2型糖尿病患者不同阶段糖尿病视网膜病变与泛免疫炎症值关系的前瞻性横断面研究

IF 3.3 3区 医学 Q3 ENDOCRINOLOGY & METABOLISM
Aykut Bulu, Sinem Keser
{"title":"2型糖尿病患者不同阶段糖尿病视网膜病变与泛免疫炎症值关系的前瞻性横断面研究","authors":"Aykut Bulu, Sinem Keser","doi":"10.1186/s12902-025-02007-x","DOIUrl":null,"url":null,"abstract":"<p><strong>Background: </strong>Diabetic retinopathy (DR), a major complication of type 2 diabetes mellitus (T2DM), remains a growing global health concern. This study aimed to evaluate the relationship between systemic inflammatory markers and both the presence and severity of DR. Special attention was given to the pan-immune-inflammation value (PIV), a novel composite index of immune response, whose association with DR remains underexplored.</p><p><strong>Materials and methods: </strong>A prospective cross-sectional study was conducted involving 310 patients with T2DM, grouped based on the International Clinical Diabetic Retinopathy Disease Severity Scale (ICDR): no DR (NDR, n = 100), non-proliferative DR (NPDR, n = 100), and proliferative DR (PDR, n = 110). Clinical and laboratory data-including neutrophil-to-lymphocyte ratio (NLR), platelet-to-lymphocyte ratio (PLR), monocyte-to-lymphocyte ratio (MLR), neutrophil-to-HDL cholesterol ratio (NHR), systemic immune-inflammation index (SII), and PIV-were analyzed. Statistical methods included ANOVA, Kruskal-Wallis, and receiver operating characteristic (ROC) analyses.</p><p><strong>Results: </strong>PDR patients had significantly elevated NLR (p = 0.005), MLR (p < 0.001), NHR (p = 0.016), C-reactive protein-to-albumin ratio (CAR) (p < 0.001), and PIV (p = 0.002) levels. In NPDR, PLR (p = 0.012) and SII (p = 0.005) were significantly higher than in the other groups. NLR showed the highest predictive performance in ROC analysis (sensitivity: 84.8%), followed by SII (78.1%), PLR (76.2%), and PIV (53.3%).</p><p><strong>Conclusion: </strong>Among patients with T2DM, inflammatory markers-particularly NLR, PLR, SII, and PIV-suggested potential relevance in identifying DR and its progression. PLR and SII may have utility in the early identification of NPDR, while PIV appears to be a potentially valuable inflammatory marker. These cost-effective and easily accessible indices may contribute to the screening and monitoring of DR in clinical settings.</p>","PeriodicalId":9152,"journal":{"name":"BMC Endocrine Disorders","volume":"25 1","pages":"184"},"PeriodicalIF":3.3000,"publicationDate":"2025-07-23","publicationTypes":"Journal Article","fieldsOfStudy":null,"isOpenAccess":false,"openAccessPdf":"https://www.ncbi.nlm.nih.gov/pmc/articles/PMC12285020/pdf/","citationCount":"0","resultStr":"{\"title\":\"The relationship between pan-immune inflammation value and different stages of diabetic retinopathy in patients with type 2 diabetes mellitus: a prospective cross-sectional study.\",\"authors\":\"Aykut Bulu, Sinem Keser\",\"doi\":\"10.1186/s12902-025-02007-x\",\"DOIUrl\":null,\"url\":null,\"abstract\":\"<p><strong>Background: </strong>Diabetic retinopathy (DR), a major complication of type 2 diabetes mellitus (T2DM), remains a growing global health concern. This study aimed to evaluate the relationship between systemic inflammatory markers and both the presence and severity of DR. Special attention was given to the pan-immune-inflammation value (PIV), a novel composite index of immune response, whose association with DR remains underexplored.</p><p><strong>Materials and methods: </strong>A prospective cross-sectional study was conducted involving 310 patients with T2DM, grouped based on the International Clinical Diabetic Retinopathy Disease Severity Scale (ICDR): no DR (NDR, n = 100), non-proliferative DR (NPDR, n = 100), and proliferative DR (PDR, n = 110). Clinical and laboratory data-including neutrophil-to-lymphocyte ratio (NLR), platelet-to-lymphocyte ratio (PLR), monocyte-to-lymphocyte ratio (MLR), neutrophil-to-HDL cholesterol ratio (NHR), systemic immune-inflammation index (SII), and PIV-were analyzed. Statistical methods included ANOVA, Kruskal-Wallis, and receiver operating characteristic (ROC) analyses.</p><p><strong>Results: </strong>PDR patients had significantly elevated NLR (p = 0.005), MLR (p < 0.001), NHR (p = 0.016), C-reactive protein-to-albumin ratio (CAR) (p < 0.001), and PIV (p = 0.002) levels. In NPDR, PLR (p = 0.012) and SII (p = 0.005) were significantly higher than in the other groups. NLR showed the highest predictive performance in ROC analysis (sensitivity: 84.8%), followed by SII (78.1%), PLR (76.2%), and PIV (53.3%).</p><p><strong>Conclusion: </strong>Among patients with T2DM, inflammatory markers-particularly NLR, PLR, SII, and PIV-suggested potential relevance in identifying DR and its progression. PLR and SII may have utility in the early identification of NPDR, while PIV appears to be a potentially valuable inflammatory marker. These cost-effective and easily accessible indices may contribute to the screening and monitoring of DR in clinical settings.</p>\",\"PeriodicalId\":9152,\"journal\":{\"name\":\"BMC Endocrine Disorders\",\"volume\":\"25 1\",\"pages\":\"184\"},\"PeriodicalIF\":3.3000,\"publicationDate\":\"2025-07-23\",\"publicationTypes\":\"Journal Article\",\"fieldsOfStudy\":null,\"isOpenAccess\":false,\"openAccessPdf\":\"https://www.ncbi.nlm.nih.gov/pmc/articles/PMC12285020/pdf/\",\"citationCount\":\"0\",\"resultStr\":null,\"platform\":\"Semanticscholar\",\"paperid\":null,\"PeriodicalName\":\"BMC Endocrine Disorders\",\"FirstCategoryId\":\"3\",\"ListUrlMain\":\"https://doi.org/10.1186/s12902-025-02007-x\",\"RegionNum\":3,\"RegionCategory\":\"医学\",\"ArticlePicture\":[],\"TitleCN\":null,\"AbstractTextCN\":null,\"PMCID\":null,\"EPubDate\":\"\",\"PubModel\":\"\",\"JCR\":\"Q3\",\"JCRName\":\"ENDOCRINOLOGY & METABOLISM\",\"Score\":null,\"Total\":0}","platform":"Semanticscholar","paperid":null,"PeriodicalName":"BMC Endocrine Disorders","FirstCategoryId":"3","ListUrlMain":"https://doi.org/10.1186/s12902-025-02007-x","RegionNum":3,"RegionCategory":"医学","ArticlePicture":[],"TitleCN":null,"AbstractTextCN":null,"PMCID":null,"EPubDate":"","PubModel":"","JCR":"Q3","JCRName":"ENDOCRINOLOGY & METABOLISM","Score":null,"Total":0}
引用次数: 0

