心肺健康与小学生不同科目的注意力、注意力和学习成绩有关吗?

IF 2.5 Q1 SPORT SCIENCES
Markel Rico-González, Ricardo Martín-Moya, Jorge Carlos-Vivas, Francisco Javier Giles-Girela, Luca Paolo Ardigò, Francisco Tomás González-Fernández
{"title":"心肺健康与小学生不同科目的注意力、注意力和学习成绩有关吗?","authors":"Markel Rico-González, Ricardo Martín-Moya, Jorge Carlos-Vivas, Francisco Javier Giles-Girela, Luca Paolo Ardigò, Francisco Tomás González-Fernández","doi":"10.3390/jfmk10030272","DOIUrl":null,"url":null,"abstract":"<p><p><b>Background:</b> The perceived importance of physical practice and its contribution to students' academic success have evolved considerably throughout the history of the modern educational system. <b>Aim:</b> The purpose of this study was to understand the relationship between physical fitness (measured as VO<sub>2</sub>max) and cognitive abilities (attention and concentration) and academic performance in different subjects: sciences, letters, language, arts, and physical education. <b>Method:</b> Fifty Spanish male students who participated in extracurricular sports activities (mean age (SD): 11.59 ± 1.30; range: 9-15 years) were included in the analysis. The 6 min walk test was used to assess physical fitness (6MWT), while for selective attention and concentration, the students completed the D2 test, which is usually considered to analyse the visual ability to select the most relevant stimulus of an exercise and ignore precisely the most irrelevant stimuli. <b>Results:</b> Correlation the individual contribution analyses revealed no significant associations between VO<sub>2</sub>max and academic performance in sciences (r = 0.04, <i>p</i> = 0.77), humanities (r = 0.00, <i>p</i> = 0.98), language (r = 0.03, <i>p</i> = 0.83), or arts (r = 0.04, <i>p</i> = 0.76). Similarly, no relationship was found between VO<sub>2</sub>max and overall academic performance (r = 0.10, <i>p</i> = 0.46), or cognitive abilities. However, a small positive correlation was observed between VO<sub>2</sub>max and physical education scores. <b>Conclusions:</b> Physical fitness showed no significant association with cognitive abilities or academic performance in most subjects, although a small positive correlation with physical education scores was observed. These findings emphasise the importance of promoting physical activity for its health and physical benefits. However, future research should explore broader cognitive outcomes and include more diverse and representative samples.</p>","PeriodicalId":16052,"journal":{"name":"Journal of Functional Morphology and Kinesiology","volume":"10 3","pages":""},"PeriodicalIF":2.5000,"publicationDate":"2025-07-16","publicationTypes":"Journal Article","fieldsOfStudy":null,"isOpenAccess":false,"openAccessPdf":"https://www.ncbi.nlm.nih.gov/pmc/articles/PMC12286114/pdf/","citationCount":"0","resultStr":"{\"title\":\"Is Cardiopulmonary Fitness Related to Attention, Concentration, and Academic Performance in Different Subjects in Schoolchildren?\",\"authors\":\"Markel Rico-González, Ricardo Martín-Moya, Jorge Carlos-Vivas, Francisco Javier Giles-Girela, Luca Paolo Ardigò, Francisco Tomás González-Fernández\",\"doi\":\"10.3390/jfmk10030272\",\"DOIUrl\":null,\"url\":null,\"abstract\":\"<p><p><b>Background:</b> The perceived importance of physical practice and its contribution to students' academic success have evolved considerably throughout the history of the modern educational system. <b>Aim:</b> The purpose of this study was to understand the relationship between physical fitness (measured as VO<sub>2</sub>max) and cognitive abilities (attention and concentration) and academic performance in different subjects: sciences, letters, language, arts, and physical education. <b>Method:</b> Fifty Spanish male students who participated in extracurricular sports activities (mean age (SD): 11.59 ± 1.30; range: 9-15 years) were included in the analysis. The 6 min walk test was used to assess physical fitness (6MWT), while for selective attention and concentration, the students completed the D2 test, which is usually considered to analyse the visual ability to select the most relevant stimulus of an exercise and ignore precisely the most irrelevant stimuli. <b>Results:</b> Correlation the individual contribution analyses revealed no significant associations between VO<sub>2</sub>max and academic performance in sciences (r = 0.04, <i>p</i> = 0.77), humanities (r = 0.00, <i>p</i> = 0.98), language (r = 0.03, <i>p</i> = 0.83), or arts (r = 0.04, <i>p</i> = 0.76). Similarly, no relationship was found between VO<sub>2</sub>max and overall academic performance (r = 0.10, <i>p</i> = 0.46), or cognitive abilities. However, a small positive correlation was observed between VO<sub>2</sub>max and physical education scores. <b>Conclusions:</b> Physical fitness showed no significant association with cognitive abilities or academic performance in most subjects, although a small positive correlation with physical education scores was observed. These findings emphasise the importance of promoting physical activity for its health and physical benefits. However, future research should explore broader cognitive outcomes and include more diverse and representative samples.</p>\",\"PeriodicalId\":16052,\"journal\":{\"name\":\"Journal of Functional Morphology and Kinesiology\",\"volume\":\"10 3\",\"pages\":\"\"},\"PeriodicalIF\":2.5000,\"publicationDate\":\"2025-07-16\",\"publicationTypes\":\"Journal Article\",\"fieldsOfStudy\":null,\"isOpenAccess\":false,\"openAccessPdf\":\"https://www.ncbi.nlm.nih.gov/pmc/articles/PMC12286114/pdf/\",\"citationCount\":\"0\",\"resultStr\":null,\"platform\":\"Semanticscholar\",\"paperid\":null,\"PeriodicalName\":\"Journal of Functional Morphology and Kinesiology\",\"FirstCategoryId\":\"1085\",\"ListUrlMain\":\"https://doi.org/10.3390/jfmk10030272\",\"RegionNum\":0,\"RegionCategory\":null,\"ArticlePicture\":[],\"TitleCN\":null,\"AbstractTextCN\":null,\"PMCID\":null,\"EPubDate\":\"\",\"PubModel\":\"\",\"JCR\":\"Q1\",\"JCRName\":\"SPORT SCIENCES\",\"Score\":null,\"Total\":0}","platform":"Semanticscholar","paperid":null,"PeriodicalName":"Journal of Functional Morphology and Kinesiology","FirstCategoryId":"1085","ListUrlMain":"https://doi.org/10.3390/jfmk10030272","RegionNum":0,"RegionCategory":null,"ArticlePicture":[],"TitleCN":null,"AbstractTextCN":null,"PMCID":null,"EPubDate":"","PubModel":"","JCR":"Q1","JCRName":"SPORT SCIENCES","Score":null,"Total":0}
引用次数: 0

