数字认知行为疗法是否能将工人的失眠和抑郁改善到健康水平?公开审判。

IF 2.4 4区 医学 Q2 PSYCHIATRY
Isa Okajima, Miho Suzuki, Noriko Tanizawa, Ikuo Kajiyama, Reiko Ichikawa, Jou Akitomi
{"title":"数字认知行为疗法是否能将工人的失眠和抑郁改善到健康水平?公开审判。","authors":"Isa Okajima, Miho Suzuki, Noriko Tanizawa, Ikuo Kajiyama, Reiko Ichikawa, Jou Akitomi","doi":"10.1186/s13030-025-00334-y","DOIUrl":null,"url":null,"abstract":"<p><strong>Background: </strong>Cognitive behavioral therapy for insomnia (CBT-I) has a high potential for improving insomnia and depressive symptoms; however, it is unclear whether the improvement of symptoms reaches the level of healthy people without these symptoms. We aimed to examine whether digital CBT-I can improve the insomnia and depression symptoms of workers to healthy levels.</p><p><strong>Methods: </strong>The study included 752 workers who were divided into four groups by the use of the cutoff scores of insomnia and depression scales: insomnia alone, depression alone, combined insomnia with depression (COMB), and healthy. All groups were administered digital CBT-I for 2 weeks, and changes were compared post-treatment and at 1- and 3-month follow-ups.</p><p><strong>Results: </strong>A significant decrease in insomnia symptoms from post-treatment to the 3-month follow-up was found in the insomnia alone (Hedges' g: 1.07-1.52) and COMB groups (g: 1.17-1.41). The COMB group also showed a significant decrease in depressive symptoms (g: 0.38-0.70). Moreover, there were significant differences in insomnia symptoms between both of the insomnia groups and the healthy group and in depressive symptoms between the COMB group and the healthy group, post-treatment and at the 1- and 3-month follow-ups.</p><p><strong>Conclusions: </strong>Digital CBT-I effectively reduced insomnia and depressive symptoms but did not achieve the levels of healthy people within 3 months.</p><p><strong>Trial registration: </strong>UMIN, UMIN000050353. Registered 15 February 2023-Retrospectively registered, umin.ac.jp/ctr.</p>","PeriodicalId":9027,"journal":{"name":"BioPsychoSocial Medicine","volume":"19 1","pages":"13"},"PeriodicalIF":2.4000,"publicationDate":"2025-07-21","publicationTypes":"Journal Article","fieldsOfStudy":null,"isOpenAccess":false,"openAccessPdf":"https://www.ncbi.nlm.nih.gov/pmc/articles/PMC12278518/pdf/","citationCount":"0","resultStr":"{\"title\":\"Does digital cognitive behavioral therapy improve the insomnia and depression of workers to healthy levels? An open trial.\",\"authors\":\"Isa Okajima, Miho Suzuki, Noriko Tanizawa, Ikuo Kajiyama, Reiko Ichikawa, Jou Akitomi\",\"doi\":\"10.1186/s13030-025-00334-y\",\"DOIUrl\":null,\"url\":null,\"abstract\":\"<p><strong>Background: </strong>Cognitive behavioral therapy for insomnia (CBT-I) has a high potential for improving insomnia and depressive symptoms; however, it is unclear whether the improvement of symptoms reaches the level of healthy people without these symptoms. We aimed to examine whether digital CBT-I can improve the insomnia and depression symptoms of workers to healthy levels.</p><p><strong>Methods: </strong>The study included 752 workers who were divided into four groups by the use of the cutoff scores of insomnia and depression scales: insomnia alone, depression alone, combined insomnia with depression (COMB), and healthy. All groups were administered digital CBT-I for 2 weeks, and changes were compared post-treatment and at 1- and 3-month follow-ups.</p><p><strong>Results: </strong>A significant decrease in insomnia symptoms from post-treatment to the 3-month follow-up was found in the insomnia alone (Hedges' g: 1.07-1.52) and COMB groups (g: 1.17-1.41). The COMB group also showed a significant decrease in depressive symptoms (g: 0.38-0.70). Moreover, there were significant differences in insomnia symptoms between both of the insomnia groups and the healthy group and in depressive symptoms between the COMB group and the healthy group, post-treatment and at the 1- and 3-month follow-ups.</p><p><strong>Conclusions: </strong>Digital CBT-I effectively reduced insomnia and depressive symptoms but did not achieve the levels of healthy people within 3 months.</p><p><strong>Trial registration: </strong>UMIN, UMIN000050353. Registered 15 February 2023-Retrospectively registered, umin.ac.jp/ctr.</p>\",\"PeriodicalId\":9027,\"journal\":{\"name\":\"BioPsychoSocial Medicine\",\"volume\":\"19 1\",\"pages\":\"13\"},\"PeriodicalIF\":2.4000,\"publicationDate\":\"2025-07-21\",\"publicationTypes\":\"Journal Article\",\"fieldsOfStudy\":null,\"isOpenAccess\":false,\"openAccessPdf\":\"https://www.ncbi.nlm.nih.gov/pmc/articles/PMC12278518/pdf/\",\"citationCount\":\"0\",\"resultStr\":null,\"platform\":\"Semanticscholar\",\"paperid\":null,\"PeriodicalName\":\"BioPsychoSocial Medicine\",\"FirstCategoryId\":\"3\",\"ListUrlMain\":\"https://doi.org/10.1186/s13030-025-00334-y\",\"RegionNum\":4,\"RegionCategory\":\"医学\",\"ArticlePicture\":[],\"TitleCN\":null,\"AbstractTextCN\":null,\"PMCID\":null,\"EPubDate\":\"\",\"PubModel\":\"\",\"JCR\":\"Q2\",\"JCRName\":\"PSYCHIATRY\",\"Score\":null,\"Total\":0}","platform":"Semanticscholar","paperid":null,"PeriodicalName":"BioPsychoSocial Medicine","FirstCategoryId":"3","ListUrlMain":"https://doi.org/10.1186/s13030-025-00334-y","RegionNum":4,"RegionCategory":"医学","ArticlePicture":[],"TitleCN":null,"AbstractTextCN":null,"PMCID":null,"EPubDate":"","PubModel":"","JCR":"Q2","JCRName":"PSYCHIATRY","Score":null,"Total":0}
引用次数: 0

