微乳中的成核:以Ir-Pd纳米颗粒为例。

IF 4.5 0 MATERIALS SCIENCE, MULTIDISCIPLINARY
Concha Tojo
{"title":"微乳中的成核:以Ir-Pd纳米颗粒为例。","authors":"Concha Tojo","doi":"10.1186/s11671-025-04315-6","DOIUrl":null,"url":null,"abstract":"<p><p>Surface segregation of components is a key factor in determining the physicochemical properties and catalytic activity of bimetallic nanoparticles. In this study, computer simulations are used to analyze the metal distribution of Ir-Pd nanoparticles synthesized via microemulsions. Based on the high difference between the reduction potentials, an Ir-core/Pd-shell structure is expected. However, experimental results have shown a higher Ir fraction at the surface (15-23%). The hypothesis is that this unexpected results may be due to differences in nucleation rates. To investigate this, we performed a systematic study on the influence of critical nucleus size on the final nanostructure when the two metals have very different reduction rates. Our aim was to determine the conditions under which Ir can reach the nanoparticle surface. The results confirm that the large difference in reduction rates mainly governs metal segregation, leading to core-shell structures. However, when the concentration is close to the critical nucleus value, a slower nucleation rate results in higher Ir enrichment at the surface. It can be attributed to both a slow homoatomic nucleation rate and to a slow heteroatomic nucleation rate of Ir-Pd. At higher concentrations, this effect disappears as the higher reactant availability facilitates nucleation, resulting in similar metal segregation regardless of the critical nucleus size. Good agreement between experimental and simulation results supports the conclusions of this study.</p>","PeriodicalId":72828,"journal":{"name":"Discover nano","volume":"20 1","pages":"117"},"PeriodicalIF":4.5000,"publicationDate":"2025-07-22","publicationTypes":"Journal Article","fieldsOfStudy":null,"isOpenAccess":false,"openAccessPdf":"https://www.ncbi.nlm.nih.gov/pmc/articles/PMC12283537/pdf/","citationCount":"0","resultStr":"{\"title\":\"Nucleation in microemulsions: a case study of Ir-Pd nanoparticles.\",\"authors\":\"Concha Tojo\",\"doi\":\"10.1186/s11671-025-04315-6\",\"DOIUrl\":null,\"url\":null,\"abstract\":\"<p><p>Surface segregation of components is a key factor in determining the physicochemical properties and catalytic activity of bimetallic nanoparticles. In this study, computer simulations are used to analyze the metal distribution of Ir-Pd nanoparticles synthesized via microemulsions. Based on the high difference between the reduction potentials, an Ir-core/Pd-shell structure is expected. However, experimental results have shown a higher Ir fraction at the surface (15-23%). The hypothesis is that this unexpected results may be due to differences in nucleation rates. To investigate this, we performed a systematic study on the influence of critical nucleus size on the final nanostructure when the two metals have very different reduction rates. Our aim was to determine the conditions under which Ir can reach the nanoparticle surface. The results confirm that the large difference in reduction rates mainly governs metal segregation, leading to core-shell structures. However, when the concentration is close to the critical nucleus value, a slower nucleation rate results in higher Ir enrichment at the surface. It can be attributed to both a slow homoatomic nucleation rate and to a slow heteroatomic nucleation rate of Ir-Pd. At higher concentrations, this effect disappears as the higher reactant availability facilitates nucleation, resulting in similar metal segregation regardless of the critical nucleus size. Good agreement between experimental and simulation results supports the conclusions of this study.</p>\",\"PeriodicalId\":72828,\"journal\":{\"name\":\"Discover nano\",\"volume\":\"20 1\",\"pages\":\"117\"},\"PeriodicalIF\":4.5000,\"publicationDate\":\"2025-07-22\",\"publicationTypes\":\"Journal Article\",\"fieldsOfStudy\":null,\"isOpenAccess\":false,\"openAccessPdf\":\"https://www.ncbi.nlm.nih.gov/pmc/articles/PMC12283537/pdf/\",\"citationCount\":\"0\",\"resultStr\":null,\"platform\":\"Semanticscholar\",\"paperid\":null,\"PeriodicalName\":\"Discover nano\",\"FirstCategoryId\":\"1085\",\"ListUrlMain\":\"https://doi.org/10.1186/s11671-025-04315-6\",\"RegionNum\":0,\"RegionCategory\":null,\"ArticlePicture\":[],\"TitleCN\":null,\"AbstractTextCN\":null,\"PMCID\":null,\"EPubDate\":\"\",\"PubModel\":\"\",\"JCR\":\"0\",\"JCRName\":\"MATERIALS SCIENCE, MULTIDISCIPLINARY\",\"Score\":null,\"Total\":0}","platform":"Semanticscholar","paperid":null,"PeriodicalName":"Discover nano","FirstCategoryId":"1085","ListUrlMain":"https://doi.org/10.1186/s11671-025-04315-6","RegionNum":0,"RegionCategory":null,"ArticlePicture":[],"TitleCN":null,"AbstractTextCN":null,"PMCID":null,"EPubDate":"","PubModel":"","JCR":"0","JCRName":"MATERIALS SCIENCE, MULTIDISCIPLINARY","Score":null,"Total":0}
引用次数: 0

