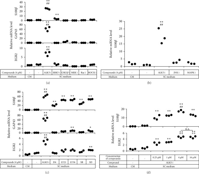
“ALK5 i II通过非smad信号通路加速脂肪来源干细胞向雪旺细胞的诱导”的更正。

IF 3.3 3区 医学 Q2 CELL & TISSUE ENGINEERING
Stem Cells International Pub Date : 2025-05-26 eCollection Date: 2025-01-01 DOI:10.1155/2025/9813648
{"title":"“ALK5 i II通过非smad信号通路加速脂肪来源干细胞向雪旺细胞的诱导”的更正。","authors":"","doi":"10.1155/2025/9813648","DOIUrl":null,"url":null,"abstract":"<p><p>[This corrects the article DOI: 10.1155/2021/8307797.].</p>","PeriodicalId":21962,"journal":{"name":"Stem Cells International","volume":"2025 ","pages":"9813648"},"PeriodicalIF":3.3000,"publicationDate":"2025-05-26","publicationTypes":"Journal Article","fieldsOfStudy":null,"isOpenAccess":false,"openAccessPdf":"https://www.ncbi.nlm.nih.gov/pmc/articles/PMC12271705/pdf/","citationCount":"0","resultStr":"{\"title\":\"Corrigendum to \\\"ALK5 i II Accelerates Induction of Adipose-Derived Stem Cells toward Schwann Cells through a Non-Smad Signaling Pathway\\\".\",\"authors\":\"\",\"doi\":\"10.1155/2025/9813648\",\"DOIUrl\":null,\"url\":null,\"abstract\":\"<p><p>[This corrects the article DOI: 10.1155/2021/8307797.].</p>\",\"PeriodicalId\":21962,\"journal\":{\"name\":\"Stem Cells International\",\"volume\":\"2025 \",\"pages\":\"9813648\"},\"PeriodicalIF\":3.3000,\"publicationDate\":\"2025-05-26\",\"publicationTypes\":\"Journal Article\",\"fieldsOfStudy\":null,\"isOpenAccess\":false,\"openAccessPdf\":\"https://www.ncbi.nlm.nih.gov/pmc/articles/PMC12271705/pdf/\",\"citationCount\":\"0\",\"resultStr\":null,\"platform\":\"Semanticscholar\",\"paperid\":null,\"PeriodicalName\":\"Stem Cells International\",\"FirstCategoryId\":\"3\",\"ListUrlMain\":\"https://doi.org/10.1155/2025/9813648\",\"RegionNum\":3,\"RegionCategory\":\"医学\",\"ArticlePicture\":[],\"TitleCN\":null,\"AbstractTextCN\":null,\"PMCID\":null,\"EPubDate\":\"2025/1/1 0:00:00\",\"PubModel\":\"eCollection\",\"JCR\":\"Q2\",\"JCRName\":\"CELL & TISSUE ENGINEERING\",\"Score\":null,\"Total\":0}","platform":"Semanticscholar","paperid":null,"PeriodicalName":"Stem Cells International","FirstCategoryId":"3","ListUrlMain":"https://doi.org/10.1155/2025/9813648","RegionNum":3,"RegionCategory":"医学","ArticlePicture":[],"TitleCN":null,"AbstractTextCN":null,"PMCID":null,"EPubDate":"2025/1/1 0:00:00","PubModel":"eCollection","JCR":"Q2","JCRName":"CELL & TISSUE ENGINEERING","Score":null,"Total":0}
引用次数: 0

摘要

[这更正了文章DOI: 10.1155/2021/8307797.]。
本文章由计算机程序翻译,如有差异,请以英文原文为准。

Corrigendum to "ALK5 i II Accelerates Induction of Adipose-Derived Stem Cells toward Schwann Cells through a Non-Smad Signaling Pathway".

Corrigendum to "ALK5 i II Accelerates Induction of Adipose-Derived Stem Cells toward Schwann Cells through a Non-Smad Signaling Pathway".

Corrigendum to "ALK5 i II Accelerates Induction of Adipose-Derived Stem Cells toward Schwann Cells through a Non-Smad Signaling Pathway".

Corrigendum to "ALK5 i II Accelerates Induction of Adipose-Derived Stem Cells toward Schwann Cells through a Non-Smad Signaling Pathway".

[This corrects the article DOI: 10.1155/2021/8307797.].

求助全文
通过发布文献求助,成功后即可免费获取论文全文。 去求助
来源期刊
Stem Cells International
Stem Cells International CELL & TISSUE ENGINEERING-
CiteScore
8.10
自引率
2.30%
发文量
188
审稿时长
18 weeks
期刊介绍: Stem Cells International is a peer-reviewed, Open Access journal that publishes original research articles, review articles, and clinical studies in all areas of stem cell biology and applications. The journal will consider basic, translational, and clinical research, including animal models and clinical trials. Topics covered include, but are not limited to: embryonic stem cells; induced pluripotent stem cells; tissue-specific stem cells; stem cell differentiation; genetics and epigenetics; cancer stem cells; stem cell technologies; ethical, legal, and social issues.
×
引用
GB/T 7714-2015
复制
MLA
复制
APA
复制
导出至
BibTeX EndNote RefMan NoteFirst NoteExpress
×
提示
您的信息不完整,为了账户安全,请先补充。
现在去补充
×
提示
您因"违规操作"
具体请查看互助需知
我知道了
×
提示
确定
请完成安全验证×
copy
已复制链接
快去分享给好友吧!
我知道了
右上角分享
点击右上角分享
0
联系我们:info@booksci.cn Book学术提供免费学术资源搜索服务,方便国内外学者检索中英文文献。致力于提供最便捷和优质的服务体验。 Copyright © 2023 布克学术 All rights reserved.
京ICP备2023020795号-1
ghs 京公网安备 11010802042870号
Book学术文献互助
Book学术文献互助群
群 号:604180095
Book学术官方微信