空气污染物与气象因素对川崎病冠状动脉病变发生与消退的影响:病例对照与队列研究相结合的研究

IF 3.1 3区 医学 Q1 PEDIATRICS
Yinan Yang, Yanxia Zhang, Shuhong Cai, Dan Wang, Muhua Liao, Xi Chen, Jiaxian Zhou, Huitao Meng, Xiaobin Hu
{"title":"空气污染物与气象因素对川崎病冠状动脉病变发生与消退的影响:病例对照与队列研究相结合的研究","authors":"Yinan Yang, Yanxia Zhang, Shuhong Cai, Dan Wang, Muhua Liao, Xi Chen, Jiaxian Zhou, Huitao Meng, Xiaobin Hu","doi":"10.1186/s13052-025-02065-w","DOIUrl":null,"url":null,"abstract":"<p><strong>Background: </strong>We evaluated the effects of environmental factors on the occurrence and regression of coronary artery lesions (CAL) in patients with Kawasaki disease (KD), intending to provide a scientific basis for the prevention, treatment, and long-term management of KD.</p><p><strong>Methods: </strong>We enrolled pediatric patients with KD hospitalized in the Pediatric Cardiovascular Department of a tertiary comprehensive hospital between June 2015 and December 2020 as research subjects. The medical record information of the children during hospitalization and follow-up was obtained by reviewing the hospital's electronic medical record system. The air pollutants including CO, NO<sub>2</sub>, PM<sub>10</sub>, PM<sub>2.5</sub>, SO<sub>2</sub> and O<sub>3</sub> were collected from the National Urban Air Quality Real-time Release Platform of the China National Environmental Monitoring Centre. The meteorological data were sourced from the China Meteorological Data Network, including the daily average temperature and the daily average relative humidity. We assessed the individual and combined effects of air pollutants and meteorological factors on CAL by Unconditional logistic regression and Bayesian kernel regression, respectively, and to explore their dose-response relationships. We estimated the overall time to regression of CAL by Kaplan-Meier, assessed the effects of air pollutants and meteorological factors on the regression of CAL by Cox proportional risk regression model, and evaluated the dose-response relationship by restricted cubic spline.</p><p><strong>Results: </strong>The OR for CAL formation in children with KD was 1.267 (95% CI: 1.060-1.514) for every 10 µg/m<sup>3</sup> increase in SO<sub>2</sub> concentration, and the risk of CAL formation gradually increased with increasing SO<sub>2</sub> concentration (P<sub>overall</sub>=0.027, P<sub>nonlinear</sub>=0.329). The HR for regression of CAL in KD children was 0.387 (95% CI: 0.174-0.861) for each 1mg/m<sup>3</sup> increase in CO concentration, and the likelihood of CAL regression gradually decreased with increasing air CO concentration (P<sub>overall</sub>=0.030, P<sub>nonlinear</sub>=0.182).</p><p><strong>Conclusion: </strong>Atmospheric SO<sub>2</sub> exposure was significantly associated with CAL occurrence in children with KD in this study, and there is a dose-response relationship. Atmospheric CO exposure was an independent risk factor preventing CAL regression in children with KD, and there was a dose-response relationship between atmospheric CO concentration and CAL regression. These findings indicate that relevant departments should take measures to strengthen the monitoring and control of environmental factors.</p>","PeriodicalId":14511,"journal":{"name":"Italian Journal of Pediatrics","volume":"51 1","pages":"241"},"PeriodicalIF":3.1000,"publicationDate":"2025-07-23","publicationTypes":"Journal Article","fieldsOfStudy":null,"isOpenAccess":false,"openAccessPdf":"https://www.ncbi.nlm.nih.gov/pmc/articles/PMC12288255/pdf/","citationCount":"0","resultStr":"{\"title\":\"The effects of air pollutants and meteorological factors on the occurrence and regression of coronary artery lesions in Kawasaki disease: a study combining case-control and cohort studies.\",\"authors\":\"Yinan Yang, Yanxia Zhang, Shuhong Cai, Dan Wang, Muhua Liao, Xi Chen, Jiaxian Zhou, Huitao Meng, Xiaobin Hu\",\"doi\":\"10.1186/s13052-025-02065-w\",\"DOIUrl\":null,\"url\":null,\"abstract\":\"<p><strong>Background: </strong>We evaluated the effects of environmental factors on the occurrence and regression of coronary artery lesions (CAL) in patients with Kawasaki disease (KD), intending to provide a scientific basis for the prevention, treatment, and long-term management of KD.</p><p><strong>Methods: </strong>We enrolled pediatric patients with KD hospitalized in the Pediatric Cardiovascular Department of a tertiary comprehensive hospital between June 2015 and December 2020 as research subjects. The medical record information of the children during hospitalization and follow-up was obtained by reviewing the hospital's electronic medical record system. The air pollutants including CO, NO<sub>2</sub>, PM<sub>10</sub>, PM<sub>2.5</sub>, SO<sub>2</sub> and O<sub>3</sub> were collected from the National Urban Air Quality Real-time Release Platform of the China National Environmental Monitoring Centre. The meteorological data were sourced from the China Meteorological Data Network, including the daily average temperature and the daily average relative humidity. We assessed the individual and combined effects of air pollutants and meteorological factors on CAL by Unconditional logistic regression and Bayesian kernel regression, respectively, and to explore their dose-response relationships. We estimated the overall time to regression of CAL by Kaplan-Meier, assessed the effects of air pollutants and meteorological factors on the regression of CAL by Cox proportional risk regression model, and evaluated the dose-response relationship by restricted cubic spline.</p><p><strong>Results: </strong>The OR for CAL formation in children with KD was 1.267 (95% CI: 1.060-1.514) for every 10 µg/m<sup>3</sup> increase in SO<sub>2</sub> concentration, and the risk of CAL formation gradually increased with increasing SO<sub>2</sub> concentration (P<sub>overall</sub>=0.027, P<sub>nonlinear</sub>=0.329). The HR for regression of CAL in KD children was 0.387 (95% CI: 0.174-0.861) for each 1mg/m<sup>3</sup> increase in CO concentration, and the likelihood of CAL regression gradually decreased with increasing air CO concentration (P<sub>overall</sub>=0.030, P<sub>nonlinear</sub>=0.182).</p><p><strong>Conclusion: </strong>Atmospheric SO<sub>2</sub> exposure was significantly associated with CAL occurrence in children with KD in this study, and there is a dose-response relationship. Atmospheric CO exposure was an independent risk factor preventing CAL regression in children with KD, and there was a dose-response relationship between atmospheric CO concentration and CAL regression. These findings indicate that relevant departments should take measures to strengthen the monitoring and control of environmental factors.</p>\",\"PeriodicalId\":14511,\"journal\":{\"name\":\"Italian Journal of Pediatrics\",\"volume\":\"51 1\",\"pages\":\"241\"},\"PeriodicalIF\":3.1000,\"publicationDate\":\"2025-07-23\",\"publicationTypes\":\"Journal Article\",\"fieldsOfStudy\":null,\"isOpenAccess\":false,\"openAccessPdf\":\"https://www.ncbi.nlm.nih.gov/pmc/articles/PMC12288255/pdf/\",\"citationCount\":\"0\",\"resultStr\":null,\"platform\":\"Semanticscholar\",\"paperid\":null,\"PeriodicalName\":\"Italian Journal of Pediatrics\",\"FirstCategoryId\":\"3\",\"ListUrlMain\":\"https://doi.org/10.1186/s13052-025-02065-w\",\"RegionNum\":3,\"RegionCategory\":\"医学\",\"ArticlePicture\":[],\"TitleCN\":null,\"AbstractTextCN\":null,\"PMCID\":null,\"EPubDate\":\"\",\"PubModel\":\"\",\"JCR\":\"Q1\",\"JCRName\":\"PEDIATRICS\",\"Score\":null,\"Total\":0}","platform":"Semanticscholar","paperid":null,"PeriodicalName":"Italian Journal of Pediatrics","FirstCategoryId":"3","ListUrlMain":"https://doi.org/10.1186/s13052-025-02065-w","RegionNum":3,"RegionCategory":"医学","ArticlePicture":[],"TitleCN":null,"AbstractTextCN":null,"PMCID":null,"EPubDate":"","PubModel":"","JCR":"Q1","JCRName":"PEDIATRICS","Score":null,"Total":0}
引用次数: 0

