非损伤性视网膜激光治疗色素性视网膜炎相关囊样黄斑水肿的短期疗效和安全性。

IF 1 4区 医学 Q2 MEDICINE, GENERAL & INTERNAL
Turkish Journal of Medical Sciences Pub Date : 2025-04-17 eCollection Date: 2025-01-01 DOI:10.55730/1300-0144.6012
Seda Çevik Kaya, Mehmet Çitirik, Mevlüt Yilmaz, Eyüpcan Şensoy
{"title":"非损伤性视网膜激光治疗色素性视网膜炎相关囊样黄斑水肿的短期疗效和安全性。","authors":"Seda Çevik Kaya, Mehmet Çitirik, Mevlüt Yilmaz, Eyüpcan Şensoy","doi":"10.55730/1300-0144.6012","DOIUrl":null,"url":null,"abstract":"<p><strong>Background/aim: </strong>To evaluate the short-term efficacy and safety of nondamaging retinal laser therapy (NRT) for retinitis pigmentosa-associated cystoid macular edema (RP-CME) and analyze anatomical and functional outcomes.</p><p><strong>Materials and methods: </strong>A retrospective case series of 40 eyes from 30 patients with RP-CME was conducted. The patients underwent NRT using a PASCAL laser system with endpoint management (EpM) software. Central macular thickness (CMT) and best-corrected visual acuity (BCVA) were assessed at baseline and 2 months posttreatment. Long-term follow-up data, including recurrence rates were also reviewed.</p><p><strong>Results: </strong>At the 2-month follow-up, NRT significantly reduced mean CMT by 79.7 μm (p < 0.001) and improved BCVA by 0.10 LogMAR (p < 0.001). Complete resolution of CME was observed in 30% of the eyes, while 52.5% experienced recurrence within 6 months. Unilateral cases exhibited greater CMT reductions than bilateral cases (p < 0.05). No retinal damage from the laser was observed. The long-term sustainability of these effects remains unclear, and repeated treatments have not yet been assessed.</p><p><strong>Conclusion: </strong>NRT is a safe and effective short-term treatment for RP-CME, achieving significant anatomical and functional improvements without evidence of retinal damage. However, the high recurrence rate and absence of long-term data warrant further investigation. Future studies should explore repeated treatments, genetic subtypes, and correlations with the ellipsoid zone integrity.</p>","PeriodicalId":23361,"journal":{"name":"Turkish Journal of Medical Sciences","volume":"55 3","pages":"652-657"},"PeriodicalIF":1.0000,"publicationDate":"2025-04-17","publicationTypes":"Journal Article","fieldsOfStudy":null,"isOpenAccess":false,"openAccessPdf":"https://www.ncbi.nlm.nih.gov/pmc/articles/PMC12270286/pdf/","citationCount":"0","resultStr":"{\"title\":\"Short-term efficacy and safety of nondamaging retinal laser therapy for retinitis pigmentosa-associated cystoid macular edema.\",\"authors\":\"Seda Çevik Kaya, Mehmet Çitirik, Mevlüt Yilmaz, Eyüpcan Şensoy\",\"doi\":\"10.55730/1300-0144.6012\",\"DOIUrl\":null,\"url\":null,\"abstract\":\"<p><strong>Background/aim: </strong>To evaluate the short-term efficacy and safety of nondamaging retinal laser therapy (NRT) for retinitis pigmentosa-associated cystoid macular edema (RP-CME) and analyze anatomical and functional outcomes.</p><p><strong>Materials and methods: </strong>A retrospective case series of 40 eyes from 30 patients with RP-CME was conducted. The patients underwent NRT using a PASCAL laser system with endpoint management (EpM) software. Central macular thickness (CMT) and best-corrected visual acuity (BCVA) were assessed at baseline and 2 months posttreatment. Long-term follow-up data, including recurrence rates were also reviewed.</p><p><strong>Results: </strong>At the 2-month follow-up, NRT significantly reduced mean CMT by 79.7 μm (p < 0.001) and improved BCVA by 0.10 LogMAR (p < 0.001). Complete resolution of CME was observed in 30% of the eyes, while 52.5% experienced recurrence within 6 months. Unilateral cases exhibited greater CMT reductions than bilateral cases (p < 0.05). No retinal damage from the laser was observed. The long-term sustainability of these effects remains unclear, and repeated treatments have not yet been assessed.</p><p><strong>Conclusion: </strong>NRT is a safe and effective short-term treatment for RP-CME, achieving significant anatomical and functional improvements without evidence of retinal damage. However, the high recurrence rate and absence of long-term data warrant further investigation. Future studies should explore repeated treatments, genetic subtypes, and correlations with the ellipsoid zone integrity.</p>\",\"PeriodicalId\":23361,\"journal\":{\"name\":\"Turkish Journal of Medical Sciences\",\"volume\":\"55 3\",\"pages\":\"652-657\"},\"PeriodicalIF\":1.0000,\"publicationDate\":\"2025-04-17\",\"publicationTypes\":\"Journal Article\",\"fieldsOfStudy\":null,\"isOpenAccess\":false,\"openAccessPdf\":\"https://www.ncbi.nlm.nih.gov/pmc/articles/PMC12270286/pdf/\",\"citationCount\":\"0\",\"resultStr\":null,\"platform\":\"Semanticscholar\",\"paperid\":null,\"PeriodicalName\":\"Turkish Journal of Medical Sciences\",\"FirstCategoryId\":\"3\",\"ListUrlMain\":\"https://doi.org/10.55730/1300-0144.6012\",\"RegionNum\":4,\"RegionCategory\":\"医学\",\"ArticlePicture\":[],\"TitleCN\":null,\"AbstractTextCN\":null,\"PMCID\":null,\"EPubDate\":\"2025/1/1 0:00:00\",\"PubModel\":\"eCollection\",\"JCR\":\"Q2\",\"JCRName\":\"MEDICINE, GENERAL & INTERNAL\",\"Score\":null,\"Total\":0}","platform":"Semanticscholar","paperid":null,"PeriodicalName":"Turkish Journal of Medical Sciences","FirstCategoryId":"3","ListUrlMain":"https://doi.org/10.55730/1300-0144.6012","RegionNum":4,"RegionCategory":"医学","ArticlePicture":[],"TitleCN":null,"AbstractTextCN":null,"PMCID":null,"EPubDate":"2025/1/1 0:00:00","PubModel":"eCollection","JCR":"Q2","JCRName":"MEDICINE, GENERAL & INTERNAL","Score":null,"Total":0}
引用次数: 0

