使用独立于bmi的基于生物标志物的前列腺癌风险评分来识别和分类前列腺疾病风险个体。

IF 3.9 2区 综合性期刊 Q1 MULTIDISCIPLINARY SCIENCES
Joanne Watt, Allister Irvine, Mary Jo Kurth, Laura Mooney, Gary Smyth, Hardev Pandha, John Lamont, Peter Fitzgerald, Le Roy Dowey, Mark W Ruddock
{"title":"使用独立于bmi的基于生物标志物的前列腺癌风险评分来识别和分类前列腺疾病风险个体。","authors":"Joanne Watt, Allister Irvine, Mary Jo Kurth, Laura Mooney, Gary Smyth, Hardev Pandha, John Lamont, Peter Fitzgerald, Le Roy Dowey, Mark W Ruddock","doi":"10.1038/s41598-025-13036-w","DOIUrl":null,"url":null,"abstract":"<p><p>Prostate cancer (PCa) is the second most common cause of cancer related deaths in men in the UK. A national screening programme for PCa does not exist due to the unsuitability of the total prostate specific antigen (tPSA) test which is not specific for PCa and has a high false positive rate. Serum tPSA was measured in n = 25,356 male Randox Health clients. A biomarker-based (tPSA, EGF, MCP-1, IL-8) prostate cancer risk score (PCRS) was then applied to a retrospective cohort (n = 1,142/25,356) of individuals to assess PCa risk. A comparative analysis between tPSA and PCRS indicated that 90.5% of the cohort were assigned low risk of PCa. Of those with an elevated PCRS, 67.8% (78/115) had a normal tPSA value based on tPSA age-adjusted cut-offs. In addition, we observed a significant negative correlation between increasing body mass index (BMI) in men with high BMI (≥ 30) and tPSA levels. No correlation was observed between BMI and PCRS. The tPSA test is potentially unsuitable for use in males with BMI ≥ 30. Use of PCRS could provide more accurate PCa risk stratification for males with BMI ≥ 30. Future assessment of the clinical utility of PCRS is warranted.</p>","PeriodicalId":21811,"journal":{"name":"Scientific Reports","volume":"15 1","pages":"26864"},"PeriodicalIF":3.9000,"publicationDate":"2025-07-24","publicationTypes":"Journal Article","fieldsOfStudy":null,"isOpenAccess":false,"openAccessPdf":"https://www.ncbi.nlm.nih.gov/pmc/articles/PMC12287467/pdf/","citationCount":"0","resultStr":"{\"title\":\"Use of a BMI-independent biomarker-based prostate cancer risk score to identify and triage individuals at risk of prostate disease.\",\"authors\":\"Joanne Watt, Allister Irvine, Mary Jo Kurth, Laura Mooney, Gary Smyth, Hardev Pandha, John Lamont, Peter Fitzgerald, Le Roy Dowey, Mark W Ruddock\",\"doi\":\"10.1038/s41598-025-13036-w\",\"DOIUrl\":null,\"url\":null,\"abstract\":\"<p><p>Prostate cancer (PCa) is the second most common cause of cancer related deaths in men in the UK. A national screening programme for PCa does not exist due to the unsuitability of the total prostate specific antigen (tPSA) test which is not specific for PCa and has a high false positive rate. Serum tPSA was measured in n = 25,356 male Randox Health clients. A biomarker-based (tPSA, EGF, MCP-1, IL-8) prostate cancer risk score (PCRS) was then applied to a retrospective cohort (n = 1,142/25,356) of individuals to assess PCa risk. A comparative analysis between tPSA and PCRS indicated that 90.5% of the cohort were assigned low risk of PCa. Of those with an elevated PCRS, 67.8% (78/115) had a normal tPSA value based on tPSA age-adjusted cut-offs. In addition, we observed a significant negative correlation between increasing body mass index (BMI) in men with high BMI (≥ 30) and tPSA levels. No correlation was observed between BMI and PCRS. The tPSA test is potentially unsuitable for use in males with BMI ≥ 30. Use of PCRS could provide more accurate PCa risk stratification for males with BMI ≥ 30. Future assessment of the clinical utility of PCRS is warranted.</p>\",\"PeriodicalId\":21811,\"journal\":{\"name\":\"Scientific Reports\",\"volume\":\"15 1\",\"pages\":\"26864\"},\"PeriodicalIF\":3.9000,\"publicationDate\":\"2025-07-24\",\"publicationTypes\":\"Journal Article\",\"fieldsOfStudy\":null,\"isOpenAccess\":false,\"openAccessPdf\":\"https://www.ncbi.nlm.nih.gov/pmc/articles/PMC12287467/pdf/\",\"citationCount\":\"0\",\"resultStr\":null,\"platform\":\"Semanticscholar\",\"paperid\":null,\"PeriodicalName\":\"Scientific Reports\",\"FirstCategoryId\":\"103\",\"ListUrlMain\":\"https://doi.org/10.1038/s41598-025-13036-w\",\"RegionNum\":2,\"RegionCategory\":\"综合性期刊\",\"ArticlePicture\":[],\"TitleCN\":null,\"AbstractTextCN\":null,\"PMCID\":null,\"EPubDate\":\"\",\"PubModel\":\"\",\"JCR\":\"Q1\",\"JCRName\":\"MULTIDISCIPLINARY SCIENCES\",\"Score\":null,\"Total\":0}","platform":"Semanticscholar","paperid":null,"PeriodicalName":"Scientific Reports","FirstCategoryId":"103","ListUrlMain":"https://doi.org/10.1038/s41598-025-13036-w","RegionNum":2,"RegionCategory":"综合性期刊","ArticlePicture":[],"TitleCN":null,"AbstractTextCN":null,"PMCID":null,"EPubDate":"","PubModel":"","JCR":"Q1","JCRName":"MULTIDISCIPLINARY SCIENCES","Score":null,"Total":0}
引用次数: 0

