唇垫治疗后下颌犬齿和前磨牙区域横向牙槽变化:回顾性CBCT研究。

IF 3.1 Q1 DENTISTRY, ORAL SURGERY & MEDICINE
Frontiers in oral health Pub Date : 2025-07-04 eCollection Date: 2025-01-01 DOI:10.3389/froh.2025.1605132
Jiahui Li, Normand S Boucher, Chun-Hsi Chung, Shalin Shah, Chenshuang Li
{"title":"唇垫治疗后下颌犬齿和前磨牙区域横向牙槽变化:回顾性CBCT研究。","authors":"Jiahui Li, Normand S Boucher, Chun-Hsi Chung, Shalin Shah, Chenshuang Li","doi":"10.3389/froh.2025.1605132","DOIUrl":null,"url":null,"abstract":"<p><strong>Objectives: </strong>Lip bumpers (LB) treatment has been used to expand the mandibular arch during mixed dentition. The aim of this study is to evaluate the effects of LB on the mandibular transverse changes in the canine and premolar regions using CBCT.</p><p><strong>Materials and methods: </strong>This retrospective study utilized pre- (T1) and post-treatment (T2) CBCT images from the children who were treated either with rapid maxillary expander (RME) alone (RME group) or with RME and lip bumpers (RME + LB group) for interceptive orthodontic treatment. The T1 (pre-interceptive orthodontic treatment evaluation) and T2 (pre-comprehensive orthodontic treatment evaluation) CBCT images from the children who did not go through the interceptive orthodontic treatment were used as control. The CBCT images were oriented according to the occlusal plane and the three-dimensional superimposition on the mandible of T1 and T2 images was performed in the Dolphin 3D software, followed by a series of dental and alveolar linear and angular measurements. Only the mandibular canine and premolar regions with solid primary teeth that showed root structure below the furcation bilaterally at T1 and permanent teeth fully erupted in occlusion bilaterally at T2 were included. The intergroup comparisons were performed using the Mann-Whitney <i>U</i> test.</p><p><strong>Results: </strong>As the control group did not have a sufficient number of subjects after excluding the non-qualified regions, the following comparisons were only performed and reported between the RME group and the RME + LB group. RME + LB group (<i>n</i> = 30, 9.00 ± 0.86 years old at T1, 11.99 ± 0.59 years old at T2) showed significantly more bodily buccal movement of mandibular canines and premolars than the RME group (<i>n</i> = 25, 8.72 ± 0.88 years old at T1, 12.00 ± 0.96 years old at T2), but inter-mandibular buccal surface width increase was only observed in the second premolar region. In addition, the RME + LB groups showed less buccal alveolar bone thickness and height than the RME group in the mandibular canine and first premolar regions.</p><p><strong>Conclusion: </strong>LB significantly expanded the mandibular transverse dimension dentally, with permanent canine and premolars erupting more buccally. However, it does not increase the skeletal transverse dimension of the alveolar bone at the canine and first premolar regions. Further studies are needed to evaluate the long-term effects of LB.</p>","PeriodicalId":94016,"journal":{"name":"Frontiers in oral health","volume":"6 ","pages":"1605132"},"PeriodicalIF":3.1000,"publicationDate":"2025-07-04","publicationTypes":"Journal Article","fieldsOfStudy":null,"isOpenAccess":false,"openAccessPdf":"https://www.ncbi.nlm.nih.gov/pmc/articles/PMC12271112/pdf/","citationCount":"0","resultStr":"{\"title\":\"Transverse dentoalveolar changes of mandibular canine and premolar regions after lip bumper therapy: a retrospective CBCT study.\",\"authors\":\"Jiahui Li, Normand S Boucher, Chun-Hsi Chung, Shalin Shah, Chenshuang Li\",\"doi\":\"10.3389/froh.2025.1605132\",\"DOIUrl\":null,\"url\":null,\"abstract\":\"<p><strong>Objectives: </strong>Lip bumpers (LB) treatment has been used to expand the mandibular arch during mixed dentition. The aim of this study is to evaluate the effects of LB on the mandibular transverse changes in the canine and premolar regions using CBCT.</p><p><strong>Materials and methods: </strong>This retrospective study utilized pre- (T1) and post-treatment (T2) CBCT images from the children who were treated either with rapid maxillary expander (RME) alone (RME group) or with RME and lip bumpers (RME + LB group) for interceptive orthodontic treatment. The T1 (pre-interceptive orthodontic treatment evaluation) and T2 (pre-comprehensive orthodontic treatment evaluation) CBCT images from the children who did not go through the interceptive orthodontic treatment were used as control. The CBCT images were oriented according to the occlusal plane and the three-dimensional superimposition on the mandible of T1 and T2 images was performed in the Dolphin 3D software, followed by a series of dental and alveolar linear and angular measurements. Only the mandibular canine and premolar regions with solid primary teeth that showed root structure below the furcation bilaterally at T1 and permanent teeth fully erupted in occlusion bilaterally at T2 were included. The intergroup comparisons were performed using the Mann-Whitney <i>U</i> test.</p><p><strong>Results: </strong>As the control group did not have a sufficient number of subjects after excluding the non-qualified regions, the following comparisons were only performed and reported between the RME group and the RME + LB group. RME + LB group (<i>n</i> = 30, 9.00 ± 0.86 years old at T1, 11.99 ± 0.59 years old at T2) showed significantly more bodily buccal movement of mandibular canines and premolars than the RME group (<i>n</i> = 25, 8.72 ± 0.88 years old at T1, 12.00 ± 0.96 years old at T2), but inter-mandibular buccal surface width increase was only observed in the second premolar region. In addition, the RME + LB groups showed less buccal alveolar bone thickness and height than the RME group in the mandibular canine and first premolar regions.</p><p><strong>Conclusion: </strong>LB significantly expanded the mandibular transverse dimension dentally, with permanent canine and premolars erupting more buccally. However, it does not increase the skeletal transverse dimension of the alveolar bone at the canine and first premolar regions. Further studies are needed to evaluate the long-term effects of LB.</p>\",\"PeriodicalId\":94016,\"journal\":{\"name\":\"Frontiers in oral health\",\"volume\":\"6 \",\"pages\":\"1605132\"},\"PeriodicalIF\":3.1000,\"publicationDate\":\"2025-07-04\",\"publicationTypes\":\"Journal Article\",\"fieldsOfStudy\":null,\"isOpenAccess\":false,\"openAccessPdf\":\"https://www.ncbi.nlm.nih.gov/pmc/articles/PMC12271112/pdf/\",\"citationCount\":\"0\",\"resultStr\":null,\"platform\":\"Semanticscholar\",\"paperid\":null,\"PeriodicalName\":\"Frontiers in oral health\",\"FirstCategoryId\":\"1085\",\"ListUrlMain\":\"https://doi.org/10.3389/froh.2025.1605132\",\"RegionNum\":0,\"RegionCategory\":null,\"ArticlePicture\":[],\"TitleCN\":null,\"AbstractTextCN\":null,\"PMCID\":null,\"EPubDate\":\"2025/1/1 0:00:00\",\"PubModel\":\"eCollection\",\"JCR\":\"Q1\",\"JCRName\":\"DENTISTRY, ORAL SURGERY & MEDICINE\",\"Score\":null,\"Total\":0}","platform":"Semanticscholar","paperid":null,"PeriodicalName":"Frontiers in oral health","FirstCategoryId":"1085","ListUrlMain":"https://doi.org/10.3389/froh.2025.1605132","RegionNum":0,"RegionCategory":null,"ArticlePicture":[],"TitleCN":null,"AbstractTextCN":null,"PMCID":null,"EPubDate":"2025/1/1 0:00:00","PubModel":"eCollection","JCR":"Q1","JCRName":"DENTISTRY, ORAL SURGERY & MEDICINE","Score":null,"Total":0}
引用次数: 0