摘要

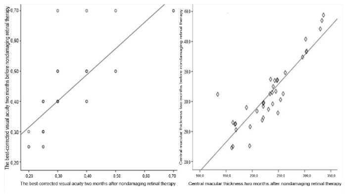
背景/目的:评价非损伤性视网膜激光治疗视网膜色素变性相关性囊样黄斑水肿(RP-CME)的短期疗效和安全性,并分析解剖和功能结果。材料与方法:对30例RP-CME患者40只眼的病例进行回顾性分析。患者使用带有终点管理(EpM)软件的PASCAL激光系统进行NRT。在基线和治疗后2个月评估中央黄斑厚度(CMT)和最佳矫正视力(BCVA)。我们还回顾了长期随访数据,包括复发率。结果:在2个月的随访中,NRT显著降低了平均CMT 79.7 μm (p < 0.001),改善了BCVA 0.10 LogMAR (p < 0.001)。30%的眼睛CME完全消退,52.5%的眼睛在6个月内复发。单侧病例比双侧病例CMT降低幅度更大(p < 0.05)。未观察到激光对视网膜的损伤。这些影响的长期可持续性尚不清楚,重复治疗尚未得到评估。结论:NRT是RP-CME的一种安全有效的短期治疗方法,在没有视网膜损伤的情况下实现了显著的解剖和功能改善。然而,高复发率和缺乏长期资料值得进一步研究。未来的研究应该探索重复治疗、遗传亚型以及与椭球带完整性的相关性。
本文章由计算机程序翻译,如有差异,请以英文原文为准。

Short-term efficacy and safety of nondamaging retinal laser therapy for retinitis pigmentosa-associated cystoid macular edema.