摘要

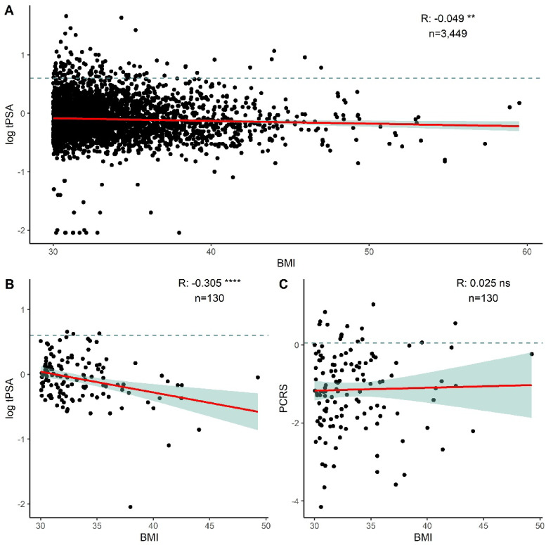
前列腺癌是英国男性癌症相关死亡的第二大常见原因。由于总前列腺特异性抗原(tPSA)测试不适合前列腺癌,因此没有全国性的前列腺癌筛查计划,该测试对前列腺癌不具有特异性,并且假阳性率很高。在n = 25,356名男性Randox Health客户中测量血清tPSA。然后将基于生物标志物(tPSA、EGF、MCP-1、IL-8)的前列腺癌风险评分(PCRS)应用于回顾性队列(n = 1,142/25,356)的个体,以评估PCa的风险。tPSA和pcr的比较分析表明,90.5%的队列患者为低风险PCa。在PCRS升高的患者中,67.8%(78/115)的tPSA值基于tPSA年龄调整截止值正常。此外,我们观察到高BMI(≥30)男性体重指数(BMI)的增加与tPSA水平之间存在显著的负相关。BMI与PCRS无相关性。tPSA检测可能不适用于BMI≥30的男性。使用PCRS可以为BMI≥30的男性提供更准确的PCa风险分层。未来对pcr临床应用的评估是有必要的。
本文章由计算机程序翻译,如有差异,请以英文原文为准。

Use of a BMI-independent biomarker-based prostate cancer risk score to identify and triage individuals at risk of prostate disease.

