牙髓和根尖疾病的全基因组关联研究

IF 15.7 1区 综合性期刊 Q1 MULTIDISCIPLINARY SCIENCES
Aino Salminen, Kati Hyvärinen, Jarmo Ritari, Jussi M. Leppilahti, Ulla Palotie, Ville Vuollo, Oleg Kambur, Kadri Reis, Anu Reigo, Priit Palta, Markus Perola, Juha Sinisalo, Aki S. Havulinna, Päivi Mäntylä, Ulvi Kahraman Gürsoy, A. Liisa Suominen, David P. Rice, Vuokko Anttonen, Pekka Nieminen, Pirkko J. Pussinen
{"title":"牙髓和根尖疾病的全基因组关联研究","authors":"Aino Salminen, Kati Hyvärinen, Jarmo Ritari, Jussi M. Leppilahti, Ulla Palotie, Ville Vuollo, Oleg Kambur, Kadri Reis, Anu Reigo, Priit Palta, Markus Perola, Juha Sinisalo, Aki S. Havulinna, Päivi Mäntylä, Ulvi Kahraman Gürsoy, A. Liisa Suominen, David P. Rice, Vuokko Anttonen, Pekka Nieminen, Pirkko J. Pussinen","doi":"10.1038/s41467-025-61721-1","DOIUrl":null,"url":null,"abstract":"<p>Infections of the dental pulp are common sequelae of microbial activity and host susceptibility, affecting &gt;80% of adult population. We performed a genome-wide association study on endodontic infections utilizing Finnish health registry and genotype data from FinnGen. Cases [132,124 (27.2%)] had at least one ICD10-diagnosis code of pulpal or apical diseases, whereas 353,106 individuals without diagnoses served as controls. We investigated two clinical sub-phenotypes, Pulpitis and Necrosis of pulp or apical periodontitis. Our analysis resulted in significant associations in 12 chromosomes and 15 independent loci, such as those near HORMAD2 gene and those in the HLA region. The imputed HLA alleles, especially DRB1 * 04:01 and DQB1 * 03:01, were associated with endodontic infections. Bioinformatic analysis of the top variants indicated several potential regulatory variants which are involved in MHC class II protein complex, humoral immune responses, and antigen processing. Our study widens understanding on how immune dysregulation resulting from immunogenetic variation is involved in the pathogenesis of endodontic infections.</p>","PeriodicalId":19066,"journal":{"name":"Nature Communications","volume":"14 1","pages":""},"PeriodicalIF":15.7000,"publicationDate":"2025-07-23","publicationTypes":"Journal Article","fieldsOfStudy":null,"isOpenAccess":false,"openAccessPdf":"","citationCount":"0","resultStr":"{\"title\":\"Genome-wide association study of pulpal and apical diseases\",\"authors\":\"Aino Salminen, Kati Hyvärinen, Jarmo Ritari, Jussi M. Leppilahti, Ulla Palotie, Ville Vuollo, Oleg Kambur, Kadri Reis, Anu Reigo, Priit Palta, Markus Perola, Juha Sinisalo, Aki S. Havulinna, Päivi Mäntylä, Ulvi Kahraman Gürsoy, A. Liisa Suominen, David P. Rice, Vuokko Anttonen, Pekka Nieminen, Pirkko J. Pussinen\",\"doi\":\"10.1038/s41467-025-61721-1\",\"DOIUrl\":null,\"url\":null,\"abstract\":\"<p>Infections of the dental pulp are common sequelae of microbial activity and host susceptibility, affecting &gt;80% of adult population. We performed a genome-wide association study on endodontic infections utilizing Finnish health registry and genotype data from FinnGen. Cases [132,124 (27.2%)] had at least one ICD10-diagnosis code of pulpal or apical diseases, whereas 353,106 individuals without diagnoses served as controls. We investigated two clinical sub-phenotypes, Pulpitis and Necrosis of pulp or apical periodontitis. Our analysis resulted in significant associations in 12 chromosomes and 15 independent loci, such as those near HORMAD2 gene and those in the HLA region. The imputed HLA alleles, especially DRB1 * 04:01 and DQB1 * 03:01, were associated with endodontic infections. Bioinformatic analysis of the top variants indicated several potential regulatory variants which are involved in MHC class II protein complex, humoral immune responses, and antigen processing. Our study widens understanding on how immune dysregulation resulting from immunogenetic variation is involved in the pathogenesis of endodontic infections.</p>\",\"PeriodicalId\":19066,\"journal\":{\"name\":\"Nature Communications\",\"volume\":\"14 1\",\"pages\":\"\"},\"PeriodicalIF\":15.7000,\"publicationDate\":\"2025-07-23\",\"publicationTypes\":\"Journal Article\",\"fieldsOfStudy\":null,\"isOpenAccess\":false,\"openAccessPdf\":\"\",\"citationCount\":\"0\",\"resultStr\":null,\"platform\":\"Semanticscholar\",\"paperid\":null,\"PeriodicalName\":\"Nature Communications\",\"FirstCategoryId\":\"103\",\"ListUrlMain\":\"https://doi.org/10.1038/s41467-025-61721-1\",\"RegionNum\":1,\"RegionCategory\":\"综合性期刊\",\"ArticlePicture\":[],\"TitleCN\":null,\"AbstractTextCN\":null,\"PMCID\":null,\"EPubDate\":\"\",\"PubModel\":\"\",\"JCR\":\"Q1\",\"JCRName\":\"MULTIDISCIPLINARY SCIENCES\",\"Score\":null,\"Total\":0}","platform":"Semanticscholar","paperid":null,"PeriodicalName":"Nature Communications","FirstCategoryId":"103","ListUrlMain":"https://doi.org/10.1038/s41467-025-61721-1","RegionNum":1,"RegionCategory":"综合性期刊","ArticlePicture":[],"TitleCN":null,"AbstractTextCN":null,"PMCID":null,"EPubDate":"","PubModel":"","JCR":"Q1","JCRName":"MULTIDISCIPLINARY SCIENCES","Score":null,"Total":0}
引用次数: 0

