轮滑运动对ADHD儿童症状、执行功能和运动熟练程度的影响:一项随机对照试验

IF 0.9 4区 医学 Q3 REHABILITATION
Occupational Therapy International Pub Date : 2025-05-08 eCollection Date: 2025-01-01 DOI:10.1155/oti/4254970
Chu-Yang Huang, Wen-Fan Chen, Chia-Liang Tsai, Po-Lin Chen, Po-Jen Hsu, Chien-Yu Pan
{"title":"轮滑运动对ADHD儿童症状、执行功能和运动熟练程度的影响:一项随机对照试验","authors":"Chu-Yang Huang, Wen-Fan Chen, Chia-Liang Tsai, Po-Lin Chen, Po-Jen Hsu, Chien-Yu Pan","doi":"10.1155/oti/4254970","DOIUrl":null,"url":null,"abstract":"<p><p><b>Background and Purpose:</b> A growing body of evidence demonstrates that physical exercise training is beneficial in the treatment of attention-deficit/hyperactivity disorder (ADHD). This study is aimed at examining the effects of a 12-week inline skating intervention on ADHD symptoms, executive functions (EFs), and motor proficiency in children with ADHD. <b>Methods:</b> This study employed an asymmetric crossover randomized controlled trial (RCT) design. A total of 24 children with ADHD (aged 6-12 years) were recruited from nongovernmental organizations, elementary schools, and parent networks. Participants were paired based on age, medication status, and ADHD presentation and then randomly assigned to either an intervention group (IG) (<i>n</i> = 12) or a wait-list control group (CG) (<i>n</i> = 12). The IG participated in a 12-week inline skating program (80-min sessions, twice weekly), while the CG maintained their regular daily routines and did not participate in any structured physical activity (PA) or skating training during this period. After 12 weeks, the CG underwent the same intervention. ADHD symptoms (parent reported), EFs (inhibition and spatial working memory), and motor proficiency (fine motor control, body coordination, manual coordination, strength, and agility) were assessed at three time points: baseline (T1), posttest (T2), and follow-up (T3). Data were analyzed using mixed-design ANOVA to evaluate the effects of the intervention. <b>Results:</b> Children with ADHD in the current study demonstrated improved symptoms, EFs, and motor proficiency (all <i>p</i> < 0.05) after 12-week inline skating intervention. Moreover, the effects appeared to be sustained for at least 12 weeks. <b>Conclusion:</b> This RCT provides preliminary evidence that inline skating may be a feasible and beneficial PA intervention for children with ADHD. However, larger studies are needed to further evaluate its long-term efficacy. <b>Trial Registration:</b> Australian New Zealand Registry of Clinical Trials: ACTRN12624000593538.</p>","PeriodicalId":49140,"journal":{"name":"Occupational Therapy International","volume":"2025 ","pages":"4254970"},"PeriodicalIF":0.9000,"publicationDate":"2025-05-08","publicationTypes":"Journal Article","fieldsOfStudy":null,"isOpenAccess":false,"openAccessPdf":"https://www.ncbi.nlm.nih.gov/pmc/articles/PMC12271703/pdf/","citationCount":"0","resultStr":"{\"title\":\"Effects of Inline Skating Exercise on Symptoms, Executive Functions, and Motor Proficiency in Children With ADHD: A Randomized Controlled Trial.\",\"authors\":\"Chu-Yang Huang, Wen-Fan Chen, Chia-Liang Tsai, Po-Lin Chen, Po-Jen Hsu, Chien-Yu Pan\",\"doi\":\"10.1155/oti/4254970\",\"DOIUrl\":null,\"url\":null,\"abstract\":\"<p><p><b>Background and Purpose:</b> A growing body of evidence demonstrates that physical exercise training is beneficial in the treatment of attention-deficit/hyperactivity disorder (ADHD). This study is aimed at examining the effects of a 12-week inline skating intervention on ADHD symptoms, executive functions (EFs), and motor proficiency in children with ADHD. <b>Methods:</b> This study employed an asymmetric crossover randomized controlled trial (RCT) design. A total of 24 children with ADHD (aged 6-12 years) were recruited from nongovernmental organizations, elementary schools, and parent networks. Participants were paired based on age, medication status, and ADHD presentation and then randomly assigned to either an intervention group (IG) (<i>n</i> = 12) or a wait-list control group (CG) (<i>n</i> = 12). The IG participated in a 12-week inline skating program (80-min sessions, twice weekly), while the CG maintained their regular daily routines and did not participate in any structured physical activity (PA) or skating training during this period. After 12 weeks, the CG underwent the same intervention. ADHD symptoms (parent reported), EFs (inhibition and spatial working memory), and motor proficiency (fine motor control, body coordination, manual coordination, strength, and agility) were assessed at three time points: baseline (T1), posttest (T2), and follow-up (T3). Data were analyzed using mixed-design ANOVA to evaluate the effects of the intervention. <b>Results:</b> Children with ADHD in the current study demonstrated improved symptoms, EFs, and motor proficiency (all <i>p</i> < 0.05) after 12-week inline skating intervention. Moreover, the effects appeared to be sustained for at least 12 weeks. <b>Conclusion:</b> This RCT provides preliminary evidence that inline skating may be a feasible and beneficial PA intervention for children with ADHD. However, larger studies are needed to further evaluate its long-term efficacy. <b>Trial Registration:</b> Australian New Zealand Registry of Clinical Trials: ACTRN12624000593538.</p>\",\"PeriodicalId\":49140,\"journal\":{\"name\":\"Occupational Therapy International\",\"volume\":\"2025 \",\"pages\":\"4254970\"},\"PeriodicalIF\":0.9000,\"publicationDate\":\"2025-05-08\",\"publicationTypes\":\"Journal Article\",\"fieldsOfStudy\":null,\"isOpenAccess\":false,\"openAccessPdf\":\"https://www.ncbi.nlm.nih.gov/pmc/articles/PMC12271703/pdf/\",\"citationCount\":\"0\",\"resultStr\":null,\"platform\":\"Semanticscholar\",\"paperid\":null,\"PeriodicalName\":\"Occupational Therapy International\",\"FirstCategoryId\":\"3\",\"ListUrlMain\":\"https://doi.org/10.1155/oti/4254970\",\"RegionNum\":4,\"RegionCategory\":\"医学\",\"ArticlePicture\":[],\"TitleCN\":null,\"AbstractTextCN\":null,\"PMCID\":null,\"EPubDate\":\"2025/1/1 0:00:00\",\"PubModel\":\"eCollection\",\"JCR\":\"Q3\",\"JCRName\":\"REHABILITATION\",\"Score\":null,\"Total\":0}","platform":"Semanticscholar","paperid":null,"PeriodicalName":"Occupational Therapy International","FirstCategoryId":"3","ListUrlMain":"https://doi.org/10.1155/oti/4254970","RegionNum":4,"RegionCategory":"医学","ArticlePicture":[],"TitleCN":null,"AbstractTextCN":null,"PMCID":null,"EPubDate":"2025/1/1 0:00:00","PubModel":"eCollection","JCR":"Q3","JCRName":"REHABILITATION","Score":null,"Total":0}
引用次数: 0

