含芳基isatin席夫碱的钌(II)-芳烃配合物及其对结肠癌细胞系的影响

IF 3.7 2区 化学 Q2 CHEMISTRY, APPLIED
Aslıhan Karaer Tunçay, Yonca Gungor, Hande Karabıyık, Hulya Ayar Kayali, Hayati Türkmen
{"title":"含芳基isatin席夫碱的钌(II)-芳烃配合物及其对结肠癌细胞系的影响","authors":"Aslıhan Karaer Tunçay,&nbsp;Yonca Gungor,&nbsp;Hande Karabıyık,&nbsp;Hulya Ayar Kayali,&nbsp;Hayati Türkmen","doi":"10.1002/aoc.70320","DOIUrl":null,"url":null,"abstract":"<p>Colorectal cancer is the third most commonly diagnosed cancer worldwide. Although common treatment options, such as platinum-based chemotherapeutics, initially demonstrate efficacy, their use is limited due to extreme side effects, development of chemoresistance, and a high rate of tumor recurrence. This underscores the need for the development of more effective cancer therapeutics with lower side effects. Recently, ruthenium-based compounds have emerged as promising alternatives, as they exhibit reduced cytotoxicity against healthy cells while selectively gaining cytotoxic properties against cancer cells in hypoxic conditions. In this study, we demonstrate the anticancer activities of isatin Schiff bases, including a series of aryl-isatin Schiff base ruthenium(II)-arene complex derivatives denoted <b>Ru1–3</b>, which exhibit coordination with nitrogen and oxygen donor atoms. Among those<b>, Ru1</b> complex exhibited cytotoxic activity against SW620, Caco-2, and CCD-18Co cell lines with the IC<sub>50</sub> values of 5.36 ± 1.09, 9.64 ± 2.57, and 11.04 ± 4.08, respectively. <b>Ru1</b> complex exhibited strong binding affinity of 5.14 × 10<sup>6</sup> M<sup>−1</sup>, and the DNA interaction studies showed intercalation between complex and DNA. Complex <b>Ru2</b> was analyzed using x-ray crystallography. This major expansion of ruthenium-based Schiff base complexes highlights the importance of ligand design and demonstrates potent cytotoxic activity against colon cancer cells.</p>","PeriodicalId":8344,"journal":{"name":"Applied Organometallic Chemistry","volume":"39 8","pages":""},"PeriodicalIF":3.7000,"publicationDate":"2025-07-22","publicationTypes":"Journal Article","fieldsOfStudy":null,"isOpenAccess":false,"openAccessPdf":"https://onlinelibrary.wiley.com/doi/epdf/10.1002/aoc.70320","citationCount":"0","resultStr":"{\"title\":\"Ruthenium(II)-Arene Complexes Containing Aryl-Isatin Schiff Bases and Their Effects on Colon Cancer Cell Lines\",\"authors\":\"Aslıhan Karaer Tunçay,&nbsp;Yonca Gungor,&nbsp;Hande Karabıyık,&nbsp;Hulya Ayar Kayali,&nbsp;Hayati Türkmen\",\"doi\":\"10.1002/aoc.70320\",\"DOIUrl\":null,\"url\":null,\"abstract\":\"<p>Colorectal cancer is the third most commonly diagnosed cancer worldwide. Although common treatment options, such as platinum-based chemotherapeutics, initially demonstrate efficacy, their use is limited due to extreme side effects, development of chemoresistance, and a high rate of tumor recurrence. This underscores the need for the development of more effective cancer therapeutics with lower side effects. Recently, ruthenium-based compounds have emerged as promising alternatives, as they exhibit reduced cytotoxicity against healthy cells while selectively gaining cytotoxic properties against cancer cells in hypoxic conditions. In this study, we demonstrate the anticancer activities of isatin Schiff bases, including a series of aryl-isatin Schiff base ruthenium(II)-arene complex derivatives denoted <b>Ru1–3</b>, which exhibit coordination with nitrogen and oxygen donor atoms. Among those<b>, Ru1</b> complex exhibited cytotoxic activity against SW620, Caco-2, and CCD-18Co cell lines with the IC<sub>50</sub> values of 5.36 ± 1.09, 9.64 ± 2.57, and 11.04 ± 4.08, respectively. <b>Ru1</b> complex exhibited strong binding affinity of 5.14 × 10<sup>6</sup> M<sup>−1</sup>, and the DNA interaction studies showed intercalation between complex and DNA. Complex <b>Ru2</b> was analyzed using x-ray crystallography. This major expansion of ruthenium-based Schiff base complexes highlights the importance of ligand design and demonstrates potent cytotoxic activity against colon cancer cells.</p>\",\"PeriodicalId\":8344,\"journal\":{\"name\":\"Applied Organometallic Chemistry\",\"volume\":\"39 8\",\"pages\":\"\"},\"PeriodicalIF\":3.7000,\"publicationDate\":\"2025-07-22\",\"publicationTypes\":\"Journal Article\",\"fieldsOfStudy\":null,\"isOpenAccess\":false,\"openAccessPdf\":\"https://onlinelibrary.wiley.com/doi/epdf/10.1002/aoc.70320\",\"citationCount\":\"0\",\"resultStr\":null,\"platform\":\"Semanticscholar\",\"paperid\":null,\"PeriodicalName\":\"Applied Organometallic Chemistry\",\"FirstCategoryId\":\"92\",\"ListUrlMain\":\"https://onlinelibrary.wiley.com/doi/10.1002/aoc.70320\",\"RegionNum\":2,\"RegionCategory\":\"化学\",\"ArticlePicture\":[],\"TitleCN\":null,\"AbstractTextCN\":null,\"PMCID\":null,\"EPubDate\":\"\",\"PubModel\":\"\",\"JCR\":\"Q2\",\"JCRName\":\"CHEMISTRY, APPLIED\",\"Score\":null,\"Total\":0}","platform":"Semanticscholar","paperid":null,"PeriodicalName":"Applied Organometallic Chemistry","FirstCategoryId":"92","ListUrlMain":"https://onlinelibrary.wiley.com/doi/10.1002/aoc.70320","RegionNum":2,"RegionCategory":"化学","ArticlePicture":[],"TitleCN":null,"AbstractTextCN":null,"PMCID":null,"EPubDate":"","PubModel":"","JCR":"Q2","JCRName":"CHEMISTRY, APPLIED","Score":null,"Total":0}
引用次数: 0

