DNA复制起始时间对维持基因组完整性至关重要。

IF 3 3区 生物学 Q3 MICROBIOLOGY
Journal of Bacteriology Pub Date : 2025-08-21 Epub Date: 2025-07-21 DOI:10.1128/jb.00175-25
Tristan T Reed, Abigail H Kendal, Katherine J Wozniak, Lyle A Simmons
{"title":"DNA复制起始时间对维持基因组完整性至关重要。","authors":"Tristan T Reed, Abigail H Kendal, Katherine J Wozniak, Lyle A Simmons","doi":"10.1128/jb.00175-25","DOIUrl":null,"url":null,"abstract":"<p><p>DNA replication is regulated by factors that promote or inhibit initiation. In <i>Bacillus subtilis,</i> YabA is a negative regulator of replication initiation, while the newly identified kinase CcrZ is a positive regulator. The consequences of under-initiation or over-initiation of replication on genome stability remain unclear. In this work, we measure the origin-to-terminus ratio as a proxy for replication initiation activity. We show that Δ<i>ccrZ</i> and several <i>ccrZ</i> alleles under-initiate DNA replication, while ablation of <i>yabA</i> or overproduction of CcrZ leads to over-initiation. We find that cells under-initiating DNA replication have few incidents of replication fork stress as determined by the low frequency formation of RecA-GFP foci compared with wild type. In contrast, cells over-initiating replication show levels of RecA-GFP foci formation analogous to cells directly challenged with DNA-damaging agents. We show that cells under-initiating and over-initiating DNA replication are both sensitive to mitomycin C, demonstrating that changes in replication initiation frequency cause an increase in sensitivity to genotoxic stress. With these results, we propose that cells under-initiating DNA replication are sensitive to DNA damage due to asynchronous DNA replication, leading to inefficient homologous recombination. In cells over-initiating replication, we propose that an increase in the number of replication forks leads to replication fork stress, which is further exacerbated by chromosomal DNA damage. Together, our study shows that DNA replication initiation frequency must be tightly controlled because changes in initiation influence replication fork fate and the capacity of cells to efficiently repair damage to their genetic material.IMPORTANCEThe regulation of DNA replication is fundamental to cell growth and cell cycle control. In eukaryotes, under-initiation or over-initiation leads to genome instability. In bacteria, it is unclear how changes in replication initiation frequency impact DNA replication status and genome integrity. We show that tight regulation of DNA replication initiation is critical for maintaining genome integrity. Cells over-initiating or under-initiating DNA replication are sensitive to DNA damage. Furthermore, cells over-initiating DNA replication experience replication fork stress at levels that phenocopy those observed in cells challenged with DNA damage from mitomycin C. Our results establish the critical importance of properly regulating DNA replication initiation frequency because an imbalance in initiation results in replication fork perturbations, deficiencies in DNA repair, and genome instability.</p>","PeriodicalId":15107,"journal":{"name":"Journal of Bacteriology","volume":" ","pages":"e0017525"},"PeriodicalIF":3.0000,"publicationDate":"2025-08-21","publicationTypes":"Journal Article","fieldsOfStudy":null,"isOpenAccess":false,"openAccessPdf":"https://www.ncbi.nlm.nih.gov/pmc/articles/PMC12369353/pdf/","citationCount":"0","resultStr":"{\"title\":\"DNA replication initiation timing is important for maintaining genome integrity.\",\"authors\":\"Tristan T Reed, Abigail H Kendal, Katherine J Wozniak, Lyle A Simmons\",\"doi\":\"10.1128/jb.00175-25\",\"DOIUrl\":null,\"url\":null,\"abstract\":\"<p><p>DNA replication is regulated by factors that promote or inhibit initiation. In <i>Bacillus subtilis,</i> YabA is a negative regulator of replication initiation, while the newly identified kinase CcrZ is a positive regulator. The consequences of under-initiation or over-initiation of replication on genome stability remain unclear. In this work, we measure the origin-to-terminus ratio as a proxy for replication initiation activity. We show that Δ<i>ccrZ</i> and several <i>ccrZ</i> alleles under-initiate DNA replication, while ablation of <i>yabA</i> or overproduction of CcrZ leads to over-initiation. We find that cells under-initiating DNA replication have few incidents of replication fork stress as determined by the low frequency formation of RecA-GFP foci compared with wild type. In contrast, cells over-initiating replication show levels of RecA-GFP foci formation analogous to cells directly challenged with DNA-damaging agents. We show that cells under-initiating and over-initiating DNA replication are both sensitive to mitomycin C, demonstrating that changes in replication initiation frequency cause an increase in sensitivity to genotoxic stress. With these results, we propose that cells under-initiating DNA replication are sensitive to DNA damage due to asynchronous DNA replication, leading to inefficient homologous recombination. In cells over-initiating replication, we propose that an increase in the number of replication forks leads to replication fork stress, which is further exacerbated by chromosomal DNA damage. Together, our study shows that DNA replication initiation frequency must be tightly controlled because changes in initiation influence replication fork fate and the capacity of cells to efficiently repair damage to their genetic material.IMPORTANCEThe regulation of DNA replication is fundamental to cell growth and cell cycle control. In eukaryotes, under-initiation or over-initiation leads to genome instability. In bacteria, it is unclear how changes in replication initiation frequency impact DNA replication status and genome integrity. We show that tight regulation of DNA replication initiation is critical for maintaining genome integrity. Cells over-initiating or under-initiating DNA replication are sensitive to DNA damage. Furthermore, cells over-initiating DNA replication experience replication fork stress at levels that phenocopy those observed in cells challenged with DNA damage from mitomycin C. Our results establish the critical importance of properly regulating DNA replication initiation frequency because an imbalance in initiation results in replication fork perturbations, deficiencies in DNA repair, and genome instability.</p>\",\"PeriodicalId\":15107,\"journal\":{\"name\":\"Journal of Bacteriology\",\"volume\":\" \",\"pages\":\"e0017525\"},\"PeriodicalIF\":3.0000,\"publicationDate\":\"2025-08-21\",\"publicationTypes\":\"Journal Article\",\"fieldsOfStudy\":null,\"isOpenAccess\":false,\"openAccessPdf\":\"https://www.ncbi.nlm.nih.gov/pmc/articles/PMC12369353/pdf/\",\"citationCount\":\"0\",\"resultStr\":null,\"platform\":\"Semanticscholar\",\"paperid\":null,\"PeriodicalName\":\"Journal of Bacteriology\",\"FirstCategoryId\":\"99\",\"ListUrlMain\":\"https://doi.org/10.1128/jb.00175-25\",\"RegionNum\":3,\"RegionCategory\":\"生物学\",\"ArticlePicture\":[],\"TitleCN\":null,\"AbstractTextCN\":null,\"PMCID\":null,\"EPubDate\":\"2025/7/21 0:00:00\",\"PubModel\":\"Epub\",\"JCR\":\"Q3\",\"JCRName\":\"MICROBIOLOGY\",\"Score\":null,\"Total\":0}","platform":"Semanticscholar","paperid":null,"PeriodicalName":"Journal of Bacteriology","FirstCategoryId":"99","ListUrlMain":"https://doi.org/10.1128/jb.00175-25","RegionNum":3,"RegionCategory":"生物学","ArticlePicture":[],"TitleCN":null,"AbstractTextCN":null,"PMCID":null,"EPubDate":"2025/7/21 0:00:00","PubModel":"Epub","JCR":"Q3","JCRName":"MICROBIOLOGY","Score":null,"Total":0}
引用次数: 0