摘要

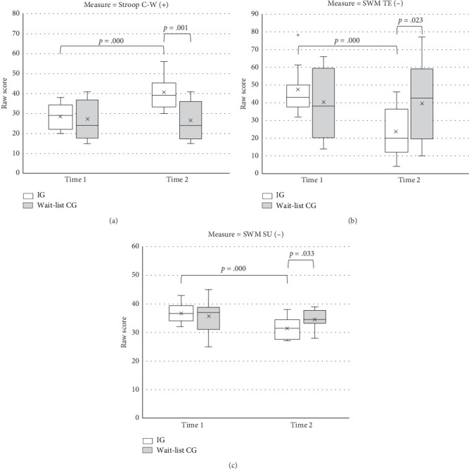
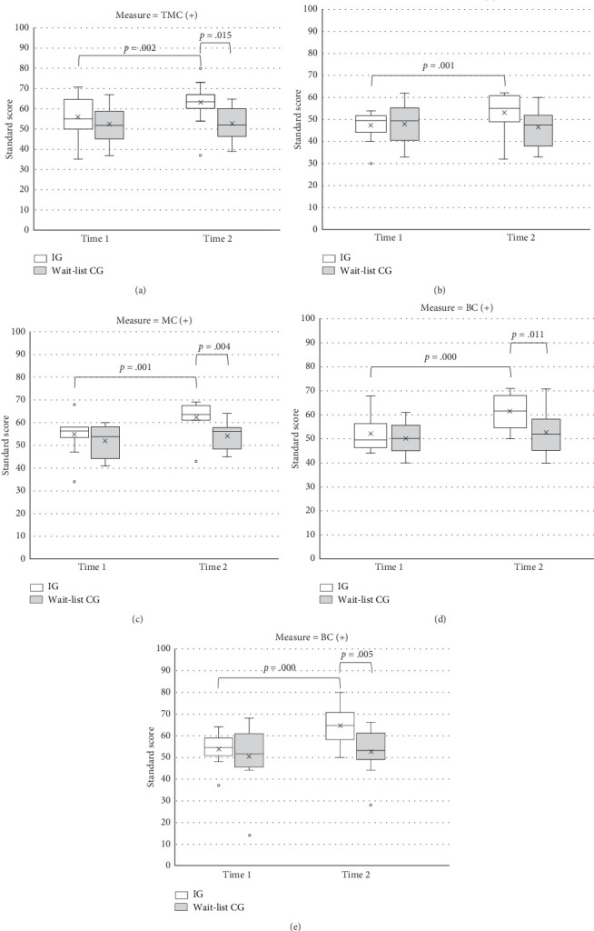
背景和目的:越来越多的证据表明,体育锻炼训练对治疗注意力缺陷/多动障碍(ADHD)有益。本研究旨在探讨为期12周的轮滑干预对ADHD儿童ADHD症状、执行功能(EFs)和运动熟练程度的影响。方法:采用非对称交叉随机对照试验(RCT)设计。共从非政府组织、小学和家长网络中招募了24名ADHD儿童(6-12岁)。参与者根据年龄、药物状况和ADHD表现进行配对,然后随机分配到干预组(IG) (n = 12)或等候名单对照组(CG) (n = 12)。IG组参加了一个为期12周的轮滑项目(每次80分钟,每周两次),而CG组保持了他们的日常生活,在此期间没有参加任何有组织的体育活动(PA)或滑冰训练。12周后,CG接受同样的干预。在基线(T1)、测试后(T2)和随访(T3)三个时间点评估ADHD症状(家长报告)、EFs(抑制和空间工作记忆)和运动熟练度(精细运动控制、身体协调、手动协调、力量和敏捷性)。数据分析采用混合设计方差分析来评估干预的效果。结果:本研究中ADHD儿童在12周的单排轮滑干预后表现出症状、EFs和运动熟练程度的改善(均p < 0.05)。此外,这种效果似乎可以持续至少12周。结论:本随机对照试验提供了初步证据,证明直排轮滑可能是一种可行且有益的儿童ADHD干预方法。然而,需要更大规模的研究来进一步评估其长期疗效。试验注册:澳大利亚新西兰临床试验注册中心:ACTRN12624000593538。
本文章由计算机程序翻译,如有差异,请以英文原文为准。

