印尼中村海苔潜在化合物的分子对接及体外抗癌评价。

IF 1.5 4区 医学 Q4 PHARMACOLOGY & PHARMACY
Indian Journal of Pharmacology Pub Date : 2025-07-01 Epub Date: 2025-07-21 DOI:10.4103/ijp.ijp_701_24
Fitri Budiyanto, Bustanussalam Bustanussalam, Yatri Hapsari, Yuni Elsa Hadisaputri, Joko Tri Wibowo, Febriana Untari, Tutik Murniasih
{"title":"印尼中村海苔潜在化合物的分子对接及体外抗癌评价。","authors":"Fitri Budiyanto, Bustanussalam Bustanussalam, Yatri Hapsari, Yuni Elsa Hadisaputri, Joko Tri Wibowo, Febriana Untari, Tutik Murniasih","doi":"10.4103/ijp.ijp_701_24","DOIUrl":null,"url":null,"abstract":"<p><strong>Objective: </strong>This study evaluated the anticancer activity (in silico and in vitro) of compounds derived from the Agelas nakamurai collected from Indonesian waters against the triple-negative breast cancer cancer cell line MDA-MB-231.</p><p><strong>Background: </strong>The marine sponge genus Agelas is known to biosynthesize a variety of secondary metabolites with anticancer properties.</p><p><strong>Materials and methods: </strong>The compounds were separated using open column and preparative high-performance liquid chromatography. The liquid chromatography-mass spectrometry/mass spectrometry and nuclear magnetic resonance data were used to characterize compounds. Antiproliferation test of isolated compounds was conducted against the MDA-MB-231 cell line. Meanwhile p53 MDM2 protein [PDB]: 4OQ3, and Estimated Glomerular Filtration Rate (EGFR) protein (PDB: 1T46) were utilized for molecular docking and dynamic (MD) analysis.</p><p><strong>Results: </strong>LC-MS data of fraction F7 indicated the presence of agelasine D, ageloxime D, agelanin B, and midpacamide. Further purification of fraction F7 led to the agelasin D and ageloxime D. Both compounds inhibited the MDA-MB-231 cell line with IC50 values of 7.09 and 171.07 µM, respectively. The docking results showed that the binding affinity of agelasine D and ageloxime D to 4OQ3 and 1T46 were close, with scores ranging from -7.3 to -9.0 kcal/mol. MD simulation within 100 ns indicated agelasin D and ageloxime-D make stable binding to the targeted proteins with root-mean-square deviation <2Å.</p><p><strong>Conclusions: </strong>The isolated compounds from A. nakamurai showed potent against the MDA-MB-231 cell line, based on in vitro and in silico analysis. The MD data supported that the compounds effectively inhibit cancer growth through the MDM2 or EGFR pathways. Thus, this study suggested further in vitro mechanism of action analysis.</p>","PeriodicalId":13490,"journal":{"name":"Indian Journal of Pharmacology","volume":"57 4","pages":"226-233"},"PeriodicalIF":1.5000,"publicationDate":"2025-07-01","publicationTypes":"Journal Article","fieldsOfStudy":null,"isOpenAccess":false,"openAccessPdf":"https://www.ncbi.nlm.nih.gov/pmc/articles/PMC12370229/pdf/","citationCount":"0","resultStr":"{\"title\":\"Molecular docking and in vitro anticancer evaluation of potential compounds derived from Indonesian sponge Agelas nakamurai.\",\"authors\":\"Fitri Budiyanto, Bustanussalam Bustanussalam, Yatri Hapsari, Yuni Elsa Hadisaputri, Joko Tri Wibowo, Febriana Untari, Tutik Murniasih\",\"doi\":\"10.4103/ijp.ijp_701_24\",\"DOIUrl\":null,\"url\":null,\"abstract\":\"<p><strong>Objective: </strong>This study evaluated the anticancer activity (in silico and in vitro) of compounds derived from the Agelas nakamurai collected from Indonesian waters against the triple-negative breast cancer cancer cell line MDA-MB-231.</p><p><strong>Background: </strong>The marine sponge genus Agelas is known to biosynthesize a variety of secondary metabolites with anticancer properties.</p><p><strong>Materials and methods: </strong>The compounds were separated using open column and preparative high-performance liquid chromatography. The liquid chromatography-mass spectrometry/mass spectrometry and nuclear magnetic resonance data were used to characterize compounds. Antiproliferation test of isolated compounds was conducted against the MDA-MB-231 cell line. Meanwhile p53 MDM2 protein [PDB]: 4OQ3, and Estimated Glomerular Filtration Rate (EGFR) protein (PDB: 1T46) were utilized for molecular docking and dynamic (MD) analysis.</p><p><strong>Results: </strong>LC-MS data of fraction F7 indicated the presence of agelasine D, ageloxime D, agelanin B, and midpacamide. Further purification of fraction F7 led to the agelasin D and ageloxime D. Both compounds inhibited the MDA-MB-231 cell line with IC50 values of 7.09 and 171.07 µM, respectively. The docking results showed that the binding affinity of agelasine D and ageloxime D to 4OQ3 and 1T46 were close, with scores ranging from -7.3 to -9.0 kcal/mol. MD simulation within 100 ns indicated agelasin D and ageloxime-D make stable binding to the targeted proteins with root-mean-square deviation <2Å.</p><p><strong>Conclusions: </strong>The isolated compounds from A. nakamurai showed potent against the MDA-MB-231 cell line, based on in vitro and in silico analysis. The MD data supported that the compounds effectively inhibit cancer growth through the MDM2 or EGFR pathways. Thus, this study suggested further in vitro mechanism of action analysis.</p>\",\"PeriodicalId\":13490,\"journal\":{\"name\":\"Indian Journal of Pharmacology\",\"volume\":\"57 4\",\"pages\":\"226-233\"},\"PeriodicalIF\":1.5000,\"publicationDate\":\"2025-07-01\",\"publicationTypes\":\"Journal Article\",\"fieldsOfStudy\":null,\"isOpenAccess\":false,\"openAccessPdf\":\"https://www.ncbi.nlm.nih.gov/pmc/articles/PMC12370229/pdf/\",\"citationCount\":\"0\",\"resultStr\":null,\"platform\":\"Semanticscholar\",\"paperid\":null,\"PeriodicalName\":\"Indian Journal of Pharmacology\",\"FirstCategoryId\":\"3\",\"ListUrlMain\":\"https://doi.org/10.4103/ijp.ijp_701_24\",\"RegionNum\":4,\"RegionCategory\":\"医学\",\"ArticlePicture\":[],\"TitleCN\":null,\"AbstractTextCN\":null,\"PMCID\":null,\"EPubDate\":\"2025/7/21 0:00:00\",\"PubModel\":\"Epub\",\"JCR\":\"Q4\",\"JCRName\":\"PHARMACOLOGY & PHARMACY\",\"Score\":null,\"Total\":0}","platform":"Semanticscholar","paperid":null,"PeriodicalName":"Indian Journal of Pharmacology","FirstCategoryId":"3","ListUrlMain":"https://doi.org/10.4103/ijp.ijp_701_24","RegionNum":4,"RegionCategory":"医学","ArticlePicture":[],"TitleCN":null,"AbstractTextCN":null,"PMCID":null,"EPubDate":"2025/7/21 0:00:00","PubModel":"Epub","JCR":"Q4","JCRName":"PHARMACOLOGY & PHARMACY","Score":null,"Total":0}
引用次数: 0

