无热量限制的低碳水化合物、高蛋白和脂肪饮食限时喂养对6个月体重、血糖和血脂的影响:一项回顾性队列研究

IF 3.8 2区 医学 Q1 ENDOCRINOLOGY & METABOLISM
Somsubhra De, Andrew Chiew, Sook Vui Chong, Jasmine Chiew, Natalie Pui Yee Lum, Yi Chen Khor, Madhumanti Barman, Sabyasachi Das, Adinegara Lutfi Abas
{"title":"无热量限制的低碳水化合物、高蛋白和脂肪饮食限时喂养对6个月体重、血糖和血脂的影响:一项回顾性队列研究","authors":"Somsubhra De, Andrew Chiew, Sook Vui Chong, Jasmine Chiew, Natalie Pui Yee Lum, Yi Chen Khor, Madhumanti Barman, Sabyasachi Das, Adinegara Lutfi Abas","doi":"10.1038/s41366-025-01832-3","DOIUrl":null,"url":null,"abstract":"People with obesity poses a threat for various non-communicable diseases (NCDs). Combining time-restricted feeding (TRF) with calorie restriction has been demonstrated to improve insulin sensitivity, decrease BMI and improved lipid profile. The novel objective of this study is to examine the effects of TRF with low carbohydrate and high protein and fat (LCHPF) diet on control and management of body weight, blood sugar and good cholesterol. This retrospective cohort study was performed at Clinixero in Kuala Lumpur between February 2021 and August 2023. In an open-label trial, all participants were assigned to one of two intervention groups with varying intervention durations (3 months or 6 months). Three month intervention group consists of Phase 1 TRF of 1.5 months (7 weeks) of a 16:8 h fasting-to-feeding ratio followed by another 1.5 months (7 weeks) of a 23:1 h ratio, whereas in six month intervention group phase 1 TRF comprises 3 months (13 weeks) of a 16:8 h fasting-to-feeding ratio followed by another 3 months (13 weeks) of a 23:1 h ratio. Individual BMI was measured along with fasting blood glucose, HbA1c and lipid profile before and after intervention. After a 3-month TRF with LCHPF diet, the mean BMI decreased, although this difference was not statistically significant (p = 0.0572). However, after 6 months BMI was decreased significantly (p < 0.0001). Individual fasting blood sugar (FBS) did not significantly decrease (p = 0.068) after 3 months of intervention. However, it was significantly reduced (p = 0.026) after 6 months of intervention. TRF with LCHPF diet significantly decreased HbA1c after a 3-month (p = 0.019) and 6-month intervention (p < 0.0001). Triglycerides showed a reduction after 3 months of intervention, but it reduced significantly after 6 months (p < 0.001). While the mean cholesterol, HDL and LDL showed a marked increase after 6 months (p < 0.001) of intervention. TRF with LCHPF diet demonstrated significant improvement in BMI, FBS, HbA1c, triglycerides and HDL. Combining TRF and LCHPF could lead to better individual diabetic management.","PeriodicalId":14183,"journal":{"name":"International Journal of Obesity","volume":"49 9","pages":"1829-1839"},"PeriodicalIF":3.8000,"publicationDate":"2025-07-23","publicationTypes":"Journal Article","fieldsOfStudy":null,"isOpenAccess":false,"openAccessPdf":"","citationCount":"0","resultStr":"{\"title\":\"Effect of time restricted feeding with low carbohydrate, high protein and fat diet without calorie restriction on body weight, blood sugar and lipid profile over 6 months: a retrospective cohort study\",\"authors\":\"Somsubhra De, Andrew Chiew, Sook Vui Chong, Jasmine Chiew, Natalie Pui Yee Lum, Yi Chen Khor, Madhumanti Barman, Sabyasachi Das, Adinegara Lutfi Abas\",\"doi\":\"10.1038/s41366-025-01832-3\",\"DOIUrl\":null,\"url\":null,\"abstract\":\"People with obesity poses a threat for various non-communicable diseases (NCDs). Combining time-restricted feeding (TRF) with calorie restriction has been demonstrated to improve insulin sensitivity, decrease BMI and improved lipid profile. The novel objective of this study is to examine the effects of TRF with low carbohydrate and high protein and fat (LCHPF) diet on control and management of body weight, blood sugar and good cholesterol. This retrospective cohort study was performed at Clinixero in Kuala Lumpur between February 2021 and August 2023. In an open-label trial, all participants were assigned to one of two intervention groups with varying intervention durations (3 months or 6 months). Three month intervention group consists of Phase 1 TRF of 1.5 months (7 weeks) of a 16:8 h fasting-to-feeding ratio followed by another 1.5 months (7 weeks) of a 23:1 h ratio, whereas in six month intervention group phase 1 TRF comprises 3 months (13 weeks) of a 16:8 h fasting-to-feeding ratio followed by another 3 months (13 weeks) of a 23:1 h ratio. Individual BMI was measured along with fasting blood glucose, HbA1c and lipid profile before and after intervention. After a 3-month TRF with LCHPF diet, the mean BMI decreased, although this difference was not statistically significant (p = 0.0572). However, after 6 months BMI was decreased significantly (p < 0.0001). Individual fasting blood sugar (FBS) did not significantly decrease (p = 0.068) after 3 months of intervention. However, it was significantly reduced (p = 0.026) after 6 months of intervention. TRF with LCHPF diet significantly decreased HbA1c after a 3-month (p = 0.019) and 6-month intervention (p < 0.0001). Triglycerides showed a reduction after 3 months of intervention, but it reduced significantly after 6 months (p < 0.001). While the mean cholesterol, HDL and LDL showed a marked increase after 6 months (p < 0.001) of intervention. TRF with LCHPF diet demonstrated significant improvement in BMI, FBS, HbA1c, triglycerides and HDL. Combining TRF and LCHPF could lead to better individual diabetic management.\",\"PeriodicalId\":14183,\"journal\":{\"name\":\"International Journal of Obesity\",\"volume\":\"49 9\",\"pages\":\"1829-1839\"},\"PeriodicalIF\":3.8000,\"publicationDate\":\"2025-07-23\",\"publicationTypes\":\"Journal Article\",\"fieldsOfStudy\":null,\"isOpenAccess\":false,\"openAccessPdf\":\"\",\"citationCount\":\"0\",\"resultStr\":null,\"platform\":\"Semanticscholar\",\"paperid\":null,\"PeriodicalName\":\"International Journal of Obesity\",\"FirstCategoryId\":\"3\",\"ListUrlMain\":\"https://www.nature.com/articles/s41366-025-01832-3\",\"RegionNum\":2,\"RegionCategory\":\"医学\",\"ArticlePicture\":[],\"TitleCN\":null,\"AbstractTextCN\":null,\"PMCID\":null,\"EPubDate\":\"\",\"PubModel\":\"\",\"JCR\":\"Q1\",\"JCRName\":\"ENDOCRINOLOGY & METABOLISM\",\"Score\":null,\"Total\":0}","platform":"Semanticscholar","paperid":null,"PeriodicalName":"International Journal of Obesity","FirstCategoryId":"3","ListUrlMain":"https://www.nature.com/articles/s41366-025-01832-3","RegionNum":2,"RegionCategory":"医学","ArticlePicture":[],"TitleCN":null,"AbstractTextCN":null,"PMCID":null,"EPubDate":"","PubModel":"","JCR":"Q1","JCRName":"ENDOCRINOLOGY & METABOLISM","Score":null,"Total":0}
引用次数: 0

