结合快速扫描量热法的原位x射线全散射低背景装置。

IF 3 3区 物理与天体物理
Journal of Synchrotron Radiation Pub Date : 2025-09-01 Epub Date: 2025-07-23 DOI:10.1107/S1600577525005594
Peihao Sun, Jacopo Baglioni, Beatrice Baraldi, Weilong Chen, Daniele Lideo, Lara Piemontese, Francesco Dallari, Marco Di Michiel, Giulio Monaco
{"title":"结合快速扫描量热法的原位x射线全散射低背景装置。","authors":"Peihao Sun, Jacopo Baglioni, Beatrice Baraldi, Weilong Chen, Daniele Lideo, Lara Piemontese, Francesco Dallari, Marco Di Michiel, Giulio Monaco","doi":"10.1107/S1600577525005594","DOIUrl":null,"url":null,"abstract":"<p><p>We demonstrate a setup, combining fast scanning calorimetry with X-ray total scattering at a synchrotron beamline, allowing for in situ characterizations of the nano-scale structure of samples during and after temperature scans. The setup features a portable vacuum chamber providing a high signal-to-background ratio even on amorphous samples, which enables the observation of detailed structural changes between different sample states. We present three use cases, including one that leverages the high cooling rate of 10<sup>4</sup> K s<sup>-1</sup> achievable by this setup. Our demonstration opens the door to various applications in materials science where understanding the interplay between structure and thermodynamics is crucial.</p>","PeriodicalId":48729,"journal":{"name":"Journal of Synchrotron Radiation","volume":" ","pages":"1228-1234"},"PeriodicalIF":3.0000,"publicationDate":"2025-09-01","publicationTypes":"Journal Article","fieldsOfStudy":null,"isOpenAccess":false,"openAccessPdf":"https://www.ncbi.nlm.nih.gov/pmc/articles/PMC12416420/pdf/","citationCount":"0","resultStr":"{\"title\":\"A low-background setup for in situ X-ray total scattering combined with fast scanning calorimetry.\",\"authors\":\"Peihao Sun, Jacopo Baglioni, Beatrice Baraldi, Weilong Chen, Daniele Lideo, Lara Piemontese, Francesco Dallari, Marco Di Michiel, Giulio Monaco\",\"doi\":\"10.1107/S1600577525005594\",\"DOIUrl\":null,\"url\":null,\"abstract\":\"<p><p>We demonstrate a setup, combining fast scanning calorimetry with X-ray total scattering at a synchrotron beamline, allowing for in situ characterizations of the nano-scale structure of samples during and after temperature scans. The setup features a portable vacuum chamber providing a high signal-to-background ratio even on amorphous samples, which enables the observation of detailed structural changes between different sample states. We present three use cases, including one that leverages the high cooling rate of 10<sup>4</sup> K s<sup>-1</sup> achievable by this setup. Our demonstration opens the door to various applications in materials science where understanding the interplay between structure and thermodynamics is crucial.</p>\",\"PeriodicalId\":48729,\"journal\":{\"name\":\"Journal of Synchrotron Radiation\",\"volume\":\" \",\"pages\":\"1228-1234\"},\"PeriodicalIF\":3.0000,\"publicationDate\":\"2025-09-01\",\"publicationTypes\":\"Journal Article\",\"fieldsOfStudy\":null,\"isOpenAccess\":false,\"openAccessPdf\":\"https://www.ncbi.nlm.nih.gov/pmc/articles/PMC12416420/pdf/\",\"citationCount\":\"0\",\"resultStr\":null,\"platform\":\"Semanticscholar\",\"paperid\":null,\"PeriodicalName\":\"Journal of Synchrotron Radiation\",\"FirstCategoryId\":\"101\",\"ListUrlMain\":\"https://doi.org/10.1107/S1600577525005594\",\"RegionNum\":3,\"RegionCategory\":\"物理与天体物理\",\"ArticlePicture\":[],\"TitleCN\":null,\"AbstractTextCN\":null,\"PMCID\":null,\"EPubDate\":\"2025/7/23 0:00:00\",\"PubModel\":\"Epub\",\"JCR\":\"\",\"JCRName\":\"\",\"Score\":null,\"Total\":0}","platform":"Semanticscholar","paperid":null,"PeriodicalName":"Journal of Synchrotron Radiation","FirstCategoryId":"101","ListUrlMain":"https://doi.org/10.1107/S1600577525005594","RegionNum":3,"RegionCategory":"物理与天体物理","ArticlePicture":[],"TitleCN":null,"AbstractTextCN":null,"PMCID":null,"EPubDate":"2025/7/23 0:00:00","PubModel":"Epub","JCR":"","JCRName":"","Score":null,"Total":0}
引用次数: 0

