategoryId\":\"3\",\"ListUrlMain\":\"https://doi.org/10.18332/tid/205840\",\"RegionNum\":4,\"RegionCategory\":\"医学\",\"ArticlePicture\":[],\"TitleCN\":null,\"AbstractTextCN\":null,\"PMCID\":null,\"EPubDate\":\"2025/1/1 0:00:00\",\"PubModel\":\"eCollection\",\"JCR\":\"Q2\",\"JCRName\":\"PUBLIC, ENVIRONMENTAL & OCCUPATIONAL HEALTH\",\"Score\":null,\"Total\":0}","platform":"Semanticscholar","paperid":null,"PeriodicalName":"Tobacco Induced Diseases","FirstCategoryId":"3","ListUrlMain":"https://doi.org/10.18332/tid/205840","RegionNum":4,"RegionCategory":"医学","ArticlePicture":[],"TitleCN":null,"AbstractTextCN":null,"PMCID":null,"EPubDate":"2025/1/1 0:00:00","PubModel":"eCollection","JCR":"Q2","JCRName":"PUBLIC, ENVIRONMENTAL & OCCUPATIONAL HEALTH","Score":null,"Total":0}
引用次数: 0

摘要

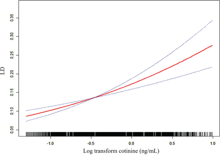
虽然先前的研究表明二手烟(SHS)暴露与发育障碍之间存在联系,但将二手烟暴露与儿童学习障碍(LD)的客观生物标志物联系起来的证据仍然有限。这项研究调查了血清可替宁(一种有效的SHS暴露的生物标志物)与美国儿童较高的LD可能性之间的关系。方法:本二次分析利用1999-2002年国家健康和营养检查调查(NHANES)的横断面数据,包括2573名4-15岁的儿童。采用多变量logistic回归模型评估血清可替宁与父母报告的LD诊断之间的关系。采用光滑曲线拟合分析了可替宁与LD之间的剂量依赖关系。对亚组分析进行评估以评估稳健性。结果:多变量logistic回归分析显示,对数转换可替宁每增加一个单位,LD的几率增加1.81倍(AOR=1.81;95% CI: 1.21-2.70, p0.05)。结论:研究结果表明血清可替宁与美国儿童LD可能性增加之间存在显著关联。这种关系的剂量依赖性和线性性提倡更严格的无烟政策和有针对性的教育活动,以减少对儿童神经发育的潜在危害。
本文章由计算机程序翻译,如有差异,请以英文原文为准。

Association between serum cotinine and learning disability in children aged 4-15 years: A secondary data analysis from the NHANES dataset.

Association between serum cotinine and learning disability in children aged 4-15 years: A secondary data analysis from the NHANES dataset.

Association between serum cotinine and learning disability in children aged 4-15 years: A secondary data analysis from the NHANES dataset.

Introduction: While prior studies suggest links between secondhand smoke (SHS) exposure and developmental impairment, evidence linking objective biomarkers of SHS exposure to learning disability (LD) in children remains limited. This study investigates the association between serum cotinine - a validated biomarker of SHS exposure - and the higher likelihood of LD in US children.

Methods: This secondary analysis utilized cross-sectional data from the National Health and Nutrition Examination Survey (NHANES) 1999-2002, including 2573 children aged 4-15 years. Multivariable logistic regression models were implemented to evaluate the association between serum cotinine and parent-reported LD diagnoses. The dose-dependent relationship between cotinine and LD was analyzed using smooth curve fitting. Subgroup analyses were evaluated to assess robustness.

Results: Multivariable logistic regression analysis revealed that each unit increase in log-transformed cotinine was associated with a 1.81-fold increase in the odds of LD (AOR=1.81; 95% CI: 1.21-2.70, p<0.01). Children in the highest cotinine quartile exhibited 2.38-fold higher odds of LD compared to those in the lowest quartile (AOR=2.38; 95% CI: 1.23-4.58, p=0.01). Dose-response analysis revealed a linear relationship between log cotinine and LD (p for nonlinearity=0.20). Subgroup analyses further confirmed the stability of these results (p for interaction >0.05).

Conclusions: The findings indicate a significant association between serum cotinine and an increased likelihood of LD in US children. The dose-dependent and linear nature of this relationship advocate for stricter smoke-free policies and targeted educational campaigns to reduce potential neurodevelopmental harms in children.

求助全文
通过发布文献求助,成功后即可免费获取论文全文。 去求助
来源期刊
Tobacco Induced Diseases
Tobacco Induced Diseases SUBSTANCE ABUSE-PUBLIC, ENVIRONMENTAL & OCCUPATIONAL HEALTH
CiteScore
5.30
自引率
5.40%
发文量
95
审稿时长
12 weeks
期刊介绍: Tobacco Induced Diseases encompasses all aspects of research related to the prevention and control of tobacco use at a global level. Preventing diseases attributable to tobacco is only one aspect of the journal, whose overall scope is to provide a forum for the publication of research articles that can contribute to reducing the burden of tobacco induced diseases globally. To address this epidemic we believe that there must be an avenue for the publication of research/policy activities on tobacco control initiatives that may be very important at a regional and national level. This approach provides a very important "hands on" service to the tobacco control community at a global scale - as common problems have common solutions. Hence, we see ourselves as "connectors" within this global community. The journal hence encourages the submission of articles from all medical, biological and psychosocial disciplines, ranging from medical and dental clinicians, through health professionals to basic biomedical and clinical scientists.
×
引用
GB/T 7714-2015
复制
MLA
复制
APA
复制
导出至
BibTeX EndNote RefMan NoteFirst NoteExpress
×
提示
您的信息不完整,为了账户安全,请先补充。
现在去补充
×
提示
您因"违规操作"
具体请查看互助需知
我知道了
×
提示
确定
请完成安全验证×
copy
已复制链接
快去分享给好友吧!
我知道了
右上角分享
点击右上角分享
0
联系我们:info@booksci.cn Book学术提供免费学术资源搜索服务,方便国内外学者检索中英文文献。致力于提供最便捷和优质的服务体验。 Copyright © 2023 布克学术 All rights reserved.
京ICP备2023020795号-1
ghs 京公网安备 11010802042870号
Book学术文献互助
Book学术文献互助群
群 号:604180095
Book学术官方微信