摘要

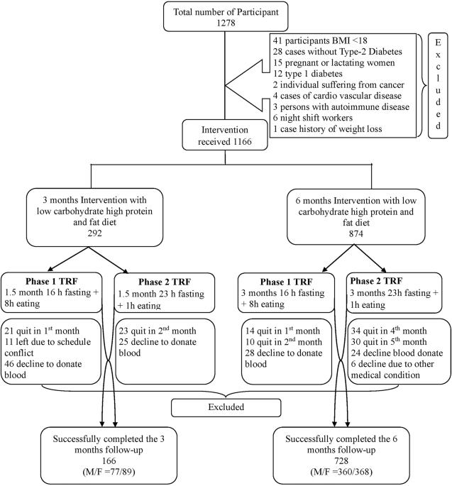
背景:肥胖人群对各种非传染性疾病(ncd)构成威胁。将限时喂养(TRF)与卡路里限制相结合已被证明可以改善胰岛素敏感性,降低BMI并改善血脂。目的:本研究的新目的是研究TRF与低碳水化合物高蛋白和脂肪(LCHPF)饮食对体重、血糖和好胆固醇的控制和管理的影响。方法:这项回顾性队列研究于2021年2月至2023年8月在吉隆坡的Clinixero进行。在一项开放标签试验中,所有参与者被分配到两个干预组中的一个,干预时间不同(3个月或6个月)。三个月的干预组包括1.5个月(7周)的16:8 h禁食喂养比,然后是另外1.5个月(7周)的23:1 h禁食喂养比,而在六个月的干预组中,第一阶段的TRF包括3个月(13周)的16:8 h禁食喂养比,然后是另外3个月(13周)的23:1 h禁食喂养比。在干预前后测量个体BMI、空腹血糖、糖化血红蛋白和血脂。结果:LCHPF饮食3个月后,平均BMI下降,但差异无统计学意义(p = 0.0572)。6个月后,体重指数明显下降(p)。结论:低脂饮食与TRF饮食在BMI、FBS、HbA1c、甘油三酯和HDL方面均有显著改善。结合TRF和LCHPF可以更好地管理个体糖尿病。
本文章由计算机程序翻译,如有差异,请以英文原文为准。