摘要

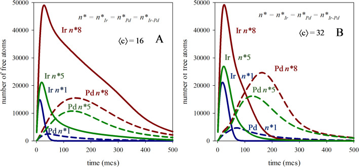
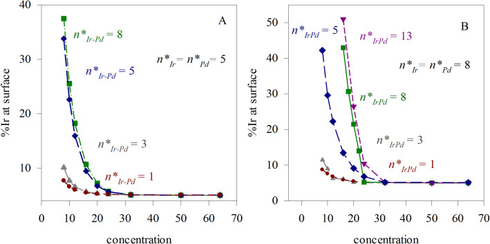
组分的表面偏析是决定双金属纳米颗粒物理化学性质和催化活性的关键因素。在本研究中,利用计算机模拟分析了通过微乳液合成的Ir-Pd纳米颗粒的金属分布。基于还原电位之间的较大差异,期望形成一个Ir-core/Pd-shell结构。然而,实验结果表明,表面Ir分数较高(15-23%)。假设这种意想不到的结果可能是由于成核速率的差异。为了研究这一点,我们进行了系统的研究,当两种金属具有非常不同的还原速率时,临界核尺寸对最终纳米结构的影响。我们的目的是确定Ir到达纳米颗粒表面的条件。结果表明,大的还原速率差异主要控制金属偏析,导致核壳结构的形成。然而,当浓度接近临界核值时,较慢的成核速率导致表面较高的Ir富集。这可以归因于Ir-Pd的慢同原子成核速率和慢杂原子成核速率。在较高的浓度下,这种效应消失,因为较高的反应物可用性有利于成核,导致类似的金属偏析,而不管临界核的大小。实验结果与仿真结果吻合较好,支持了本研究的结论。
本文章由计算机程序翻译,如有差异,请以英文原文为准。

Nucleation in microemulsions: a case study of Ir-Pd nanoparticles.

Nucleation in microemulsions: a case study of Ir-Pd nanoparticles.

Nucleation in microemulsions: a case study of Ir-Pd nanoparticles.

Nucleation in microemulsions: a case study of Ir-Pd nanoparticles.

Surface segregation of components is a key factor in determining the physicochemical properties and catalytic activity of bimetallic nanoparticles. In this study, computer simulations are used to analyze the metal distribution of Ir-Pd nanoparticles synthesized via microemulsions. Based on the high difference between the reduction potentials, an Ir-core/Pd-shell structure is expected. However, experimental results have shown a higher Ir fraction at the surface (15-23%). The hypothesis is that this unexpected results may be due to differences in nucleation rates. To investigate this, we performed a systematic study on the influence of critical nucleus size on the final nanostructure when the two metals have very different reduction rates. Our aim was to determine the conditions under which Ir can reach the nanoparticle surface. The results confirm that the large difference in reduction rates mainly governs metal segregation, leading to core-shell structures. However, when the concentration is close to the critical nucleus value, a slower nucleation rate results in higher Ir enrichment at the surface. It can be attributed to both a slow homoatomic nucleation rate and to a slow heteroatomic nucleation rate of Ir-Pd. At higher concentrations, this effect disappears as the higher reactant availability facilitates nucleation, resulting in similar metal segregation regardless of the critical nucleus size. Good agreement between experimental and simulation results supports the conclusions of this study.

求助全文
通过发布文献求助,成功后即可免费获取论文全文。 去求助
来源期刊
CiteScore
0.70
自引率
0.00%
发文量
0
×
引用
GB/T 7714-2015
复制
MLA
复制
APA
复制
导出至
BibTeX EndNote RefMan NoteFirst NoteExpress
×
提示
您的信息不完整,为了账户安全,请先补充。
现在去补充
×
提示
您因"违规操作"
具体请查看互助需知
我知道了
×
提示
确定
请完成安全验证×
copy
已复制链接
快去分享给好友吧!
我知道了
右上角分享
点击右上角分享
0
联系我们:info@booksci.cn Book学术提供免费学术资源搜索服务,方便国内外学者检索中英文文献。致力于提供最便捷和优质的服务体验。 Copyright © 2023 布克学术 All rights reserved.
京ICP备2023020795号-1
ghs 京公网安备 11010802042870号
Book学术文献互助
Book学术文献互助群
群 号:604180095
Book学术官方微信