摘要

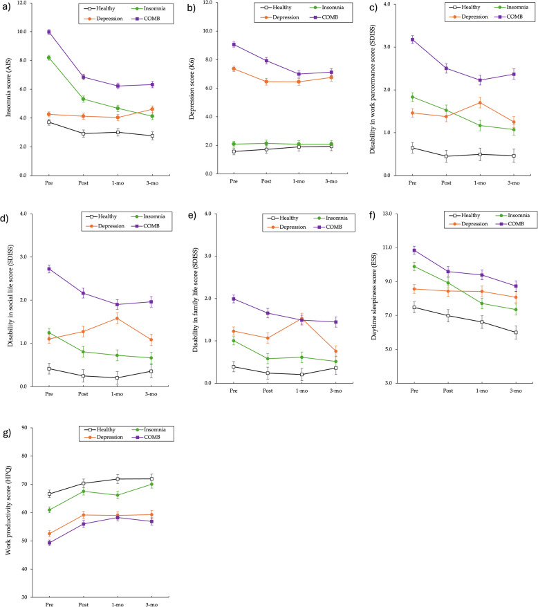
背景:认知行为治疗失眠(CBT-I)在改善失眠和抑郁症状方面具有很大的潜力;然而,目前尚不清楚症状的改善是否达到了没有这些症状的健康人的水平。我们的目的是研究数字CBT-I是否能将工人的失眠和抑郁症状改善到健康水平。方法:采用失眠与抑郁量表的截止分值将752名工人分为单纯失眠组、单纯抑郁组、失眠合并抑郁组(COMB)和健康组。所有组均给予数字CBT-I治疗2周,并比较治疗后和1个月和3个月随访时的变化。结果:从治疗后到随访3个月,失眠单独组(Hedges' g: 1.07-1.52)和COMB组(g: 1.17-1.41)失眠症状显著减少。COMB组也显示抑郁症状显著减少(g: 0.38-0.70)。此外,失眠组与健康组之间的失眠症状、COMB组与健康组之间的抑郁症状、治疗后以及1个月和3个月的随访均存在显著差异。结论:数字CBT-I有效减轻了失眠和抑郁症状,但在3个月内没有达到健康人的水平。试验注册号:UMIN, UMIN000050353。注册于2023年2月15日—追溯注册,umin.ac.jp/ctr。
本文章由计算机程序翻译,如有差异,请以英文原文为准。