Short-term efficacy and safety of nondamaging retinal laser therapy for retinitis pigmentosa-associated cystoid macular edema.

Short-term efficacy and safety of nondamaging retinal laser therapy for retinitis pigmentosa-associated cystoid macular edema.

Short-term efficacy and safety of nondamaging retinal laser therapy for retinitis pigmentosa-associated cystoid macular edema.

Background/aim: To evaluate the short-term efficacy and safety of nondamaging retinal laser therapy (NRT) for retinitis pigmentosa-associated cystoid macular edema (RP-CME) and analyze anatomical and functional outcomes.

Materials and methods: A retrospective case series of 40 eyes from 30 patients with RP-CME was conducted. The patients underwent NRT using a PASCAL laser system with endpoint management (EpM) software. Central macular thickness (CMT) and best-corrected visual acuity (BCVA) were assessed at baseline and 2 months posttreatment. Long-term follow-up data, including recurrence rates were also reviewed.

Results: At the 2-month follow-up, NRT significantly reduced mean CMT by 79.7 μm (p < 0.001) and improved BCVA by 0.10 LogMAR (p < 0.001). Complete resolution of CME was observed in 30% of the eyes, while 52.5% experienced recurrence within 6 months. Unilateral cases exhibited greater CMT reductions than bilateral cases (p < 0.05). No retinal damage from the laser was observed. The long-term sustainability of these effects remains unclear, and repeated treatments have not yet been assessed.

Conclusion: NRT is a safe and effective short-term treatment for RP-CME, achieving significant anatomical and functional improvements without evidence of retinal damage. However, the high recurrence rate and absence of long-term data warrant further investigation. Future studies should explore repeated treatments, genetic subtypes, and correlations with the ellipsoid zone integrity.

求助全文
通过发布文献求助,成功后即可免费获取论文全文。 去求助
来源期刊
Turkish Journal of Medical Sciences
Turkish Journal of Medical Sciences 医学-医学:内科
CiteScore
4.60
自引率
4.30%
发文量
143
审稿时长
3-8 weeks
期刊介绍: Turkish Journal of Medical sciences is a peer-reviewed comprehensive resource that provides critical up-to-date information on the broad spectrum of general medical sciences. The Journal intended to publish original medical scientific papers regarding the priority based on the prominence, significance, and timeliness of the findings. However since the audience of the Journal is not limited to any subspeciality in a wide variety of medical disciplines, the papers focusing on the technical  details of a given medical  subspeciality may not be evaluated for publication.
×
引用
GB/T 7714-2015
复制
MLA
复制
APA
复制
导出至
BibTeX EndNote RefMan NoteFirst NoteExpress
×
提示
您的信息不完整,为了账户安全,请先补充。
现在去补充
×
提示
您因"违规操作"
具体请查看互助需知
我知道了
×
提示
确定
请完成安全验证×
copy
已复制链接
快去分享给好友吧!
我知道了
右上角分享
点击右上角分享
0
联系我们:info@booksci.cn Book学术提供免费学术资源搜索服务,方便国内外学者检索中英文文献。致力于提供最便捷和优质的服务体验。 Copyright © 2023 布克学术 All rights reserved.
京ICP备2023020795号-1
ghs 京公网安备 11010802042870号
Book学术文献互助
Book学术文献互助群
群 号:604180095
Book学术官方微信