摘要

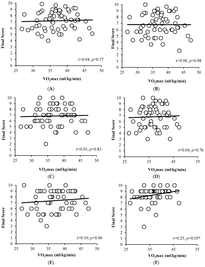
背景:在整个现代教育系统的历史中,体育锻炼的重要性及其对学生学业成功的贡献已经发生了相当大的变化。目的:本研究的目的是了解身体健康(以最大摄氧量测量)和认知能力(注意力和注意力)以及不同学科的学习成绩之间的关系:科学、文学、语言、艺术和体育。方法:50例参加课外体育活动的西班牙男学生(平均年龄(SD): 11.59±1.30;范围:9-15岁)被纳入分析。6分钟步行测试用于评估身体健康(6MWT),而对于选择性注意力和集中,学生完成D2测试,该测试通常被认为是分析视觉能力,以选择运动中最相关的刺激并忽略最不相关的刺激。结果:个体贡献的相关性分析显示,VO2max与科学(r = 0.04, p = 0.77)、人文(r = 0.00, p = 0.98)、语言(r = 0.03, p = 0.83)或艺术(r = 0.04, p = 0.76)的学习成绩之间没有显著关联。同样,VO2max与整体学习成绩(r = 0.10, p = 0.46)或认知能力之间也没有关系。然而,VO2max与体育成绩之间存在较小的正相关。结论:在大多数被试中,身体素质与认知能力或学习成绩没有显著的相关性,尽管与体育成绩有微小的正相关。这些发现强调了促进体育活动对健康和身体的好处的重要性。然而,未来的研究应该探索更广泛的认知结果,包括更多样化和更具代表性的样本。
本文章由计算机程序翻译,如有差异,请以英文原文为准。

Is Cardiopulmonary Fitness Related to Attention, Concentration, and Academic Performance in Different Subjects in Schoolchildren?

Is Cardiopulmonary Fitness Related to Attention, Concentration, and Academic Performance in Different Subjects in Schoolchildren?

Is Cardiopulmonary Fitness Related to Attention, Concentration, and Academic Performance in Different Subjects in Schoolchildren?

Background: The perceived importance of physical practice and its contribution to students' academic success have evolved considerably throughout the history of the modern educational system. Aim: The purpose of this study was to understand the relationship between physical fitness (measured as VO2max) and cognitive abilities (attention and concentration) and academic performance in different subjects: sciences, letters, language, arts, and physical education. Method: Fifty Spanish male students who participated in extracurricular sports activities (mean age (SD): 11.59 ± 1.30; range: 9-15 years) were included in the analysis. The 6 min walk test was used to assess physical fitness (6MWT), while for selective attention and concentration, the students completed the D2 test, which is usually considered to analyse the visual ability to select the most relevant stimulus of an exercise and ignore precisely the most irrelevant stimuli. Results: Correlation the individual contribution analyses revealed no significant associations between VO2max and academic performance in sciences (r = 0.04, p = 0.77), humanities (r = 0.00, p = 0.98), language (r = 0.03, p = 0.83), or arts (r = 0.04, p = 0.76). Similarly, no relationship was found between VO2max and overall academic performance (r = 0.10, p = 0.46), or cognitive abilities. However, a small positive correlation was observed between VO2max and physical education scores. Conclusions: Physical fitness showed no significant association with cognitive abilities or academic performance in most subjects, although a small positive correlation with physical education scores was observed. These findings emphasise the importance of promoting physical activity for its health and physical benefits. However, future research should explore broader cognitive outcomes and include more diverse and representative samples.

求助全文
通过发布文献求助,成功后即可免费获取论文全文。 去求助
来源期刊
Journal of Functional Morphology and Kinesiology
Journal of Functional Morphology and Kinesiology Health Professions-Physical Therapy, Sports Therapy and Rehabilitation
CiteScore
4.20
自引率
0.00%
发文量
94
审稿时长
12 weeks
×
引用
GB/T 7714-2015
复制
MLA
复制
APA
复制
导出至
BibTeX EndNote RefMan NoteFirst NoteExpress
×
提示
您的信息不完整,为了账户安全,请先补充。
现在去补充
×
提示
您因"违规操作"
具体请查看互助需知
我知道了
×
提示
确定
请完成安全验证×
copy
已复制链接
快去分享给好友吧!
我知道了
右上角分享
点击右上角分享
0
联系我们:info@booksci.cn Book学术提供免费学术资源搜索服务,方便国内外学者检索中英文文献。致力于提供最便捷和优质的服务体验。 Copyright © 2023 布克学术 All rights reserved.
京ICP备2023020795号-1
ghs 京公网安备 11010802042870号
Book学术文献互助
Book学术文献互助群
群 号:604180095
Book学术官方微信