摘要

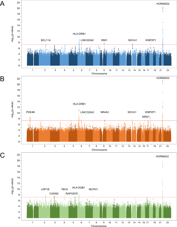
牙髓感染是微生物活动和宿主敏感性的常见后遗症,影响着80%的成年人。我们利用芬兰健康登记和FinnGen的基因型数据对牙髓感染进行了全基因组关联研究。132,124例(27.2%)至少有一种牙髓或根尖疾病的icd10诊断代码,而未诊断的353,106例作为对照组。我们研究了两种临床亚表型,牙髓炎和牙髓坏死或根尖牙周炎。我们的分析结果显示,在12条染色体和15个独立的基因座中存在显著的相关性,例如那些靠近HORMAD2基因的基因座和那些位于HLA区域的基因座。HLA等位基因与牙髓感染相关,尤其是DRB1 * 04:01和DQB1 * 03:01。生物信息学分析表明,一些潜在的调控变异涉及MHC II类蛋白复合物、体液免疫反应和抗原处理。我们的研究扩大了对免疫遗传变异导致的免疫失调如何参与牙髓感染发病机制的理解。
本文章由计算机程序翻译,如有差异,请以英文原文为准。

Genome-wide association study of pulpal and apical diseases

Genome-wide association study of pulpal and apical diseases

Infections of the dental pulp are common sequelae of microbial activity and host susceptibility, affecting >80% of adult population. We performed a genome-wide association study on endodontic infections utilizing Finnish health registry and genotype data from FinnGen. Cases [132,124 (27.2%)] had at least one ICD10-diagnosis code of pulpal or apical diseases, whereas 353,106 individuals without diagnoses served as controls. We investigated two clinical sub-phenotypes, Pulpitis and Necrosis of pulp or apical periodontitis. Our analysis resulted in significant associations in 12 chromosomes and 15 independent loci, such as those near HORMAD2 gene and those in the HLA region. The imputed HLA alleles, especially DRB1 * 04:01 and DQB1 * 03:01, were associated with endodontic infections. Bioinformatic analysis of the top variants indicated several potential regulatory variants which are involved in MHC class II protein complex, humoral immune responses, and antigen processing. Our study widens understanding on how immune dysregulation resulting from immunogenetic variation is involved in the pathogenesis of endodontic infections.

求助全文
通过发布文献求助,成功后即可免费获取论文全文。 去求助
来源期刊
Nature Communications
Nature Communications Biological Science Disciplines-
CiteScore
24.90
自引率
2.40%
发文量
6928
审稿时长
3.7 months
期刊介绍: Nature Communications, an open-access journal, publishes high-quality research spanning all areas of the natural sciences. Papers featured in the journal showcase significant advances relevant to specialists in each respective field. With a 2-year impact factor of 16.6 (2022) and a median time of 8 days from submission to the first editorial decision, Nature Communications is committed to rapid dissemination of research findings. As a multidisciplinary journal, it welcomes contributions from biological, health, physical, chemical, Earth, social, mathematical, applied, and engineering sciences, aiming to highlight important breakthroughs within each domain.
×
引用
GB/T 7714-2015
复制
MLA
复制
APA
复制
导出至
BibTeX EndNote RefMan NoteFirst NoteExpress
×
提示
您的信息不完整,为了账户安全,请先补充。
现在去补充
×
提示
您因"违规操作"
具体请查看互助需知
我知道了
×
提示
确定
请完成安全验证×
copy
已复制链接
快去分享给好友吧!
我知道了
右上角分享
点击右上角分享
0
联系我们:info@booksci.cn Book学术提供免费学术资源搜索服务,方便国内外学者检索中英文文献。致力于提供最便捷和优质的服务体验。 Copyright © 2023 布克学术 All rights reserved.
京ICP备2023020795号-1
ghs 京公网安备 11010802042870号
Book学术文献互助
Book学术文献互助群
群 号:604180095
Book学术官方微信