摘要

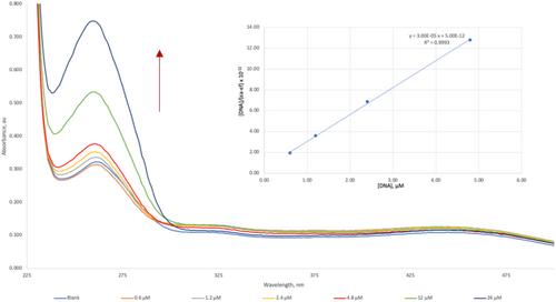
结直肠癌是全球第三大最常诊断的癌症。虽然常见的治疗方案,如铂基化疗,最初显示出疗效,但由于极端的副作用、化疗耐药性的发展和肿瘤复发率高,它们的使用受到限制。这强调了开发更有效、副作用更小的癌症治疗方法的必要性。最近,钌基化合物已成为有希望的替代品,因为它们对健康细胞的细胞毒性降低,同时在缺氧条件下选择性地获得对癌细胞的细胞毒性。在这项研究中,我们证明了isatin Schiff碱的抗癌活性,包括一系列芳基-isatin Schiff碱钌(II)-芳烃络合物衍生物Ru1-3,它们与氮和氧给体原子配合。其中Ru1复合物对SW620、Caco-2和CCD-18Co细胞株具有细胞毒活性,IC50值分别为5.36±1.09、9.64±2.57和11.04±4.08。Ru1复合物具有5.14 × 106 M−1的强结合亲和力,DNA相互作用研究表明复合物与DNA之间存在插层。用x射线晶体学对络合物Ru2进行了分析。钌基希夫碱络合物的这一主要扩展突出了配体设计的重要性,并证明了对结肠癌细胞的有效细胞毒性活性。
本文章由计算机程序翻译,如有差异,请以英文原文为准。

