水溶液中砷(III)-药物配合物的形态和热力学研究。

IF 7.7 Q1 ENGINEERING, ENVIRONMENTAL
Federica Carnamucio*, Claudia Foti, Franz Saija, Giuseppe Cassone and Ottavia Giuffrè*, 
{"title":"水溶液中砷(III)-药物配合物的形态和热力学研究。","authors":"Federica Carnamucio*,&nbsp;Claudia Foti,&nbsp;Franz Saija,&nbsp;Giuseppe Cassone and Ottavia Giuffrè*,&nbsp;","doi":"10.1021/acsenvironau.5c00024","DOIUrl":null,"url":null,"abstract":"<p >Background: Natural water sources are increasingly contaminated with a wide range of pollutants including heavy metals and pharmaceuticals. Arsenic, particularly in its more toxic trivalent form, i.e. As(III), remains a significant environmental and public health concern due to its widespread presence and carcinogenic effects. In addition to that, pharmaceutical products like metronidazole (MNZ) and nalidixic acid (NAL), persistent in the environment due to their limited biodegradability, also pose significant threats to both ecosystems and human health. Recent research has highlighted the formation of antibiotic-metal complexes (AMCs) where antibiotics interact with heavy metals in aquatic environments, leading to altered physicochemical properties and increased toxicity. Aim: The main objective of the present work is a speciation study on As(III)–antibiotic complexes and particularly interaction between As(III) and MNZ or NAL in aqueous solution. Methods: Several temperatures and ionic strengths were probed by potentiometry to determine the formation constants and other thermodynamic parameters of As(III)–MNZ and As(III)–NAL complexes. UV spectrophotometric titrations were also employed to confirm formation constants of both systems. An estimation of the sequestering ability of both ligands toward As(III) under relevant natural water conditions has also been performed. Further, density functional theory calculations have been executed with the purpose of investigating the molecular structure of these complexes and their relative stability. Results: It turns out that MNZ binds to As(III) in either a neutral (AsMNZ) or protonated (As(MNZ)H) form via As–N and As–O interactions, with the hydroxyl oxygen being the preferred binding site in AsMNZ and both the nitro and hydroxyl groups being equally effective in As(MNZ)H, while NAL forms a stable chelated complex through bidentate coordination. Conclusion: Findings reported in this study contribute to a deeper understanding of the complexes formed by As(III) with pharmaceuticals and pave the way toward the development of improved technologies for the water treatment and remediation of AMCs.</p>","PeriodicalId":29801,"journal":{"name":"ACS Environmental Au","volume":"5 4","pages":"404–414"},"PeriodicalIF":7.7000,"publicationDate":"2025-05-12","publicationTypes":"Journal Article","fieldsOfStudy":null,"isOpenAccess":false,"openAccessPdf":"https://www.ncbi.nlm.nih.gov/pmc/articles/PMC12272278/pdf/","citationCount":"0","resultStr":"{\"title\":\"Speciation and Thermodynamic Study of Arsenic(III)–Pharmaceutical Complexes in Aqueous Solutions\",\"authors\":\"Federica Carnamucio*,&nbsp;Claudia Foti,&nbsp;Franz Saija,&nbsp;Giuseppe Cassone and Ottavia Giuffrè*,&nbsp;\",\"doi\":\"10.1021/acsenvironau.5c00024\",\"DOIUrl\":null,\"url\":null,\"abstract\":\"<p >Background: Natural water sources are increasingly contaminated with a wide range of pollutants including heavy metals and pharmaceuticals. Arsenic, particularly in its more toxic trivalent form, i.e. As(III), remains a significant environmental and public health concern due to its widespread presence and carcinogenic effects. In addition to that, pharmaceutical products like metronidazole (MNZ) and nalidixic acid (NAL), persistent in the environment due to their limited biodegradability, also pose significant threats to both ecosystems and human health. Recent research has highlighted the formation of antibiotic-metal complexes (AMCs) where antibiotics interact with heavy metals in aquatic environments, leading to altered physicochemical properties and increased toxicity. Aim: The main objective of the present work is a speciation study on As(III)–antibiotic complexes and particularly interaction between As(III) and MNZ or NAL in aqueous solution. Methods: Several temperatures and ionic strengths were probed by potentiometry to determine the formation constants and other thermodynamic parameters of As(III)–MNZ and As(III)–NAL complexes. UV spectrophotometric titrations were also employed to confirm formation constants of both systems. An estimation of the sequestering ability of both ligands toward As(III) under relevant natural water conditions has also been performed. Further, density functional theory calculations have been executed with the purpose of investigating the molecular structure of these complexes and their relative stability. Results: It turns out that MNZ binds to As(III) in either a neutral (AsMNZ) or protonated (As(MNZ)H) form via As–N and As–O interactions, with the hydroxyl oxygen being the preferred binding site in AsMNZ and both the nitro and hydroxyl groups being equally effective in As(MNZ)H, while NAL forms a stable chelated complex through bidentate coordination. Conclusion: Findings reported in this study contribute to a deeper understanding of the complexes formed by As(III) with pharmaceuticals and pave the way toward the development of improved technologies for the water treatment and remediation of AMCs.</p>\",\"PeriodicalId\":29801,\"journal\":{\"name\":\"ACS Environmental Au\",\"volume\":\"5 4\",\"pages\":\"404–414\"},\"PeriodicalIF\":7.7000,\"publicationDate\":\"2025-05-12\",\"publicationTypes\":\"Journal Article\",\"fieldsOfStudy\":null,\"isOpenAccess\":false,\"openAccessPdf\":\"https://www.ncbi.nlm.nih.gov/pmc/articles/PMC12272278/pdf/\",\"citationCount\":\"0\",\"resultStr\":null,\"platform\":\"Semanticscholar\",\"paperid\":null,\"PeriodicalName\":\"ACS Environmental Au\",\"FirstCategoryId\":\"1085\",\"ListUrlMain\":\"https://pubs.acs.org/doi/10.1021/acsenvironau.5c00024\",\"RegionNum\":0,\"RegionCategory\":null,\"ArticlePicture\":[],\"TitleCN\":null,\"AbstractTextCN\":null,\"PMCID\":null,\"EPubDate\":\"\",\"PubModel\":\"\",\"JCR\":\"Q1\",\"JCRName\":\"ENGINEERING, ENVIRONMENTAL\",\"Score\":null,\"Total\":0}","platform":"Semanticscholar","paperid":null,"PeriodicalName":"ACS Environmental Au","FirstCategoryId":"1085","ListUrlMain":"https://pubs.acs.org/doi/10.1021/acsenvironau.5c00024","RegionNum":0,"RegionCategory":null,"ArticlePicture":[],"TitleCN":null,"AbstractTextCN":null,"PMCID":null,"EPubDate":"","PubModel":"","JCR":"Q1","JCRName":"ENGINEERING, ENVIRONMENTAL","Score":null,"Total":0}
引用次数: 0