Does digital cognitive behavioral therapy improve the insomnia and depression of workers to healthy levels? An open trial.

Does digital cognitive behavioral therapy improve the insomnia and depression of workers to healthy levels? An open trial.

Does digital cognitive behavioral therapy improve the insomnia and depression of workers to healthy levels? An open trial.

Does digital cognitive behavioral therapy improve the insomnia and depression of workers to healthy levels? An open trial.

Background: Cognitive behavioral therapy for insomnia (CBT-I) has a high potential for improving insomnia and depressive symptoms; however, it is unclear whether the improvement of symptoms reaches the level of healthy people without these symptoms. We aimed to examine whether digital CBT-I can improve the insomnia and depression symptoms of workers to healthy levels.

Methods: The study included 752 workers who were divided into four groups by the use of the cutoff scores of insomnia and depression scales: insomnia alone, depression alone, combined insomnia with depression (COMB), and healthy. All groups were administered digital CBT-I for 2 weeks, and changes were compared post-treatment and at 1- and 3-month follow-ups.

Results: A significant decrease in insomnia symptoms from post-treatment to the 3-month follow-up was found in the insomnia alone (Hedges' g: 1.07-1.52) and COMB groups (g: 1.17-1.41). The COMB group also showed a significant decrease in depressive symptoms (g: 0.38-0.70). Moreover, there were significant differences in insomnia symptoms between both of the insomnia groups and the healthy group and in depressive symptoms between the COMB group and the healthy group, post-treatment and at the 1- and 3-month follow-ups.

Conclusions: Digital CBT-I effectively reduced insomnia and depressive symptoms but did not achieve the levels of healthy people within 3 months.

Trial registration: UMIN, UMIN000050353. Registered 15 February 2023-Retrospectively registered, umin.ac.jp/ctr.

求助全文
通过发布文献求助,成功后即可免费获取论文全文。 去求助
来源期刊
CiteScore
3.60
自引率
0.00%
发文量
23
审稿时长
18 weeks
期刊介绍: BioPsychoSocial Medicine is an open access, peer-reviewed online journal that encompasses all aspects of the interrelationships between the biological, psychological, social, and behavioral factors of health and illness. BioPsychoSocial Medicine is the official journal of the Japanese Society of Psychosomatic Medicine, and publishes research on psychosomatic disorders and diseases that are characterized by objective organic changes and/or functional changes that could be induced, progressed, aggravated, or exacerbated by psychological, social, and/or behavioral factors and their associated psychosomatic treatments.
×
引用
GB/T 7714-2015
复制
MLA
复制
APA
复制
导出至
BibTeX EndNote RefMan NoteFirst NoteExpress
×
提示
您的信息不完整,为了账户安全,请先补充。
现在去补充
×
提示
您因"违规操作"
具体请查看互助需知
我知道了
×
提示
确定
请完成安全验证×
copy
已复制链接
快去分享给好友吧!
我知道了
右上角分享
点击右上角分享
0
联系我们:info@booksci.cn Book学术提供免费学术资源搜索服务,方便国内外学者检索中英文文献。致力于提供最便捷和优质的服务体验。 Copyright © 2023 布克学术 All rights reserved.
京ICP备2023020795号-1
ghs 京公网安备 11010802042870号
Book学术文献互助
Book学术文献互助群
群 号:604180095
Book学术官方微信