摘要

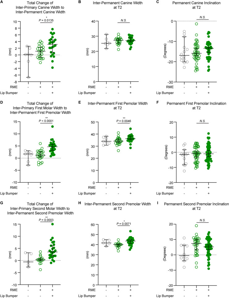
目的:唇垫(LB)治疗已被用于扩大下颌弓在混合牙列。本研究的目的是利用CBCT评估LB对下颌犬齿和前磨牙区域横向变化的影响。材料和方法:本回顾性研究利用单独使用快速上颌扩张器(RME组)或RME +唇垫(RME + LB组)治疗的儿童的T1和T2 CBCT图像进行正畸治疗。未接受截留正畸治疗的患儿的T1(预截留正畸治疗评价)和T2(预综合正畸治疗评价)CBCT图像作为对照。根据咬合平面定位CBCT图像,在Dolphin 3D软件中对T1和T2图像在下颌骨上进行三维叠加,然后进行一系列牙齿和牙槽的线性和角度测量。仅包括T1时双侧分岔以下的实生乳牙和T2时双侧完全出牙的恒牙的下颌犬齿和前磨牙区域。组间比较采用Mann-Whitney U检验。结果:由于对照组排除不合格区域后受试者数量不足,因此仅在RME组与RME + LB组之间进行了以下比较并进行了报道。RME + LB组(n = 30, T1时9.00±0.86岁,T2时11.99±0.59岁)下颌犬齿和前磨牙的体颊运动明显高于RME组(n = 25, T1时8.72±0.88岁,T2时12.00±0.96岁),但下颌间颊面宽度仅在第二前磨牙区增加。此外,RME + LB组在下颌犬齿区和第一前磨牙区牙槽骨厚度和高度均低于RME组。结论:LB可显著扩大下颌横向尺寸,恒牙和前磨牙在颊部突出。然而,它不会增加在犬齿和第一前磨牙区域的牙槽骨的骨骼横向尺寸。需要进一步的研究来评估LB的长期影响。
本文章由计算机程序翻译,如有差异,请以英文原文为准。