摘要

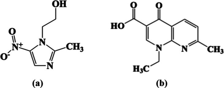
背景:天然水源日益受到包括重金属和药物在内的各种污染物的污染。砷,特别是毒性更大的三价形式,即砷-(III),由于其广泛存在和致癌作用,仍然是一个重大的环境和公共卫生问题。除此之外,甲硝唑(MNZ)和萘啶酸(NAL)等医药产品由于生物降解性有限而持续存在于环境中,也对生态系统和人类健康构成重大威胁。最近的研究强调了抗生素-金属配合物(AMCs)的形成,其中抗生素与水生环境中的重金属相互作用,导致物理化学性质改变和毒性增加。目的:本研究的主要目的是研究As-(III)-抗生素复合物的形态形成,特别是水溶液中As-(III)与MNZ或NAL的相互作用。方法:采用电位法测定As-(III)- mnz和As-(III)- nal配合物的形成常数和其他热力学参数。紫外分光光度法测定了两种体系的形成常数。在相关的自然水条件下,对这两种配体对As-(III)的隔离能力也进行了估计。此外,密度泛函理论计算的目的是研究这些配合物的分子结构和它们的相对稳定性。结果:MNZ通过As- n和As- o相互作用以中性(AsMNZ)或质子化(As-(MNZ)- h)形式与As-(III)结合,其中羟基是AsMNZ的首选结合位点,硝基和羟基在As-(MNZ)- h中同样有效,而NAL通过双齿配位形成稳定的螯合配合物。结论:本研究的发现有助于更深入地了解As-(III)与药物形成的配合物,并为开发改进的水处理和AMCs修复技术铺平道路。
本文章由计算机程序翻译,如有差异,请以英文原文为准。

