远红外服装增强抗阻运动后主观和客观恢复效果的初步研究。

IF 2.5 Q1 SPORT SCIENCES
Jonathon R Lever, Cara Ocobock, Valerie Smith-Hale, Casey J Metoyer, Alan Huebner, John P Wagle, Jonathan D Hauenstein
{"title":"远红外服装增强抗阻运动后主观和客观恢复效果的初步研究。","authors":"Jonathon R Lever, Cara Ocobock, Valerie Smith-Hale, Casey J Metoyer, Alan Huebner, John P Wagle, Jonathan D Hauenstein","doi":"10.3390/jfmk10030280","DOIUrl":null,"url":null,"abstract":"<p><p><b>Objective:</b> This study aimed to investigate the efficacy of far-infrared (FIR) garments in enhancing recovery following resistance exercise in recreationally active individuals. <b>Methods:</b> Ten recreationally active adults (six females, four males; aged 20.7 ± 3.2 years) completed a resistance exercise protocol and were randomly selected to wear either FIR (n = 5) or placebo (n = 5) tights post-exercise. The FIR garments incorporated Celliant-based fibers emitting wavelengths in the 2.5-20 µm range. The participants' recovery was assessed using countermovement jump (CMJ) metrics, including their jump height, takeoff velocity, and modified reactive strength index (mRSI), along with their fatigue biomarkers and subjective recovery perceptions. The CMJ performance was tested immediately post-exercise and at 24 and 48 h. <b>Results:</b> The FIR garments led to significant improvements in neuromuscular recovery, with greater increases in the jump height, takeoff velocity, and mRSI observed at 48 h post-exercise (<i>p</i> < 0.05). Notably, the mRSI showed earlier improvements at 24 h. The fatigue biomarkers did not differ between the groups (<i>p</i> > 0.05), suggesting localized rather than systemic recovery effects. The participants in the FIR group reported faster subjective recovery, with a readiness to resume activity perceived within 48 h, compared to slower recovery in the placebo group. <b>Conclusions:</b> FIR garments may enhance neuromuscular recovery and subjective recovery perceptions following resistance exercise, likely by improving the peripheral blood flow, metabolic clearance, and tissue oxygenation. These findings suggest that FIR garments may be effective in enhancing both neuromuscular and perceived recovery following resistance exercise, supporting their potential use as a post-exercise recovery tool.</p>","PeriodicalId":16052,"journal":{"name":"Journal of Functional Morphology and Kinesiology","volume":"10 3","pages":""},"PeriodicalIF":2.5000,"publicationDate":"2025-07-18","publicationTypes":"Journal Article","fieldsOfStudy":null,"isOpenAccess":false,"openAccessPdf":"https://www.ncbi.nlm.nih.gov/pmc/articles/PMC12286214/pdf/","citationCount":"0","resultStr":"{\"title\":\"A Preliminary Investigation of the Efficacy of Far-Infrared-Emitting Garments in Enhancing Objective and Subjective Recovery Following Resistance Exercise.\",\"authors\":\"Jonathon R Lever, Cara Ocobock, Valerie Smith-Hale, Casey J Metoyer, Alan Huebner, John P Wagle, Jonathan D Hauenstein\",\"doi\":\"10.3390/jfmk10030280\",\"DOIUrl\":null,\"url\":null,\"abstract\":\"<p><p><b>Objective:</b> This study aimed to investigate the efficacy of far-infrared (FIR) garments in enhancing recovery following resistance exercise in recreationally active individuals. <b>Methods:</b> Ten recreationally active adults (six females, four males; aged 20.7 ± 3.2 years) completed a resistance exercise protocol and were randomly selected to wear either FIR (n = 5) or placebo (n = 5) tights post-exercise. The FIR garments incorporated Celliant-based fibers emitting wavelengths in the 2.5-20 µm range. The participants' recovery was assessed using countermovement jump (CMJ) metrics, including their jump height, takeoff velocity, and modified reactive strength index (mRSI), along with their fatigue biomarkers and subjective recovery perceptions. The CMJ performance was tested immediately post-exercise and at 24 and 48 h. <b>Results:</b> The FIR garments led to significant improvements in neuromuscular recovery, with greater increases in the jump height, takeoff velocity, and mRSI observed at 48 h post-exercise (<i>p</i> < 0.05). Notably, the mRSI showed earlier improvements at 24 h. The fatigue biomarkers did not differ between the groups (<i>p</i> > 0.05), suggesting localized rather than systemic recovery effects. The participants in the FIR group reported faster subjective recovery, with a readiness to resume activity perceived within 48 h, compared to slower recovery in the placebo group. <b>Conclusions:</b> FIR garments may enhance neuromuscular recovery and subjective recovery perceptions following resistance exercise, likely by improving the peripheral blood flow, metabolic clearance, and tissue oxygenation. These findings suggest that FIR garments may be effective in enhancing both neuromuscular and perceived recovery following resistance exercise, supporting their potential use as a post-exercise recovery tool.</p>\",\"PeriodicalId\":16052,\"journal\":{\"name\":\"Journal of Functional Morphology and Kinesiology\",\"volume\":\"10 3\",\"pages\":\"\"},\"PeriodicalIF\":2.5000,\"publicationDate\":\"2025-07-18\",\"publicationTypes\":\"Journal Article\",\"fieldsOfStudy\":null,\"isOpenAccess\":false,\"openAccessPdf\":\"https://www.ncbi.nlm.nih.gov/pmc/articles/PMC12286214/pdf/\",\"citationCount\":\"0\",\"resultStr\":null,\"platform\":\"Semanticscholar\",\"paperid\":null,\"PeriodicalName\":\"Journal of Functional Morphology and Kinesiology\",\"FirstCategoryId\":\"1085\",\"ListUrlMain\":\"https://doi.org/10.3390/jfmk10030280\",\"RegionNum\":0,\"RegionCategory\":null,\"ArticlePicture\":[],\"TitleCN\":null,\"AbstractTextCN\":null,\"PMCID\":null,\"EPubDate\":\"\",\"PubModel\":\"\",\"JCR\":\"Q1\",\"JCRName\":\"SPORT SCIENCES\",\"Score\":null,\"Total\":0}","platform":"Semanticscholar","paperid":null,"PeriodicalName":"Journal of Functional Morphology and Kinesiology","FirstCategoryId":"1085","ListUrlMain":"https://doi.org/10.3390/jfmk10030280","RegionNum":0,"RegionCategory":null,"ArticlePicture":[],"TitleCN":null,"AbstractTextCN":null,"PMCID":null,"EPubDate":"","PubModel":"","JCR":"Q1","JCRName":"SPORT SCIENCES","Score":null,"Total":0}
引用次数: 0