摘要

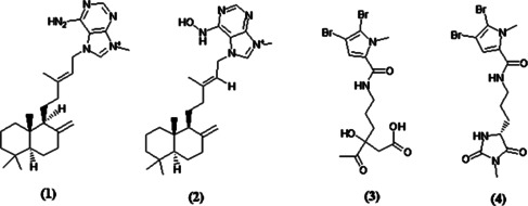
目的:研究从印度尼西亚海域采集的中村Agelas中村Agelas nakamurai中提取的化合物对三阴性乳腺癌细胞系MDA-MB-231的抗肿瘤活性(体内和体外)。背景:已知海绵Agelas属生物合成多种具有抗癌特性的次生代谢物。材料和方法:采用开柱和制备高效液相色谱法分离化合物。采用液相色谱-质谱/质谱和核磁共振数据对化合物进行了表征。分离得到的化合物对MDA-MB-231细胞株进行了抗增殖试验。同时利用p53 MDM2蛋白[PDB]: 4OQ3和估计肾小球滤过率(EGFR)蛋白(PDB: 1T46)进行分子对接和动力学(MD)分析。结果:F7部位的LC-MS数据显示存在ageline D、ageloxime D、agelanin B和midpacamide。F7进一步纯化得到agelasin D和ageloxime D,这两种化合物对MDA-MB-231细胞株的抑制作用IC50值分别为7.09和171.07µM。对接结果表明,agelasine D和ageloxime D对4OQ3和1T46的结合亲和力非常接近,评分范围在-7.3 ~ -9.0 kcal/mol之间。在100ns内的MD模拟表明agelasin D和ageloxime-D与靶蛋白的结合稳定,具有根均方差。结论:从A. nakamurai中分离得到的化合物在体外和芯片分析中显示出对MDA-MB-231细胞系的抑制作用。MD数据支持这些化合物通过MDM2或EGFR途径有效抑制癌症生长。因此,本研究提出了进一步的体外作用机制分析。
本文章由计算机程序翻译,如有差异,请以英文原文为准。

