在动物特异性抗菌剂氟苯尼考存在的情况下,利奈唑胺耐移动基因和携带它们的质粒的选择和维持。

Access microbiology Pub Date : 2025-04-08 eCollection Date: 2025-01-01 DOI:10.1099/acmi.0.000997.v3
Akira Fukuda, Masaru Usui
{"title":"在动物特异性抗菌剂氟苯尼考存在的情况下,利奈唑胺耐移动基因和携带它们的质粒的选择和维持。","authors":"Akira Fukuda, Masaru Usui","doi":"10.1099/acmi.0.000997.v3","DOIUrl":null,"url":null,"abstract":"<p><p>Mobile linezolid-resistance genes (<i>optrA</i>, <i>poxtA</i> and <i>cfr</i>) that confer resistance to linezolid and florfenicol have been detected globally in various sources. Linezolid is a last-resort antimicrobial used in human clinical settings, and florfenicol is commonly used in veterinary clinical settings. The present study sought to evaluate the potential of florfenicol in veterinary use to select for linezolid-resistant bacteria. The growth and fitness of linezolid-resistant bacteria harbouring mobile linezolid-resistance genes were assessed in the presence and absence of florfenicol using <i>Enterococcus faecalis</i> and <i>Enterococcus faecium</i>, respectively. The bacterial strains harboured wild and cloning plasmids carrying mobile linezolid-resistance genes, which reduced their susceptibility to linezolid and florfenicol. The acquisition of plasmids carrying mobile linezolid-resistance genes improved bacterial growth in the presence of florfenicol and conferred fitness costs in its absence. Florfenicol imposes a selection pressure on bacteria harbouring plasmids carrying mobile linezolid-resistance genes. Hence, the appropriate use of florfenicol in veterinary clinical settings is important to control the dissemination of mobile linezolid-resistance genes and to ensure the sustained effectiveness of linezolid against multidrug-resistant bacteria, including vancomycin-resistant enterococci in human clinical settings.</p>","PeriodicalId":94366,"journal":{"name":"Access microbiology","volume":"7 4","pages":""},"PeriodicalIF":0.0000,"publicationDate":"2025-04-08","publicationTypes":"Journal Article","fieldsOfStudy":null,"isOpenAccess":false,"openAccessPdf":"https://www.ncbi.nlm.nih.gov/pmc/articles/PMC12282029/pdf/","citationCount":"0","resultStr":"{\"title\":\"Selection and maintenance of mobile linezolid-resistance genes and plasmids carrying them in the presence of florfenicol, an animal-specific antimicrobial.\",\"authors\":\"Akira Fukuda, Masaru Usui\",\"doi\":\"10.1099/acmi.0.000997.v3\",\"DOIUrl\":null,\"url\":null,\"abstract\":\"<p><p>Mobile linezolid-resistance genes (<i>optrA</i>, <i>poxtA</i> and <i>cfr</i>) that confer resistance to linezolid and florfenicol have been detected globally in various sources. Linezolid is a last-resort antimicrobial used in human clinical settings, and florfenicol is commonly used in veterinary clinical settings. The present study sought to evaluate the potential of florfenicol in veterinary use to select for linezolid-resistant bacteria. The growth and fitness of linezolid-resistant bacteria harbouring mobile linezolid-resistance genes were assessed in the presence and absence of florfenicol using <i>Enterococcus faecalis</i> and <i>Enterococcus faecium</i>, respectively. The bacterial strains harboured wild and cloning plasmids carrying mobile linezolid-resistance genes, which reduced their susceptibility to linezolid and florfenicol. The acquisition of plasmids carrying mobile linezolid-resistance genes improved bacterial growth in the presence of florfenicol and conferred fitness costs in its absence. Florfenicol imposes a selection pressure on bacteria harbouring plasmids carrying mobile linezolid-resistance genes. Hence, the appropriate use of florfenicol in veterinary clinical settings is important to control the dissemination of mobile linezolid-resistance genes and to ensure the sustained effectiveness of linezolid against multidrug-resistant bacteria, including vancomycin-resistant enterococci in human clinical settings.</p>\",\"PeriodicalId\":94366,\"journal\":{\"name\":\"Access microbiology\",\"volume\":\"7 4\",\"pages\":\"\"},\"PeriodicalIF\":0.0000,\"publicationDate\":\"2025-04-08\",\"publicationTypes\":\"Journal Article\",\"fieldsOfStudy\":null,\"isOpenAccess\":false,\"openAccessPdf\":\"https://www.ncbi.nlm.nih.gov/pmc/articles/PMC12282029/pdf/\",\"citationCount\":\"0\",\"resultStr\":null,\"platform\":\"Semanticscholar\",\"paperid\":null,\"PeriodicalName\":\"Access microbiology\",\"FirstCategoryId\":\"1085\",\"ListUrlMain\":\"https://doi.org/10.1099/acmi.0.000997.v3\",\"RegionNum\":0,\"RegionCategory\":null,\"ArticlePicture\":[],\"TitleCN\":null,\"AbstractTextCN\":null,\"PMCID\":null,\"EPubDate\":\"2025/1/1 0:00:00\",\"PubModel\":\"eCollection\",\"JCR\":\"\",\"JCRName\":\"\",\"Score\":null,\"Total\":0}","platform":"Semanticscholar","paperid":null,"PeriodicalName":"Access microbiology","FirstCategoryId":"1085","ListUrlMain":"https://doi.org/10.1099/acmi.0.000997.v3","RegionNum":0,"RegionCategory":null,"ArticlePicture":[],"TitleCN":null,"AbstractTextCN":null,"PMCID":null,"EPubDate":"2025/1/1 0:00:00","PubModel":"eCollection","JCR":"","JCRName":"","Score":null,"Total":0}
引用次数: 0