摘要

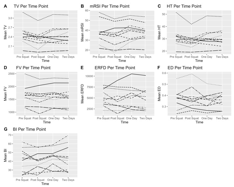
目的:研究远红外(FIR)服装对休闲运动人群抗阻运动后恢复的促进作用。方法:10名有娱乐活动的成年人(6名女性,4名男性;年龄20.7±3.2岁)完成阻力运动方案,并随机选择在运动后穿FIR (n = 5)或安慰剂(n = 5)紧身衣。FIR服装采用了基于celliant的纤维,其波长在2.5-20µm范围内。参与者的恢复使用反运动跳跃(CMJ)指标进行评估,包括他们的跳跃高度、起飞速度、修正反应强度指数(mRSI),以及他们的疲劳生物标志物和主观恢复感知。在运动后立即、24和48小时测试CMJ的表现。结果:FIR服装显著改善了神经肌肉的恢复,在运动后48小时观察到的跳跃高度、起飞速度和磁共振成像(mRSI)都有更大的提高(p < 0.05)。值得注意的是,mRSI在24小时时显示出较早的改善。疲劳生物标志物在两组之间没有差异(p > 0.05),表明局部而非全身恢复效果。与安慰剂组较慢的恢复相比,FIR组的参与者报告了更快的主观恢复,并准备在48小时内恢复活动。结论:FIR服装可能通过改善外周血流量、代谢清除率和组织氧合来增强抗阻运动后的神经肌肉恢复和主观恢复知觉。这些研究结果表明,FIR服装可能有效地增强阻力运动后神经肌肉和感知恢复,支持其作为运动后恢复工具的潜在用途。
本文章由计算机程序翻译,如有差异,请以英文原文为准。

