无创经颅多普勒血流动力学监测。

IF 2 4区 医学 Q3 PHYSIOLOGY
Physiological research Pub Date : 2025-07-23
P Scheer, J Hložková, E Brhelová, A Aksu, S Goliášová, J Doležalová, L Tlučhořová, R Mikulík
{"title":"无创经颅多普勒血流动力学监测。","authors":"P Scheer, J Hložková, E Brhelová, A Aksu, S Goliášová, J Doležalová, L Tlučhořová, R Mikulík","doi":"","DOIUrl":null,"url":null,"abstract":"<p><p>The successful development and testing of new thrombolytics in animal models requires monitoring of hemodynamic changes in cerebral circulation before and after stroke. The purpose of the present study was to document that percutaneous transcranial Doppler (TCD) monitoring is able to differentiate two hemodynamic situations induced with two anesthetic protocols. Twelve adult rats divided into two groups underwent general anesthesia (60 min) using combination: 1) ketamine-xylazine-diazepam (KXD); and 2) ketamine-xylazine-urethane-alpha-chloralose (URACH). The TCD was performed with the skin and skull intact. The heart rate, peak systolic velocity, pulsatility index, and resistance index were recorded in a branch of the posterior cerebral artery. Flow detection and measurement was possible in all rat brains bilaterally. The mean heart rate was lower in the KXD 243+/-4 (range: 238 to 249) than in the URACH group 265+/-12 (range: 250 to 279), the difference between means: 22; 95 % CI [8 to 34], p=0.005) only for the first 20 min of monitoring. Peak systolic velocity was lower in the KXD 73.4+/-3.3 mm/s (range 70.3 to 76.5) vs. URACH group 93.7+/-4.0 mm/s (range: 90.0 to 97.4) during the entire observation period (difference between means: 20; 95 % CI [16 to 25], p<0.001). Same difference was observed for pulsatility and resistance indexes. TCD was able to differentiate hemodynamic changes in the rat brains, making the TCD suitable for monitoring of hemodynamic changes and explores, e.g. how such changes contribute to hemorrhagic transformation after thrombolysis. Also, TCD holds promise as a tool for monitoring of recanalization induced by thrombolytics. Key words Non-invasive monitoring \" Brain flow velocity \" Anesthesia \" Animal model.</p>","PeriodicalId":20235,"journal":{"name":"Physiological research","volume":"74 3","pages":"393-401"},"PeriodicalIF":2.0000,"publicationDate":"2025-07-23","publicationTypes":"Journal Article","fieldsOfStudy":null,"isOpenAccess":false,"openAccessPdf":"https://www.ncbi.nlm.nih.gov/pmc/articles/PMC12462707/pdf/","citationCount":"0","resultStr":"{\"title\":\"The non-invasive transcranial Doppler for hemodynamic monitoring.\",\"authors\":\"P Scheer, J Hložková, E Brhelová, A Aksu, S Goliášová, J Doležalová, L Tlučhořová, R Mikulík\",\"doi\":\"\",\"DOIUrl\":null,\"url\":null,\"abstract\":\"<p><p>The successful development and testing of new thrombolytics in animal models requires monitoring of hemodynamic changes in cerebral circulation before and after stroke. The purpose of the present study was to document that percutaneous transcranial Doppler (TCD) monitoring is able to differentiate two hemodynamic situations induced with two anesthetic protocols. Twelve adult rats divided into two groups underwent general anesthesia (60 min) using combination: 1) ketamine-xylazine-diazepam (KXD); and 2) ketamine-xylazine-urethane-alpha-chloralose (URACH). The TCD was performed with the skin and skull intact. The heart rate, peak systolic velocity, pulsatility index, and resistance index were recorded in a branch of the posterior cerebral artery. Flow detection and measurement was possible in all rat brains bilaterally. The mean heart rate was lower in the KXD 243+/-4 (range: 238 to 249) than in the URACH group 265+/-12 (range: 250 to 279), the difference between means: 22; 95 % CI [8 to 34], p=0.005) only for the first 20 min of monitoring. Peak systolic velocity was lower in the KXD 73.4+/-3.3 mm/s (range 70.3 to 76.5) vs. URACH group 93.7+/-4.0 mm/s (range: 90.0 to 97.4) during the entire observation period (difference between means: 20; 95 % CI [16 to 25], p<0.001). Same difference was observed for pulsatility and resistance indexes. TCD was able to differentiate hemodynamic changes in the rat brains, making the TCD suitable for monitoring of hemodynamic changes and explores, e.g. how such changes contribute to hemorrhagic transformation after thrombolysis. Also, TCD holds promise as a tool for monitoring of recanalization induced by thrombolytics. Key words Non-invasive monitoring \\\" Brain flow velocity \\\" Anesthesia \\\" Animal model.</p>\",\"PeriodicalId\":20235,\"journal\":{\"name\":\"Physiological research\",\"volume\":\"74 3\",\"pages\":\"393-401\"},\"PeriodicalIF\":2.0000,\"publicationDate\":\"2025-07-23\",\"publicationTypes\":\"Journal Article\",\"fieldsOfStudy\":null,\"isOpenAccess\":false,\"openAccessPdf\":\"https://www.ncbi.nlm.nih.gov/pmc/articles/PMC12462707/pdf/\",\"citationCount\":\"0\",\"resultStr\":null,\"platform\":\"Semanticscholar\",\"paperid\":null,\"PeriodicalName\":\"Physiological research\",\"FirstCategoryId\":\"3\",\"ListUrlMain\":\"\",\"RegionNum\":4,\"RegionCategory\":\"医学\",\"ArticlePicture\":[],\"TitleCN\":null,\"AbstractTextCN\":null,\"PMCID\":null,\"EPubDate\":\"\",\"PubModel\":\"\",\"JCR\":\"Q3\",\"JCRName\":\"PHYSIOLOGY\",\"Score\":null,\"Total\":0}","platform":"Semanticscholar","paperid":null,"PeriodicalName":"Physiological research","FirstCategoryId":"3","ListUrlMain":"","RegionNum":4,"RegionCategory":"医学","ArticlePicture":[],"TitleCN":null,"AbstractTextCN":null,"PMCID":null,"EPubDate":"","PubModel":"","JCR":"Q3","JCRName":"PHYSIOLOGY","Score":null,"Total":0}
引用次数: 0