Ruthenium(II)-Arene Complexes Containing Aryl-Isatin Schiff Bases and Their Effects on Colon Cancer Cell Lines

Ruthenium(II)-Arene Complexes Containing Aryl-Isatin Schiff Bases and Their Effects on Colon Cancer Cell Lines

Colorectal cancer is the third most commonly diagnosed cancer worldwide. Although common treatment options, such as platinum-based chemotherapeutics, initially demonstrate efficacy, their use is limited due to extreme side effects, development of chemoresistance, and a high rate of tumor recurrence. This underscores the need for the development of more effective cancer therapeutics with lower side effects. Recently, ruthenium-based compounds have emerged as promising alternatives, as they exhibit reduced cytotoxicity against healthy cells while selectively gaining cytotoxic properties against cancer cells in hypoxic conditions. In this study, we demonstrate the anticancer activities of isatin Schiff bases, including a series of aryl-isatin Schiff base ruthenium(II)-arene complex derivatives denoted Ru1–3, which exhibit coordination with nitrogen and oxygen donor atoms. Among those, Ru1 complex exhibited cytotoxic activity against SW620, Caco-2, and CCD-18Co cell lines with the IC50 values of 5.36 ± 1.09, 9.64 ± 2.57, and 11.04 ± 4.08, respectively. Ru1 complex exhibited strong binding affinity of 5.14 × 106 M−1, and the DNA interaction studies showed intercalation between complex and DNA. Complex Ru2 was analyzed using x-ray crystallography. This major expansion of ruthenium-based Schiff base complexes highlights the importance of ligand design and demonstrates potent cytotoxic activity against colon cancer cells.

求助全文
通过发布文献求助,成功后即可免费获取论文全文。 去求助
来源期刊
Applied Organometallic Chemistry
Applied Organometallic Chemistry 化学-无机化学与核化学
CiteScore
7.80
自引率
10.30%
发文量
408
审稿时长
2.2 months
期刊介绍: All new compounds should be satisfactorily identified and proof of their structure given according to generally accepted standards. Structural reports, such as papers exclusively dealing with synthesis and characterization, analytical techniques, or X-ray diffraction studies of metal-organic or organometallic compounds will not be considered. The editors reserve the right to refuse without peer review any manuscript that does not comply with the aims and scope of the journal. Applied Organometallic Chemistry publishes Full Papers, Reviews, Mini Reviews and Communications of scientific research in all areas of organometallic and metal-organic chemistry involving main group metals, transition metals, lanthanides and actinides. All contributions should contain an explicit application of novel compounds, for instance in materials science, nano science, catalysis, chemical vapour deposition, metal-mediated organic synthesis, polymers, bio-organometallics, metallo-therapy, metallo-diagnostics and medicine. Reviews of books covering aspects of the fields of focus are also published.
×
引用
GB/T 7714-2015
复制
MLA
复制
APA
复制
导出至
BibTeX EndNote RefMan NoteFirst NoteExpress
×
提示
您的信息不完整,为了账户安全,请先补充。
现在去补充
×
提示
您因"违规操作"
具体请查看互助需知
我知道了
×
提示
确定
请完成安全验证×
copy
已复制链接
快去分享给好友吧!
我知道了
右上角分享
点击右上角分享
0
联系我们:info@booksci.cn Book学术提供免费学术资源搜索服务,方便国内外学者检索中英文文献。致力于提供最便捷和优质的服务体验。 Copyright © 2023 布克学术 All rights reserved.
京ICP备2023020795号-1
ghs 京公网安备 11010802042870号
Book学术文献互助
Book学术文献互助群
群 号:604180095
Book学术官方微信