摘要

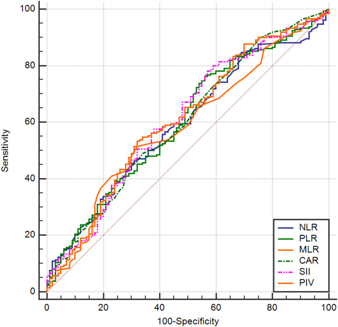
背景:糖尿病视网膜病变(DR)是2型糖尿病(T2DM)的主要并发症,是一个日益受到全球健康关注的问题。本研究旨在评估全身炎症标志物与DR的存在和严重程度之间的关系,特别关注泛免疫炎症值(PIV),这是一种新的免疫反应复合指数,其与DR的关系尚不清楚。材料和方法:对310例T2DM患者进行前瞻性横断面研究,根据国际临床糖尿病视网膜病变疾病严重程度量表(ICDR)进行分组:无DR (NDR, n = 100)、非增生性DR (NPDR, n = 100)和增生性DR (PDR, n = 110)。分析临床和实验室数据,包括中性粒细胞与淋巴细胞比值(NLR)、血小板与淋巴细胞比值(PLR)、单核细胞与淋巴细胞比值(MLR)、中性粒细胞与高密度脂蛋白胆固醇比值(NHR)、全身免疫炎症指数(SII)和piv。统计方法包括方差分析、Kruskal-Wallis分析和受试者工作特征(ROC)分析。结果:PDR患者NLR (p = 0.005)、MLR (p)显著升高。结论:在T2DM患者中,炎症标志物,特别是NLR、PLR、SII和piv提示了识别DR及其进展的潜在相关性。PLR和SII可能在NPDR的早期识别中有作用,而PIV似乎是一个潜在的有价值的炎症标志物。这些具有成本效益且易于获取的指标可能有助于临床环境中DR的筛查和监测。
本文章由计算机程序翻译,如有差异,请以英文原文为准。