摘要

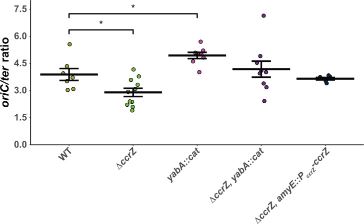
DNA复制受促进或抑制起始的因子调控。在枯草芽孢杆菌中,YabA是复制起始的负调控因子,而新发现的激酶CcrZ是复制起始的正调控因子。不充分启动或过度启动复制对基因组稳定性的影响尚不清楚。在这项工作中,我们测量起点到终点的比率作为复制起始活动的代理。我们发现ΔccrZ和几个ccrZ等位基因启动DNA复制不足,而yabA的消融或ccrZ的过量产生导致过度启动。我们发现,与野生型相比,启动DNA复制的细胞很少发生复制叉胁迫,这是由低频率形成RecA-GFP灶决定的。相反,过度启动复制的细胞显示出类似于直接受到dna损伤剂刺激的细胞的RecA-GFP病灶形成水平。我们发现,DNA复制启动不足和过度启动的细胞都对丝裂霉素C敏感,表明复制启动频率的变化导致对基因毒性应激的敏感性增加。根据这些结果,我们认为启动DNA复制的细胞对异步DNA复制导致的DNA损伤敏感,导致同源重组效率低下。在过度启动复制的细胞中,我们提出复制叉数量的增加会导致复制叉应激,而染色体DNA损伤会进一步加剧这种应激。总之,我们的研究表明,DNA复制起始频率必须严格控制,因为起始频率的变化会影响复制叉的命运和细胞有效修复其遗传物质损伤的能力。DNA复制的调控是细胞生长和细胞周期控制的基础。在真核生物中,起始不足或起始过度导致基因组不稳定。在细菌中,尚不清楚复制起始频率的变化如何影响DNA复制状态和基因组完整性。我们表明DNA复制起始的严格调控是维持基因组完整性的关键。细胞过度启动或不足启动DNA复制是敏感的DNA损伤。此外,过度启动DNA复制的细胞会经历复制叉应激,其水平与丝裂霉素c引起DNA损伤的细胞中观察到的水平相似。我们的研究结果证实了适当调节DNA复制起始频率的重要性,因为起始频率的不平衡会导致复制叉扰动、DNA修复缺陷和基因组不稳定。
本文章由计算机程序翻译,如有差异,请以英文原文为准。

