在巴西肝移植的背景下,使用倾向评分匹配来减少经济评估中的偏差。

IF 0.9 Q2 MEDICINE, GENERAL & INTERNAL
Einstein-Sao Paulo Pub Date : 2025-07-18 eCollection Date: 2025-01-01 DOI:10.31744/einstein_journal/2025AO1329
Leandro Seiti Anazawa, Giulia Osório Santana, Roseli Fernandes Rodrigues Amaral da Cunha, Lucas Reis Correia
{"title":"在巴西肝移植的背景下,使用倾向评分匹配来减少经济评估中的偏差。","authors":"Leandro Seiti Anazawa, Giulia Osório Santana, Roseli Fernandes Rodrigues Amaral da Cunha, Lucas Reis Correia","doi":"10.31744/einstein_journal/2025AO1329","DOIUrl":null,"url":null,"abstract":"<p><strong>Objective: </strong>To estimate the incremental cost and survival of patients on the liver transplantation waiting list who were referred for transplantation.</p><p><strong>Methods: </strong>We analyzed a cohort of 883 patients who underwent liver transplantation within the Support Program for the Institutional Development of the Unified Health System in Brazil between 2010 and 2022. Median survival was assessed using the Kaplan-Meier method and parametric extrapolation of the survival curve. A bottom-up micro-costing approach was used to direct medical hospital costs. We conducted an economic evaluation comparing patients who received transplant with those who were listed to assess the potential of propensity score matching in reducing bias in this context.</p><p><strong>Results: </strong>The economic evaluation revealed a median survival of 15.54 and 1.07 years and a mean cost of US$ purchasing power parity of 162,821.96 and 39,044.79 for patients who received transplant and listed patients, respectively. A reduction in survival and an increase in mean costs for the listed patients were observed following propensity score matching.</p><p><strong>Conclusion: </strong>A direct comparison of survival and costs between the two patient groups may lead to biased estimates of the incremental survival or costs associated with referring a patient for a liver transplantation procedure. Propensity score matching reduces the bias from differences in health status between these two patient groups, enabling more accurate estimates of the incremental survival and cost associated with referring a patient for transplantation.</p><p><strong>Background: </strong>Anazawa et al. show that matching methodologies are beneficial in health economic evaluations to reduce the bias originating from sample selection. The cost-effectiveness of the liver transplantation procedure improved after sample balancing.</p><p><strong>Background: </strong>■ Matching methodologies may reduce bias in economic evaluations.</p><p><strong>Background: </strong>■ Liver transplantation within the Proadi-SUS context has an incremental cost-effectiveness ratio below the Health Technology Incorporation in the Brazilian Health System threshold.</p><p><strong>Background: </strong>■ The patients who received transplant had a median survival of 10.1 years after list enrollment.</p><p><strong>Background: </strong>■ The mean cost per transplanted patient was US$ PPP 162,821.96.</p>","PeriodicalId":47359,"journal":{"name":"Einstein-Sao Paulo","volume":"23 ","pages":"eAO1329"},"PeriodicalIF":0.9000,"publicationDate":"2025-07-18","publicationTypes":"Journal Article","fieldsOfStudy":null,"isOpenAccess":false,"openAccessPdf":"https://www.ncbi.nlm.nih.gov/pmc/articles/PMC12266840/pdf/","citationCount":"0","resultStr":"{\"title\":\"Use of propensity score matching to reduce bias in economic evaluations in the context of Brazilian liver transplantation.\",\"authors\":\"Leandro Seiti Anazawa, Giulia Osório Santana, Roseli Fernandes Rodrigues Amaral da Cunha, Lucas Reis Correia\",\"doi\":\"10.31744/einstein_journal/2025AO1329\",\"DOIUrl\":null,\"url\":null,\"abstract\":\"<p><strong>Objective: </strong>To estimate the incremental cost and survival of patients on the liver transplantation waiting list who were referred for transplantation.