The relationship between pan-immune inflammation value and different stages of diabetic retinopathy in patients with type 2 diabetes mellitus: a prospective cross-sectional study.

The relationship between pan-immune inflammation value and different stages of diabetic retinopathy in patients with type 2 diabetes mellitus: a prospective cross-sectional study.

Background: Diabetic retinopathy (DR), a major complication of type 2 diabetes mellitus (T2DM), remains a growing global health concern. This study aimed to evaluate the relationship between systemic inflammatory markers and both the presence and severity of DR. Special attention was given to the pan-immune-inflammation value (PIV), a novel composite index of immune response, whose association with DR remains underexplored.

Materials and methods: A prospective cross-sectional study was conducted involving 310 patients with T2DM, grouped based on the International Clinical Diabetic Retinopathy Disease Severity Scale (ICDR): no DR (NDR, n = 100), non-proliferative DR (NPDR, n = 100), and proliferative DR (PDR, n = 110). Clinical and laboratory data-including neutrophil-to-lymphocyte ratio (NLR), platelet-to-lymphocyte ratio (PLR), monocyte-to-lymphocyte ratio (MLR), neutrophil-to-HDL cholesterol ratio (NHR), systemic immune-inflammation index (SII), and PIV-were analyzed. Statistical methods included ANOVA, Kruskal-Wallis, and receiver operating characteristic (ROC) analyses.

Results: PDR patients had significantly elevated NLR (p = 0.005), MLR (p < 0.001), NHR (p = 0.016), C-reactive protein-to-albumin ratio (CAR) (p < 0.001), and PIV (p = 0.002) levels. In NPDR, PLR (p = 0.012) and SII (p = 0.005) were significantly higher than in the other groups. NLR showed the highest predictive performance in ROC analysis (sensitivity: 84.8%), followed by SII (78.1%), PLR (76.2%), and PIV (53.3%).

Conclusion: Among patients with T2DM, inflammatory markers-particularly NLR, PLR, SII, and PIV-suggested potential relevance in identifying DR and its progression. PLR and SII may have utility in the early identification of NPDR, while PIV appears to be a potentially valuable inflammatory marker. These cost-effective and easily accessible indices may contribute to the screening and monitoring of DR in clinical settings.

求助全文
通过发布文献求助,成功后即可免费获取论文全文。 去求助
来源期刊
BMC Endocrine Disorders
BMC Endocrine Disorders ENDOCRINOLOGY & METABOLISM-
CiteScore
4.40
自引率
0.00%
发文量
280
审稿时长
>12 weeks
期刊介绍: BMC Endocrine Disorders is an open access, peer-reviewed journal that considers articles on all aspects of the prevention, diagnosis and management of endocrine disorders, as well as related molecular genetics, pathophysiology, and epidemiology.
×
引用
GB/T 7714-2015
复制
MLA
复制
APA
复制
导出至
BibTeX EndNote RefMan NoteFirst NoteExpress
×
提示
您的信息不完整,为了账户安全,请先补充。
现在去补充
×
提示
您因"违规操作"
具体请查看互助需知
我知道了
×
提示
确定
请完成安全验证×
copy
已复制链接
快去分享给好友吧!
我知道了
右上角分享
点击右上角分享
0
联系我们:info@booksci.cn Book学术提供免费学术资源搜索服务,方便国内外学者检索中英文文献。致力于提供最便捷和优质的服务体验。 Copyright © 2023 布克学术 All rights reserved.
京ICP备2023020795号-1
ghs 京公网安备 11010802042870号
Book学术文献互助
Book学术文献互助群
群 号:604180095
Book学术官方微信