Effect of time restricted feeding with low carbohydrate, high protein and fat diet without calorie restriction on body weight, blood sugar and lipid profile over 6 months: a retrospective cohort study

Effect of time restricted feeding with low carbohydrate, high protein and fat diet without calorie restriction on body weight, blood sugar and lipid profile over 6 months: a retrospective cohort study
People with obesity poses a threat for various non-communicable diseases (NCDs). Combining time-restricted feeding (TRF) with calorie restriction has been demonstrated to improve insulin sensitivity, decrease BMI and improved lipid profile. The novel objective of this study is to examine the effects of TRF with low carbohydrate and high protein and fat (LCHPF) diet on control and management of body weight, blood sugar and good cholesterol. This retrospective cohort study was performed at Clinixero in Kuala Lumpur between February 2021 and August 2023. In an open-label trial, all participants were assigned to one of two intervention groups with varying intervention durations (3 months or 6 months). Three month intervention group consists of Phase 1 TRF of 1.5 months (7 weeks) of a 16:8 h fasting-to-feeding ratio followed by another 1.5 months (7 weeks) of a 23:1 h ratio, whereas in six month intervention group phase 1 TRF comprises 3 months (13 weeks) of a 16:8 h fasting-to-feeding ratio followed by another 3 months (13 weeks) of a 23:1 h ratio. Individual BMI was measured along with fasting blood glucose, HbA1c and lipid profile before and after intervention. After a 3-month TRF with LCHPF diet, the mean BMI decreased, although this difference was not statistically significant (p = 0.0572). However, after 6 months BMI was decreased significantly (p < 0.0001). Individual fasting blood sugar (FBS) did not significantly decrease (p = 0.068) after 3 months of intervention. However, it was significantly reduced (p = 0.026) after 6 months of intervention. TRF with LCHPF diet significantly decreased HbA1c after a 3-month (p = 0.019) and 6-month intervention (p < 0.0001). Triglycerides showed a reduction after 3 months of intervention, but it reduced significantly after 6 months (p < 0.001). While the mean cholesterol, HDL and LDL showed a marked increase after 6 months (p < 0.001) of intervention. TRF with LCHPF diet demonstrated significant improvement in BMI, FBS, HbA1c, triglycerides and HDL. Combining TRF and LCHPF could lead to better individual diabetic management.
求助全文
通过发布文献求助,成功后即可免费获取论文全文。 去求助
来源期刊
International Journal of Obesity
International Journal of Obesity 医学-内分泌学与代谢
CiteScore
10.00
自引率
2.00%
发文量
221
审稿时长
3 months
期刊介绍: The International Journal of Obesity is a multi-disciplinary forum for research describing basic, clinical and applied studies in biochemistry, physiology, genetics and nutrition, molecular, metabolic, psychological and epidemiological aspects of obesity and related disorders. We publish a range of content types including original research articles, technical reports, reviews, correspondence and brief communications that elaborate on significant advances in the field and cover topical issues.
×
引用
GB/T 7714-2015
复制
MLA
复制
APA
复制
导出至
BibTeX EndNote RefMan NoteFirst NoteExpress
×
提示
您的信息不完整,为了账户安全,请先补充。
现在去补充
×
提示
您因"违规操作"
具体请查看互助需知
我知道了
×
提示
确定
请完成安全验证×
copy
已复制链接
快去分享给好友吧!
我知道了
右上角分享
点击右上角分享
0
联系我们:info@booksci.cn Book学术提供免费学术资源搜索服务,方便国内外学者检索中英文文献。致力于提供最便捷和优质的服务体验。 Copyright © 2023 布克学术 All rights reserved.
京ICP备2023020795号-1
ghs 京公网安备 11010802042870号
Book学术文献互助
Book学术文献互助群
群 号:604180095
Book学术官方微信