Transverse dentoalveolar changes of mandibular canine and premolar regions after lip bumper therapy: a retrospective CBCT study.

Transverse dentoalveolar changes of mandibular canine and premolar regions after lip bumper therapy: a retrospective CBCT study.

Transverse dentoalveolar changes of mandibular canine and premolar regions after lip bumper therapy: a retrospective CBCT study.

Transverse dentoalveolar changes of mandibular canine and premolar regions after lip bumper therapy: a retrospective CBCT study.

Objectives: Lip bumpers (LB) treatment has been used to expand the mandibular arch during mixed dentition. The aim of this study is to evaluate the effects of LB on the mandibular transverse changes in the canine and premolar regions using CBCT.

Materials and methods: This retrospective study utilized pre- (T1) and post-treatment (T2) CBCT images from the children who were treated either with rapid maxillary expander (RME) alone (RME group) or with RME and lip bumpers (RME + LB group) for interceptive orthodontic treatment. The T1 (pre-interceptive orthodontic treatment evaluation) and T2 (pre-comprehensive orthodontic treatment evaluation) CBCT images from the children who did not go through the interceptive orthodontic treatment were used as control. The CBCT images were oriented according to the occlusal plane and the three-dimensional superimposition on the mandible of T1 and T2 images was performed in the Dolphin 3D software, followed by a series of dental and alveolar linear and angular measurements. Only the mandibular canine and premolar regions with solid primary teeth that showed root structure below the furcation bilaterally at T1 and permanent teeth fully erupted in occlusion bilaterally at T2 were included. The intergroup comparisons were performed using the Mann-Whitney U test.

Results: As the control group did not have a sufficient number of subjects after excluding the non-qualified regions, the following comparisons were only performed and reported between the RME group and the RME + LB group. RME + LB group (n = 30, 9.00 ± 0.86 years old at T1, 11.99 ± 0.59 years old at T2) showed significantly more bodily buccal movement of mandibular canines and premolars than the RME group (n = 25, 8.72 ± 0.88 years old at T1, 12.00 ± 0.96 years old at T2), but inter-mandibular buccal surface width increase was only observed in the second premolar region. In addition, the RME + LB groups showed less buccal alveolar bone thickness and height than the RME group in the mandibular canine and first premolar regions.

Conclusion: LB significantly expanded the mandibular transverse dimension dentally, with permanent canine and premolars erupting more buccally. However, it does not increase the skeletal transverse dimension of the alveolar bone at the canine and first premolar regions. Further studies are needed to evaluate the long-term effects of LB.

求助全文
通过发布文献求助,成功后即可免费获取论文全文。 去求助
来源期刊
CiteScore
3.30
自引率
0.00%
发文量
0
审稿时长
13 weeks
×
引用
GB/T 7714-2015
复制
MLA
复制
APA
复制
导出至
BibTeX EndNote RefMan NoteFirst NoteExpress
×
提示
您的信息不完整,为了账户安全,请先补充。
现在去补充
×
提示
您因"违规操作"
具体请查看互助需知
我知道了
×
提示
确定
请完成安全验证×
copy
已复制链接
快去分享给好友吧!
我知道了
右上角分享
点击右上角分享
0
联系我们:info@booksci.cn Book学术提供免费学术资源搜索服务,方便国内外学者检索中英文文献。致力于提供最便捷和优质的服务体验。 Copyright © 2023 布克学术 All rights reserved.
京ICP备2023020795号-1
ghs 京公网安备 11010802042870号
Book学术文献互助
Book学术文献互助群
群 号:604180095
Book学术官方微信