摘要

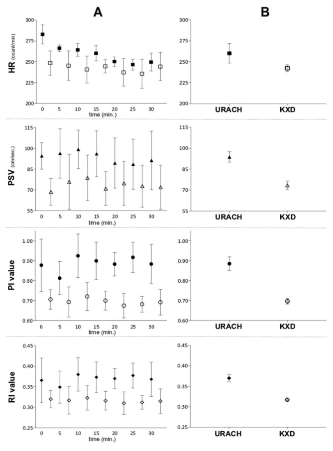
在动物模型中成功开发和测试新的溶栓药物需要监测脑卒中前后脑循环的血流动力学变化。本研究的目的是证明经皮经颅多普勒(TCD)监测能够区分两种麻醉方案引起的两种血流动力学情况。12只成年大鼠随机分为两组,给予全身麻醉(60 min): 1)氯胺酮-噻嗪-地西泮(KXD);2)氯胺酮-甲基嗪-氨基脲-氯醛(URACH)。TCD是在皮肤和颅骨完整的情况下进行的。在大脑后动脉的一个分支记录心率、峰值收缩速度、脉搏指数和阻力指数。在所有大鼠的双侧大脑中都可以检测和测量血流。KXD组243+/-4(范围:238至249)的平均心率低于URACH组265+/-12(范围:250至279),平均值差:22;95% CI [8 ~ 34], p=0.005),仅监测前20分钟。在整个观察期间,KXD组的峰值收缩速度为73.4+/-3.3 mm/s(范围为70.3至76.5)低于URACH组的93.7+/-4.0 mm/s(范围为90.0至97.4)(平均值差:20;95% CI [16 ~ 25], p
本文章由计算机程序翻译,如有差异,请以英文原文为准。

The non-invasive transcranial Doppler for hemodynamic monitoring.