A Preliminary Investigation of the Efficacy of Far-Infrared-Emitting Garments in Enhancing Objective and Subjective Recovery Following Resistance Exercise.

A Preliminary Investigation of the Efficacy of Far-Infrared-Emitting Garments in Enhancing Objective and Subjective Recovery Following Resistance Exercise.

A Preliminary Investigation of the Efficacy of Far-Infrared-Emitting Garments in Enhancing Objective and Subjective Recovery Following Resistance Exercise.

Objective: This study aimed to investigate the efficacy of far-infrared (FIR) garments in enhancing recovery following resistance exercise in recreationally active individuals. Methods: Ten recreationally active adults (six females, four males; aged 20.7 ± 3.2 years) completed a resistance exercise protocol and were randomly selected to wear either FIR (n = 5) or placebo (n = 5) tights post-exercise. The FIR garments incorporated Celliant-based fibers emitting wavelengths in the 2.5-20 µm range. The participants' recovery was assessed using countermovement jump (CMJ) metrics, including their jump height, takeoff velocity, and modified reactive strength index (mRSI), along with their fatigue biomarkers and subjective recovery perceptions. The CMJ performance was tested immediately post-exercise and at 24 and 48 h. Results: The FIR garments led to significant improvements in neuromuscular recovery, with greater increases in the jump height, takeoff velocity, and mRSI observed at 48 h post-exercise (p < 0.05). Notably, the mRSI showed earlier improvements at 24 h. The fatigue biomarkers did not differ between the groups (p > 0.05), suggesting localized rather than systemic recovery effects. The participants in the FIR group reported faster subjective recovery, with a readiness to resume activity perceived within 48 h, compared to slower recovery in the placebo group. Conclusions: FIR garments may enhance neuromuscular recovery and subjective recovery perceptions following resistance exercise, likely by improving the peripheral blood flow, metabolic clearance, and tissue oxygenation. These findings suggest that FIR garments may be effective in enhancing both neuromuscular and perceived recovery following resistance exercise, supporting their potential use as a post-exercise recovery tool.

求助全文
通过发布文献求助,成功后即可免费获取论文全文。 去求助
来源期刊
Journal of Functional Morphology and Kinesiology
Journal of Functional Morphology and Kinesiology Health Professions-Physical Therapy, Sports Therapy and Rehabilitation
CiteScore
4.20
自引率
0.00%
发文量
94
审稿时长
12 weeks
×
引用
GB/T 7714-2015
复制
MLA
复制
APA
复制
导出至
BibTeX EndNote RefMan NoteFirst NoteExpress
×
提示
您的信息不完整,为了账户安全,请先补充。
现在去补充
×
提示
您因"违规操作"
具体请查看互助需知
我知道了
×
提示
确定
请完成安全验证×
copy
已复制链接
快去分享给好友吧!
我知道了
右上角分享
点击右上角分享
0
联系我们:info@booksci.cn Book学术提供免费学术资源搜索服务,方便国内外学者检索中英文文献。致力于提供最便捷和优质的服务体验。 Copyright © 2023 布克学术 All rights reserved.
京ICP备2023020795号-1
ghs 京公网安备 11010802042870号
Book学术文献互助
Book学术文献互助群
群 号:604180095
Book学术官方微信