摘要

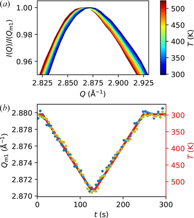
我们演示了一种设置,将快速扫描量热法与同步加速器光束线上的x射线全散射相结合,允许在温度扫描期间和之后对样品的纳米级结构进行原位表征。该装置具有便携式真空室,即使在非晶样品上也能提供高信号与背景比,从而可以观察不同样品状态之间的详细结构变化。我们给出了三个用例,其中一个用例利用了通过这种设置可以实现的104 K s-1的高冷却速率。我们的演示为材料科学的各种应用打开了大门,在材料科学中,理解结构和热力学之间的相互作用是至关重要的。
本文章由计算机程序翻译,如有差异,请以英文原文为准。

A low-background setup for in situ X-ray total scattering combined with fast scanning calorimetry.

A low-background setup for in situ X-ray total scattering combined with fast scanning calorimetry.

A low-background setup for in situ X-ray total scattering combined with fast scanning calorimetry.

A low-background setup for in situ X-ray total scattering combined with fast scanning calorimetry.

We demonstrate a setup, combining fast scanning calorimetry with X-ray total scattering at a synchrotron beamline, allowing for in situ characterizations of the nano-scale structure of samples during and after temperature scans. The setup features a portable vacuum chamber providing a high signal-to-background ratio even on amorphous samples, which enables the observation of detailed structural changes between different sample states. We present three use cases, including one that leverages the high cooling rate of 104 K s-1 achievable by this setup. Our demonstration opens the door to various applications in materials science where understanding the interplay between structure and thermodynamics is crucial.

求助全文
通过发布文献求助,成功后即可免费获取论文全文。 去求助
来源期刊
Journal of Synchrotron Radiation
Journal of Synchrotron Radiation INSTRUMENTS & INSTRUMENTATIONOPTICS&-OPTICS
CiteScore
5.60
自引率
12.00%
发文量
289
审稿时长
1 months
期刊介绍: Synchrotron radiation research is rapidly expanding with many new sources of radiation being created globally. Synchrotron radiation plays a leading role in pure science and in emerging technologies. The Journal of Synchrotron Radiation provides comprehensive coverage of the entire field of synchrotron radiation and free-electron laser research including instrumentation, theory, computing and scientific applications in areas such as biology, nanoscience and materials science. Rapid publication ensures an up-to-date information resource for scientists and engineers in the field.
×
引用
GB/T 7714-2015
复制
MLA
复制
APA
复制
导出至
BibTeX EndNote RefMan NoteFirst NoteExpress
×
提示
您的信息不完整,为了账户安全,请先补充。
现在去补充
×
提示
您因"违规操作"
具体请查看互助需知
我知道了
×
提示
确定
请完成安全验证×
copy
已复制链接
快去分享给好友吧!
我知道了
右上角分享
点击右上角分享
0
联系我们:info@booksci.cn Book学术提供免费学术资源搜索服务,方便国内外学者检索中英文文献。致力于提供最便捷和优质的服务体验。 Copyright © 2023 布克学术 All rights reserved.
京ICP备2023020795号-1
ghs 京公网安备 11010802042870号
Book学术文献互助
Book学术文献互助群
群 号:604180095
Book学术官方微信