摘要

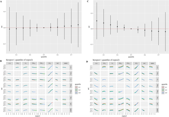
背景:我们评价环境因素对川崎病(Kawasaki disease, KD)患者冠状动脉病变(CAL)发生和消退的影响,旨在为川崎病的预防、治疗和长期管理提供科学依据。方法:选取2015年6月至2020年12月在某三级综合医院儿科心血管科住院的儿童KD患者作为研究对象。通过查阅医院电子病历系统获取患儿住院及随访期间的病历信息。空气污染物包括CO、NO2、PM10、PM2.5、SO2和O3,收集自中国国家环境监测中心的全国城市空气质量实时发布平台。气象资料来源于中国气象数据网,包括日平均气温和日平均相对湿度。采用无条件logistic回归和贝叶斯核回归分别评价了大气污染物和气象因子对CAL的单独和联合影响,并探讨了它们之间的剂量-反应关系。采用Kaplan-Meier法估算了空气污染指数回归总时间,采用Cox比例风险回归模型评估了大气污染物和气象因子对空气污染指数回归的影响,并采用限制性三次样条法评估了剂量-反应关系。结果:SO2浓度每增加10µg/m3, KD患儿CAL形成的OR为1.267 (95% CI: 1.060 ~ 1.514),且随着SO2浓度的增加,CAL形成的风险逐渐增加(powall =0.027, p非线性=0.329)。CO浓度每增加1mg/m3, KD患儿CAL回归的HR为0.387 (95% CI: 0.174 ~ 0.861),随着空气CO浓度的增加,CAL回归的可能性逐渐降低(Poverall=0.030, p非线性=0.182)。结论:本研究中大气SO2暴露与KD患儿CAL发生显著相关,且存在剂量-反应关系。大气CO暴露是阻止KD患儿CAL回归的独立危险因素,大气CO浓度与CAL回归存在剂量-反应关系。这些发现表明,有关部门应采取措施加强对环境因素的监测和控制。
本文章由计算机程序翻译,如有差异,请以英文原文为准。

The effects of air pollutants and meteorological factors on the occurrence and regression of coronary artery lesions in Kawasaki disease: a study combining case-control and cohort studies.