Use of a BMI-independent biomarker-based prostate cancer risk score to identify and triage individuals at risk of prostate disease.

Use of a BMI-independent biomarker-based prostate cancer risk score to identify and triage individuals at risk of prostate disease.

Use of a BMI-independent biomarker-based prostate cancer risk score to identify and triage individuals at risk of prostate disease.

Prostate cancer (PCa) is the second most common cause of cancer related deaths in men in the UK. A national screening programme for PCa does not exist due to the unsuitability of the total prostate specific antigen (tPSA) test which is not specific for PCa and has a high false positive rate. Serum tPSA was measured in n = 25,356 male Randox Health clients. A biomarker-based (tPSA, EGF, MCP-1, IL-8) prostate cancer risk score (PCRS) was then applied to a retrospective cohort (n = 1,142/25,356) of individuals to assess PCa risk. A comparative analysis between tPSA and PCRS indicated that 90.5% of the cohort were assigned low risk of PCa. Of those with an elevated PCRS, 67.8% (78/115) had a normal tPSA value based on tPSA age-adjusted cut-offs. In addition, we observed a significant negative correlation between increasing body mass index (BMI) in men with high BMI (≥ 30) and tPSA levels. No correlation was observed between BMI and PCRS. The tPSA test is potentially unsuitable for use in males with BMI ≥ 30. Use of PCRS could provide more accurate PCa risk stratification for males with BMI ≥ 30. Future assessment of the clinical utility of PCRS is warranted.

求助全文
通过发布文献求助,成功后即可免费获取论文全文。 去求助
来源期刊
Scientific Reports
Scientific Reports Natural Science Disciplines-
CiteScore
7.50
自引率
4.30%
发文量
19567
审稿时长
3.9 months
期刊介绍: We publish original research from all areas of the natural sciences, psychology, medicine and engineering. You can learn more about what we publish by browsing our specific scientific subject areas below or explore Scientific Reports by browsing all articles and collections. Scientific Reports has a 2-year impact factor: 4.380 (2021), and is the 6th most-cited journal in the world, with more than 540,000 citations in 2020 (Clarivate Analytics, 2021). •Engineering Engineering covers all aspects of engineering, technology, and applied science. It plays a crucial role in the development of technologies to address some of the world''s biggest challenges, helping to save lives and improve the way we live. •Physical sciences Physical sciences are those academic disciplines that aim to uncover the underlying laws of nature — often written in the language of mathematics. It is a collective term for areas of study including astronomy, chemistry, materials science and physics. •Earth and environmental sciences Earth and environmental sciences cover all aspects of Earth and planetary science and broadly encompass solid Earth processes, surface and atmospheric dynamics, Earth system history, climate and climate change, marine and freshwater systems, and ecology. It also considers the interactions between humans and these systems. •Biological sciences Biological sciences encompass all the divisions of natural sciences examining various aspects of vital processes. The concept includes anatomy, physiology, cell biology, biochemistry and biophysics, and covers all organisms from microorganisms, animals to plants. •Health sciences The health sciences study health, disease and healthcare. This field of study aims to develop knowledge, interventions and technology for use in healthcare to improve the treatment of patients.
×
引用
GB/T 7714-2015
复制
MLA
复制
APA
复制
导出至
BibTeX EndNote RefMan NoteFirst NoteExpress
×
提示
您的信息不完整,为了账户安全,请先补充。
现在去补充
×
提示
您因"违规操作"
具体请查看互助需知
我知道了
×
提示
确定
请完成安全验证×
copy
已复制链接
快去分享给好友吧!
我知道了
右上角分享
点击右上角分享
0
联系我们:info@booksci.cn Book学术提供免费学术资源搜索服务,方便国内外学者检索中英文文献。致力于提供最便捷和优质的服务体验。 Copyright © 2023 布克学术 All rights reserved.
京ICP备2023020795号-1
ghs 京公网安备 11010802042870号
Book学术文献互助
Book学术文献互助群
群 号:604180095
Book学术官方微信