DNA replication initiation timing is important for maintaining genome integrity.

DNA replication initiation timing is important for maintaining genome integrity.

DNA replication initiation timing is important for maintaining genome integrity.

DNA replication initiation timing is important for maintaining genome integrity.

DNA replication is regulated by factors that promote or inhibit initiation. In Bacillus subtilis, YabA is a negative regulator of replication initiation, while the newly identified kinase CcrZ is a positive regulator. The consequences of under-initiation or over-initiation of replication on genome stability remain unclear. In this work, we measure the origin-to-terminus ratio as a proxy for replication initiation activity. We show that ΔccrZ and several ccrZ alleles under-initiate DNA replication, while ablation of yabA or overproduction of CcrZ leads to over-initiation. We find that cells under-initiating DNA replication have few incidents of replication fork stress as determined by the low frequency formation of RecA-GFP foci compared with wild type. In contrast, cells over-initiating replication show levels of RecA-GFP foci formation analogous to cells directly challenged with DNA-damaging agents. We show that cells under-initiating and over-initiating DNA replication are both sensitive to mitomycin C, demonstrating that changes in replication initiation frequency cause an increase in sensitivity to genotoxic stress. With these results, we propose that cells under-initiating DNA replication are sensitive to DNA damage due to asynchronous DNA replication, leading to inefficient homologous recombination. In cells over-initiating replication, we propose that an increase in the number of replication forks leads to replication fork stress, which is further exacerbated by chromosomal DNA damage. Together, our study shows that DNA replication initiation frequency must be tightly controlled because changes in initiation influence replication fork fate and the capacity of cells to efficiently repair damage to their genetic material.IMPORTANCEThe regulation of DNA replication is fundamental to cell growth and cell cycle control. In eukaryotes, under-initiation or over-initiation leads to genome instability. In bacteria, it is unclear how changes in replication initiation frequency impact DNA replication status and genome integrity. We show that tight regulation of DNA replication initiation is critical for maintaining genome integrity. Cells over-initiating or under-initiating DNA replication are sensitive to DNA damage. Furthermore, cells over-initiating DNA replication experience replication fork stress at levels that phenocopy those observed in cells challenged with DNA damage from mitomycin C. Our results establish the critical importance of properly regulating DNA replication initiation frequency because an imbalance in initiation results in replication fork perturbations, deficiencies in DNA repair, and genome instability.

求助全文
通过发布文献求助,成功后即可免费获取论文全文。 去求助
来源期刊
Journal of Bacteriology
Journal of Bacteriology 生物-微生物学
CiteScore
6.10
自引率
9.40%
发文量
324
审稿时长
1.3 months
期刊介绍: The Journal of Bacteriology (JB) publishes research articles that probe fundamental processes in bacteria, archaea and their viruses, and the molecular mechanisms by which they interact with each other and with their hosts and their environments.
×
引用
GB/T 7714-2015
复制
MLA
复制
APA
复制
导出至
BibTeX EndNote RefMan NoteFirst NoteExpress
×
提示
您的信息不完整,为了账户安全,请先补充。
现在去补充
×
提示
您因"违规操作"
具体请查看互助需知
我知道了
×
提示
确定
请完成安全验证×
copy
已复制链接
快去分享给好友吧!
我知道了
右上角分享
点击右上角分享
0
联系我们:info@booksci.cn Book学术提供免费学术资源搜索服务,方便国内外学者检索中英文文献。致力于提供最便捷和优质的服务体验。 Copyright © 2023 布克学术 All rights reserved.
京ICP备2023020795号-1
ghs 京公网安备 11010802042870号
Book学术文献互助
Book学术文献互助群
群 号:604180095
Book学术官方微信