The effects of air pollutants and meteorological factors on the occurrence and regression of coronary artery lesions in Kawasaki disease: a study combining case-control and cohort studies.

The effects of air pollutants and meteorological factors on the occurrence and regression of coronary artery lesions in Kawasaki disease: a study combining case-control and cohort studies.

The effects of air pollutants and meteorological factors on the occurrence and regression of coronary artery lesions in Kawasaki disease: a study combining case-control and cohort studies.

Background: We evaluated the effects of environmental factors on the occurrence and regression of coronary artery lesions (CAL) in patients with Kawasaki disease (KD), intending to provide a scientific basis for the prevention, treatment, and long-term management of KD.

Methods: We enrolled pediatric patients with KD hospitalized in the Pediatric Cardiovascular Department of a tertiary comprehensive hospital between June 2015 and December 2020 as research subjects. The medical record information of the children during hospitalization and follow-up was obtained by reviewing the hospital's electronic medical record system. The air pollutants including CO, NO2, PM10, PM2.5, SO2 and O3 were collected from the National Urban Air Quality Real-time Release Platform of the China National Environmental Monitoring Centre. The meteorological data were sourced from the China Meteorological Data Network, including the daily average temperature and the daily average relative humidity. We assessed the individual and combined effects of air pollutants and meteorological factors on CAL by Unconditional logistic regression and Bayesian kernel regression, respectively, and to explore their dose-response relationships. We estimated the overall time to regression of CAL by Kaplan-Meier, assessed the effects of air pollutants and meteorological factors on the regression of CAL by Cox proportional risk regression model, and evaluated the dose-response relationship by restricted cubic spline.

Results: The OR for CAL formation in children with KD was 1.267 (95% CI: 1.060-1.514) for every 10 µg/m3 increase in SO2 concentration, and the risk of CAL formation gradually increased with increasing SO2 concentration (Poverall=0.027, Pnonlinear=0.329). The HR for regression of CAL in KD children was 0.387 (95% CI: 0.174-0.861) for each 1mg/m3 increase in CO concentration, and the likelihood of CAL regression gradually decreased with increasing air CO concentration (Poverall=0.030, Pnonlinear=0.182).

Conclusion: Atmospheric SO2 exposure was significantly associated with CAL occurrence in children with KD in this study, and there is a dose-response relationship. Atmospheric CO exposure was an independent risk factor preventing CAL regression in children with KD, and there was a dose-response relationship between atmospheric CO concentration and CAL regression. These findings indicate that relevant departments should take measures to strengthen the monitoring and control of environmental factors.

求助全文
通过发布文献求助,成功后即可免费获取论文全文。 去求助
来源期刊
CiteScore
6.10
自引率
13.90%
发文量
192
审稿时长
6-12 weeks
期刊介绍: Italian Journal of Pediatrics is an open access peer-reviewed journal that includes all aspects of pediatric medicine. The journal also covers health service and public health research that addresses primary care issues. The journal provides a high-quality forum for pediatricians and other healthcare professionals to report and discuss up-to-the-minute research and expert reviews in the field of pediatric medicine. The journal will continue to develop the range of articles published to enable this invaluable resource to stay at the forefront of the field. Italian Journal of Pediatrics, which commenced in 1975 as Rivista Italiana di Pediatria, provides a high-quality forum for pediatricians and other healthcare professionals to report and discuss up-to-the-minute research and expert reviews in the field of pediatric medicine. The journal will continue to develop the range of articles published to enable this invaluable resource to stay at the forefront of the field.
×
引用
GB/T 7714-2015
复制
MLA
复制
APA
复制
导出至
BibTeX EndNote RefMan NoteFirst NoteExpress
×
提示
您的信息不完整,为了账户安全,请先补充。
现在去补充
×
提示
您因"违规操作"
具体请查看互助需知
我知道了
×
提示
确定
请完成安全验证×
copy
已复制链接
快去分享给好友吧!
我知道了
右上角分享
点击右上角分享
0
联系我们:info@booksci.cn Book学术提供免费学术资源搜索服务,方便国内外学者检索中英文文献。致力于提供最便捷和优质的服务体验。 Copyright © 2023 布克学术 All rights reserved.
京ICP备2023020795号-1
ghs 京公网安备 11010802042870号
Book学术文献互助
Book学术文献互助群
群 号:604180095
Book学术官方微信