</p><p><strong>Methods: </strong>We analyzed a cohort of 883 patients who underwent liver transplantation within the Support Program for the Institutional Development of the Unified Health System in Brazil between 2010 and 2022. Median survival was assessed using the Kaplan-Meier method and parametric extrapolation of the survival curve. A bottom-up micro-costing approach was used to direct medical hospital costs. We conducted an economic evaluation comparing patients who received transplant with those who were listed to assess the potential of propensity score matching in reducing bias in this context.</p><p><strong>Results: </strong>The economic evaluation revealed a median survival of 15.54 and 1.07 years and a mean cost of US$ purchasing power parity of 162,821.96 and 39,044.79 for patients who received transplant and listed patients, respectively. A reduction in survival and an increase in mean costs for the listed patients were observed following propensity score matching.</p><p><strong>Conclusion: </strong>A direct comparison of survival and costs between the two patient groups may lead to biased estimates of the incremental survival or costs associated with referring a patient for a liver transplantation procedure. Propensity score matching reduces the bias from differences in health status between these two patient groups, enabling more accurate estimates of the incremental survival and cost associated with referring a patient for transplantation.</p><p><strong>Background: </strong>Anazawa et al. show that matching methodologies are beneficial in health economic evaluations to reduce the bias originating from sample selection. The cost-effectiveness of the liver transplantation procedure improved after sample balancing.</p><p><strong>Background: </strong>■ Matching methodologies may reduce bias in economic evaluations.</p><p><strong>Background: </strong>■ Liver transplantation within the Proadi-SUS context has an incremental cost-effectiveness ratio below the Health Technology Incorporation in the Brazilian Health System threshold.</p><p><strong>Background: </strong>■ The patients who received transplant had a median survival of 10.1 years after list enrollment.</p><p><strong>Background: </strong>■ The mean cost per transplanted patient was US$ PPP 162,821.96.</p>\",\"PeriodicalId\":47359,\"journal\":{\"name\":\"Einstein-Sao Paulo\",\"volume\":\"23 \",\"pages\":\"eAO1329\"},\"PeriodicalIF\":0.9000,\"publicationDate\":\"2025-07-18\",\"publicationTypes\":\"Journal Article\",\"fieldsOfStudy\":null,\"isOpenAccess\":false,\"openAccessPdf\":\"https://www.ncbi.nlm.nih.gov/pmc/articles/PMC12266840/pdf/\",\"citationCount\":\"0\",\"resultStr\":null,\"platform\":\"Semanticscholar\",\"paperid\":null,\"PeriodicalName\":\"Einstein-Sao Paulo\",\"FirstCategoryId\":\"1085\",\"ListUrlMain\":\"https://doi.org/10.31744/einstein_journal/2025AO1329\",\"RegionNum\":0,\"RegionCategory\":null,\"ArticlePicture\":[],\"TitleCN\":null,\"AbstractTextCN\":null,\"PMCID\":null,\"EPubDate\":\"2025/1/1 0:00:00\",\"PubModel\":\"eCollection\",\"JCR\":\"Q2\",\"JCRName\":\"MEDICINE, GENERAL & INTERNAL\",\"Score\":null,\"Total\":0}","platform":"Semanticscholar","paperid":null,"PeriodicalName":"Einstein-Sao Paulo","FirstCategoryId":"1085","ListUrlMain":"https://doi.org/10.31744/einstein_journal/2025AO1329","RegionNum":0,"RegionCategory":null,"ArticlePicture":[],"TitleCN":null,"AbstractTextCN":null,"PMCID":null,"EPubDate":"2025/1/1 0:00:00","PubModel":"eCollection","JCR":"Q2","JCRName":"MEDICINE, GENERAL & INTERNAL","Score":null,"Total":0}
引用次数: 0