Effects of Inline Skating Exercise on Symptoms, Executive Functions, and Motor Proficiency in Children With ADHD: A Randomized Controlled Trial.

Effects of Inline Skating Exercise on Symptoms, Executive Functions, and Motor Proficiency in Children With ADHD: A Randomized Controlled Trial.

Effects of Inline Skating Exercise on Symptoms, Executive Functions, and Motor Proficiency in Children With ADHD: A Randomized Controlled Trial.

Effects of Inline Skating Exercise on Symptoms, Executive Functions, and Motor Proficiency in Children With ADHD: A Randomized Controlled Trial.

Background and Purpose: A growing body of evidence demonstrates that physical exercise training is beneficial in the treatment of attention-deficit/hyperactivity disorder (ADHD). This study is aimed at examining the effects of a 12-week inline skating intervention on ADHD symptoms, executive functions (EFs), and motor proficiency in children with ADHD. Methods: This study employed an asymmetric crossover randomized controlled trial (RCT) design. A total of 24 children with ADHD (aged 6-12 years) were recruited from nongovernmental organizations, elementary schools, and parent networks. Participants were paired based on age, medication status, and ADHD presentation and then randomly assigned to either an intervention group (IG) (n = 12) or a wait-list control group (CG) (n = 12). The IG participated in a 12-week inline skating program (80-min sessions, twice weekly), while the CG maintained their regular daily routines and did not participate in any structured physical activity (PA) or skating training during this period. After 12 weeks, the CG underwent the same intervention. ADHD symptoms (parent reported), EFs (inhibition and spatial working memory), and motor proficiency (fine motor control, body coordination, manual coordination, strength, and agility) were assessed at three time points: baseline (T1), posttest (T2), and follow-up (T3). Data were analyzed using mixed-design ANOVA to evaluate the effects of the intervention. Results: Children with ADHD in the current study demonstrated improved symptoms, EFs, and motor proficiency (all p < 0.05) after 12-week inline skating intervention. Moreover, the effects appeared to be sustained for at least 12 weeks. Conclusion: This RCT provides preliminary evidence that inline skating may be a feasible and beneficial PA intervention for children with ADHD. However, larger studies are needed to further evaluate its long-term efficacy. Trial Registration: Australian New Zealand Registry of Clinical Trials: ACTRN12624000593538.

求助全文
通过发布文献求助,成功后即可免费获取论文全文。 去求助
来源期刊
CiteScore
2.50
自引率
6.70%
发文量
121
审稿时长
>12 weeks
期刊介绍: Occupational Therapy International is a peer-reviewed journal, publishing manuscripts that reflect the practice of occupational therapy throughout the world. Research studies or original concept papers are considered for publication. Priority for publication will be given to research studies that provide recommendations for evidence-based practice and demonstrate the effectiveness of a specific treatment method. Single subject case studies evaluating treatment effectiveness are also encouraged. Other topics that are appropriate for the journal include reliability and validity of clinical instruments, assistive technology, community rehabilitation, cultural comparisons, health promotion and wellness.
×
引用
GB/T 7714-2015
复制
MLA
复制
APA
复制
导出至
BibTeX EndNote RefMan NoteFirst NoteExpress
×
提示
您的信息不完整,为了账户安全,请先补充。
现在去补充
×
提示
您因"违规操作"
具体请查看互助需知
我知道了
×
提示
确定
请完成安全验证×
copy
已复制链接
快去分享给好友吧!
我知道了
右上角分享
点击右上角分享
0
联系我们:info@booksci.cn Book学术提供免费学术资源搜索服务,方便国内外学者检索中英文文献。致力于提供最便捷和优质的服务体验。 Copyright © 2023 布克学术 All rights reserved.
京ICP备2023020795号-1
ghs 京公网安备 11010802042870号
Book学术文献互助
Book学术文献互助群
群 号:604180095
Book学术官方微信