摘要

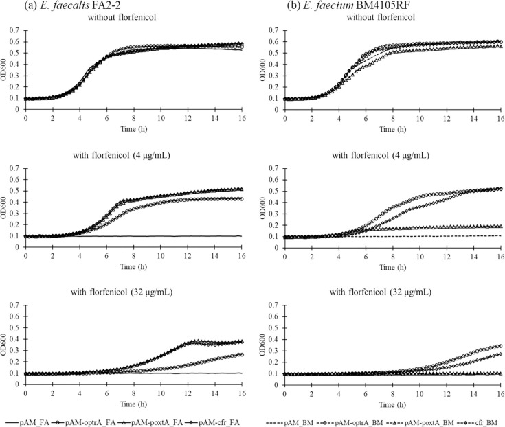
对利奈唑胺和氟苯尼考产生耐药性的流动利奈唑胺耐药基因(optrA、poxtA和cfr)已在全球各种来源中被发现。利奈唑胺是人类临床环境中最后使用的抗微生物药物,氟苯尼考通常用于兽医临床环境。本研究旨在评估氟苯尼考在兽医中用于筛选利奈唑胺耐药细菌的潜力。在氟苯尼考存在和不存在的情况下,分别使用粪肠球菌和屎肠球菌评估携带移动利奈唑胺耐药基因的利奈唑胺耐药菌的生长和适合度。这些菌株携带野生和克隆质粒,携带可移动的利奈唑胺耐药基因,从而降低了它们对利奈唑胺和氟苯尼考的敏感性。携带移动利奈唑胺抗性基因的质粒的获得在氟苯尼考存在时改善了细菌的生长,并在没有氟苯尼考的情况下增加了适应成本。氟苯尼考对携带移动利奈唑胺抗性基因的质粒的细菌施加了选择压力。因此,在兽医临床环境中适当使用氟苯尼考对于控制流动利奈唑胺耐药基因的传播和确保利奈唑胺对多重耐药细菌(包括人类临床环境中耐万古霉素肠球菌)的持续有效性非常重要。
本文章由计算机程序翻译,如有差异,请以英文原文为准。

Selection and maintenance of mobile linezolid-resistance genes and plasmids carrying them in the presence of florfenicol, an animal-specific antimicrobial.

Selection and maintenance of mobile linezolid-resistance genes and plasmids carrying them in the presence of florfenicol, an animal-specific antimicrobial.

Selection and maintenance of mobile linezolid-resistance genes and plasmids carrying them in the presence of florfenicol, an animal-specific antimicrobial.

Selection and maintenance of mobile linezolid-resistance genes and plasmids carrying them in the presence of florfenicol, an animal-specific antimicrobial.

Mobile linezolid-resistance genes (optrA, poxtA and cfr) that confer resistance to linezolid and florfenicol have been detected globally in various sources. Linezolid is a last-resort antimicrobial used in human clinical settings, and florfenicol is commonly used in veterinary clinical settings. The present study sought to evaluate the potential of florfenicol in veterinary use to select for linezolid-resistant bacteria. The growth and fitness of linezolid-resistant bacteria harbouring mobile linezolid-resistance genes were assessed in the presence and absence of florfenicol using Enterococcus faecalis and Enterococcus faecium, respectively. The bacterial strains harboured wild and cloning plasmids carrying mobile linezolid-resistance genes, which reduced their susceptibility to linezolid and florfenicol. The acquisition of plasmids carrying mobile linezolid-resistance genes improved bacterial growth in the presence of florfenicol and conferred fitness costs in its absence. Florfenicol imposes a selection pressure on bacteria harbouring plasmids carrying mobile linezolid-resistance genes. Hence, the appropriate use of florfenicol in veterinary clinical settings is important to control the dissemination of mobile linezolid-resistance genes and to ensure the sustained effectiveness of linezolid against multidrug-resistant bacteria, including vancomycin-resistant enterococci in human clinical settings.

求助全文
通过发布文献求助,成功后即可免费获取论文全文。 去求助
来源期刊
CiteScore
2.00
自引率
0.00%
发文量
0
×
引用
GB/T 7714-2015
复制
MLA
复制
APA
复制
导出至
BibTeX EndNote RefMan NoteFirst NoteExpress
×
提示
您的信息不完整,为了账户安全,请先补充。
现在去补充
×
提示
您因"违规操作"
具体请查看互助需知
我知道了
×
提示
确定
请完成安全验证×
copy
已复制链接
快去分享给好友吧!
我知道了
右上角分享
点击右上角分享
0
联系我们:info@booksci.cn Book学术提供免费学术资源搜索服务,方便国内外学者检索中英文文献。致力于提供最便捷和优质的服务体验。 Copyright © 2023 布克学术 All rights reserved.
京ICP备2023020795号-1
ghs 京公网安备 11010802042870号
Book学术文献互助
Book学术文献互助群
群 号:604180095
Book学术官方微信