摘要

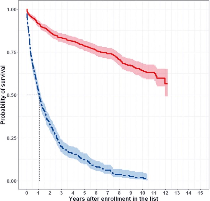
目的:评估肝移植候诊患者转介肝移植的增量成本和生存。方法:我们分析了2010年至2022年间在巴西统一卫生系统机构发展支持计划中接受肝移植的883名患者的队列。采用Kaplan-Meier法和生存曲线的参数外推法评估中位生存期。采用自下而上的微观成本核算方法指导医疗医院费用。我们进行了一项经济评估,比较了接受移植的患者和那些被列入名单的患者,以评估在这种情况下倾向评分匹配在减少偏倚方面的潜力。结果:经济评估显示,接受移植的患者和上市患者的中位生存期分别为15.54年和1.07年,平均购买力平价成本分别为162,821.96美元和39,044.79美元。在倾向评分匹配后,观察到所列患者的生存率降低和平均费用增加。结论:直接比较两组患者的生存和成本可能会导致对转介患者进行肝移植手术相关的增量生存或成本的估计有偏差。倾向评分匹配减少了这两组患者之间健康状况差异的偏差,从而能够更准确地估计转介患者进行移植相关的增量生存和成本。背景:Anazawa等人表明,匹配方法在卫生经济评估中有助于减少样本选择产生的偏差。样本平衡后,肝移植手术的成本效益得到改善。背景:■匹配方法可以减少经济评估中的偏差。■在Proadi-SUS的背景下,肝移植的增量成本-效果比低于巴西卫生系统卫生技术公司阈值。背景:接受移植的患者在入组后的中位生存期为10.1年。背景:每名移植患者的平均成本为162,821.96美元。
本文章由计算机程序翻译,如有差异,请以英文原文为准。

Use of propensity score matching to reduce bias in economic evaluations in the context of Brazilian liver transplantation.

Use of propensity score matching to reduce bias in economic evaluations in the context of Brazilian liver transplantation.

Use of propensity score matching to reduce bias in economic evaluations in the context of Brazilian liver transplantation.

Use of propensity score matching to reduce bias in economic evaluations in the context of Brazilian liver transplantation.

Objective: To estimate the incremental cost and survival of patients on the liver transplantation waiting list who were referred for transplantation.

Methods: We analyzed a cohort of 883 patients who underwent liver transplantation within the Support Program for the Institutional Development of the Unified Health System in Brazil between 2010 and 2022. Median survival was assessed using the Kaplan-Meier method and parametric extrapolation of the survival curve. A bottom-up micro-costing approach was used to direct medical hospital costs. We conducted an economic evaluation comparing patients who received transplant with those who were listed to assess the potential of propensity score matching in reducing bias in this context.

Results: The economic evaluation revealed a median survival of 15.54 and 1.07 years and a mean cost of US$ purchasing power parity of 162,821.96 and 39,044.79 for patients who received transplant and listed patients, respectively. A reduction in survival and an increase in mean costs for the listed patients were observed following propensity score matching.

Conclusion: A direct comparison of survival and costs between the two patient groups may lead to biased estimates of the incremental survival or costs associated with referring a patient for a liver transplantation procedure. Propensity score matching reduces the bias from differences in health status between these two patient groups, enabling more accurate estimates of the incremental survival and cost associated with referring a patient for transplantation.

Background: Anazawa et al. show that matching methodologies are beneficial in health economic evaluations to reduce the bias originating from sample selection. The cost-effectiveness of the liver transplantation procedure improved after sample balancing.

Background: ■ Matching methodologies may reduce bias in economic evaluations.

Background: ■ Liver transplantation within the Proadi-SUS context has an incremental cost-effectiveness ratio below the Health Technology Incorporation in the Brazilian Health System threshold.

Background: ■ The patients who received transplant had a median survival of 10.1 years after list enrollment.

Background: ■ The mean cost per transplanted patient was US$ PPP 162,821.96.

求助全文
通过发布文献求助,成功后即可免费获取论文全文。 去求助
来源期刊
Einstein-Sao Paulo
Einstein-Sao Paulo MEDICINE, GENERAL & INTERNAL-
CiteScore
2.00
自引率
0.00%
发文量
210
审稿时长
38 weeks
×
引用
GB/T 7714-2015
复制
MLA
复制
APA
复制
导出至
BibTeX EndNote RefMan NoteFirst NoteExpress
×
提示
您的信息不完整,为了账户安全,请先补充。
现在去补充
×
提示
您因"违规操作"
具体请查看互助需知
我知道了
×
提示
确定
请完成安全验证×
copy
已复制链接
快去分享给好友吧!
我知道了
右上角分享
点击右上角分享
0
联系我们:info@booksci.cn Book学术提供免费学术资源搜索服务,方便国内外学者检索中英文文献。致力于提供最便捷和优质的服务体验。 Copyright © 2023 布克学术 All rights reserved.
京ICP备2023020795号-1
ghs 京公网安备 11010802042870号
Book学术文献互助
Book学术文献互助群
群 号:604180095
Book学术官方微信