Speciation and Thermodynamic Study of Arsenic(III)–Pharmaceutical Complexes in Aqueous Solutions

Speciation and Thermodynamic Study of Arsenic(III)–Pharmaceutical Complexes in Aqueous Solutions

Speciation and Thermodynamic Study of Arsenic(III)–Pharmaceutical Complexes in Aqueous Solutions

Speciation and Thermodynamic Study of Arsenic(III)–Pharmaceutical Complexes in Aqueous Solutions

Background: Natural water sources are increasingly contaminated with a wide range of pollutants including heavy metals and pharmaceuticals. Arsenic, particularly in its more toxic trivalent form, i.e. As(III), remains a significant environmental and public health concern due to its widespread presence and carcinogenic effects. In addition to that, pharmaceutical products like metronidazole (MNZ) and nalidixic acid (NAL), persistent in the environment due to their limited biodegradability, also pose significant threats to both ecosystems and human health. Recent research has highlighted the formation of antibiotic-metal complexes (AMCs) where antibiotics interact with heavy metals in aquatic environments, leading to altered physicochemical properties and increased toxicity. Aim: The main objective of the present work is a speciation study on As(III)–antibiotic complexes and particularly interaction between As(III) and MNZ or NAL in aqueous solution. Methods: Several temperatures and ionic strengths were probed by potentiometry to determine the formation constants and other thermodynamic parameters of As(III)–MNZ and As(III)–NAL complexes. UV spectrophotometric titrations were also employed to confirm formation constants of both systems. An estimation of the sequestering ability of both ligands toward As(III) under relevant natural water conditions has also been performed. Further, density functional theory calculations have been executed with the purpose of investigating the molecular structure of these complexes and their relative stability. Results: It turns out that MNZ binds to As(III) in either a neutral (AsMNZ) or protonated (As(MNZ)H) form via As–N and As–O interactions, with the hydroxyl oxygen being the preferred binding site in AsMNZ and both the nitro and hydroxyl groups being equally effective in As(MNZ)H, while NAL forms a stable chelated complex through bidentate coordination. Conclusion: Findings reported in this study contribute to a deeper understanding of the complexes formed by As(III) with pharmaceuticals and pave the way toward the development of improved technologies for the water treatment and remediation of AMCs.

求助全文
通过发布文献求助,成功后即可免费获取论文全文。 去求助
来源期刊
ACS Environmental Au
ACS Environmental Au 环境科学-
CiteScore
7.10
自引率
0.00%
发文量
0
期刊介绍: ACS Environmental Au is an open access journal which publishes experimental research and theoretical results in all aspects of environmental science and technology both pure and applied. Short letters comprehensive articles reviews and perspectives are welcome in the following areas:Alternative EnergyAnthropogenic Impacts on Atmosphere Soil or WaterBiogeochemical CyclingBiomass or Wastes as ResourcesContaminants in Aquatic and Terrestrial EnvironmentsEnvironmental Data ScienceEcotoxicology and Public HealthEnergy and ClimateEnvironmental Modeling Processes and Measurement Methods and TechnologiesEnvironmental Nanotechnology and BiotechnologyGreen ChemistryGreen Manufacturing and EngineeringRisk assessment Regulatory Frameworks and Life-Cycle AssessmentsTreatment and Resource Recovery and Waste Management
×
引用
GB/T 7714-2015
复制
MLA
复制
APA
复制
导出至
BibTeX EndNote RefMan NoteFirst NoteExpress
×
提示
您的信息不完整,为了账户安全,请先补充。
现在去补充
×
提示
您因"违规操作"
具体请查看互助需知
我知道了
×
提示
确定
请完成安全验证×
copy
已复制链接
快去分享给好友吧!
我知道了
右上角分享
点击右上角分享
0
联系我们:info@booksci.cn Book学术提供免费学术资源搜索服务,方便国内外学者检索中英文文献。致力于提供最便捷和优质的服务体验。 Copyright © 2023 布克学术 All rights reserved.
京ICP备2023020795号-1
ghs 京公网安备 11010802042870号
Book学术文献互助
Book学术文献互助群
群 号:604180095
Book学术官方微信