The non-invasive transcranial Doppler for hemodynamic monitoring.

The non-invasive transcranial Doppler for hemodynamic monitoring.

The successful development and testing of new thrombolytics in animal models requires monitoring of hemodynamic changes in cerebral circulation before and after stroke. The purpose of the present study was to document that percutaneous transcranial Doppler (TCD) monitoring is able to differentiate two hemodynamic situations induced with two anesthetic protocols. Twelve adult rats divided into two groups underwent general anesthesia (60 min) using combination: 1) ketamine-xylazine-diazepam (KXD); and 2) ketamine-xylazine-urethane-alpha-chloralose (URACH). The TCD was performed with the skin and skull intact. The heart rate, peak systolic velocity, pulsatility index, and resistance index were recorded in a branch of the posterior cerebral artery. Flow detection and measurement was possible in all rat brains bilaterally. The mean heart rate was lower in the KXD 243+/-4 (range: 238 to 249) than in the URACH group 265+/-12 (range: 250 to 279), the difference between means: 22; 95 % CI [8 to 34], p=0.005) only for the first 20 min of monitoring. Peak systolic velocity was lower in the KXD 73.4+/-3.3 mm/s (range 70.3 to 76.5) vs. URACH group 93.7+/-4.0 mm/s (range: 90.0 to 97.4) during the entire observation period (difference between means: 20; 95 % CI [16 to 25], p<0.001). Same difference was observed for pulsatility and resistance indexes. TCD was able to differentiate hemodynamic changes in the rat brains, making the TCD suitable for monitoring of hemodynamic changes and explores, e.g. how such changes contribute to hemorrhagic transformation after thrombolysis. Also, TCD holds promise as a tool for monitoring of recanalization induced by thrombolytics. Key words Non-invasive monitoring " Brain flow velocity " Anesthesia " Animal model.

求助全文
通过发布文献求助,成功后即可免费获取论文全文。 去求助
来源期刊
Physiological research
Physiological research 医学-生理学
CiteScore
4.00
自引率
4.80%
发文量
108
审稿时长
3 months
期刊介绍: Physiological Research is a peer reviewed Open Access journal that publishes articles on normal and pathological physiology, biochemistry, biophysics, and pharmacology. Authors can submit original, previously unpublished research articles, review articles, rapid or short communications. Instructions for Authors - Respect the instructions carefully when submitting your manuscript. Submitted manuscripts or revised manuscripts that do not follow these Instructions will not be included into the peer-review process. The articles are available in full versions as pdf files beginning with volume 40, 1991. The journal publishes the online Ahead of Print /Pre-Press version of the articles that are searchable in Medline and can be cited.
×
引用
GB/T 7714-2015
复制
MLA
复制
APA
复制
导出至
BibTeX EndNote RefMan NoteFirst NoteExpress
×
提示
您的信息不完整,为了账户安全,请先补充。
现在去补充
×
提示
您因"违规操作"
具体请查看互助需知
我知道了
×
提示
确定
请完成安全验证×
copy
已复制链接
快去分享给好友吧!
我知道了
右上角分享
点击右上角分享
0
联系我们:info@booksci.cn Book学术提供免费学术资源搜索服务,方便国内外学者检索中英文文献。致力于提供最便捷和优质的服务体验。 Copyright © 2023 布克学术 All rights reserved.
京ICP备2023020795号-1
ghs 京公网安备 11010802042870号
Book学术文献互助
Book学术文献互助群
群 号:604180095
Book学术官方微信