Molecular docking and in vitro anticancer evaluation of potential compounds derived from Indonesian sponge Agelas nakamurai.

Molecular docking and in vitro anticancer evaluation of potential compounds derived from Indonesian sponge Agelas nakamurai.

Molecular docking and in vitro anticancer evaluation of potential compounds derived from Indonesian sponge Agelas nakamurai.

Molecular docking and in vitro anticancer evaluation of potential compounds derived from Indonesian sponge Agelas nakamurai.

Objective: This study evaluated the anticancer activity (in silico and in vitro) of compounds derived from the Agelas nakamurai collected from Indonesian waters against the triple-negative breast cancer cancer cell line MDA-MB-231.

Background: The marine sponge genus Agelas is known to biosynthesize a variety of secondary metabolites with anticancer properties.

Materials and methods: The compounds were separated using open column and preparative high-performance liquid chromatography. The liquid chromatography-mass spectrometry/mass spectrometry and nuclear magnetic resonance data were used to characterize compounds. Antiproliferation test of isolated compounds was conducted against the MDA-MB-231 cell line. Meanwhile p53 MDM2 protein [PDB]: 4OQ3, and Estimated Glomerular Filtration Rate (EGFR) protein (PDB: 1T46) were utilized for molecular docking and dynamic (MD) analysis.

Results: LC-MS data of fraction F7 indicated the presence of agelasine D, ageloxime D, agelanin B, and midpacamide. Further purification of fraction F7 led to the agelasin D and ageloxime D. Both compounds inhibited the MDA-MB-231 cell line with IC50 values of 7.09 and 171.07 µM, respectively. The docking results showed that the binding affinity of agelasine D and ageloxime D to 4OQ3 and 1T46 were close, with scores ranging from -7.3 to -9.0 kcal/mol. MD simulation within 100 ns indicated agelasin D and ageloxime-D make stable binding to the targeted proteins with root-mean-square deviation <2Å.

Conclusions: The isolated compounds from A. nakamurai showed potent against the MDA-MB-231 cell line, based on in vitro and in silico analysis. The MD data supported that the compounds effectively inhibit cancer growth through the MDM2 or EGFR pathways. Thus, this study suggested further in vitro mechanism of action analysis.

求助全文
通过发布文献求助,成功后即可免费获取论文全文。 去求助
来源期刊
CiteScore
4.00
自引率
4.20%
发文量
53
审稿时长
4-8 weeks
期刊介绍: Indian Journal of Pharmacology accepts, in English, review articles, articles for educational forum, original research articles (full length and short communications), letter to editor, case reports and interesting fillers. Articles concerning all aspects of pharmacology will be considered. Articles of general interest (e.g. methods, therapeutics, medical education, interesting websites, new drug information and commentary on a recent topic) are also welcome.
×
引用
GB/T 7714-2015
复制
MLA
复制
APA
复制
导出至
BibTeX EndNote RefMan NoteFirst NoteExpress
×
提示
您的信息不完整,为了账户安全,请先补充。
现在去补充
×
提示
您因"违规操作"
具体请查看互助需知
我知道了
×
提示
确定
请完成安全验证×
copy
已复制链接
快去分享给好友吧!
我知道了
右上角分享
点击右上角分享
0
联系我们:info@booksci.cn Book学术提供免费学术资源搜索服务,方便国内外学者检索中英文文献。致力于提供最便捷和优质的服务体验。 Copyright © 2023 布克学术 All rights reserved.
京ICP备2023020795号-1
ghs 京公网安备 11010802042870号
Book学术文献互助
Book学术文献互助群
群 号:604180095
Book学术官方微信