高谐波谱揭示了TiSe2中电荷密度波相变的各向异性。

IF 9.6 Q1 MATERIALS SCIENCE, MULTIDISCIPLINARY
Communications Materials Pub Date : 2025-01-01 Epub Date: 2025-07-18 DOI:10.1038/s43246-025-00873-5
Igor Tyulnev, Lin Zhang, Lenard Vamos, Julita Poborska, Utso Bhattacharya, Ravindra W Chhajlany, Tobias Grass, Samuel Mañas-Valero, Eugenio Coronado, Maciej Lewenstein, Jens Biegert
{"title":"高谐波谱揭示了TiSe2中电荷密度波相变的各向异性。","authors":"Igor Tyulnev, Lin Zhang, Lenard Vamos, Julita Poborska, Utso Bhattacharya, Ravindra W Chhajlany, Tobias Grass, Samuel Mañas-Valero, Eugenio Coronado, Maciej Lewenstein, Jens Biegert","doi":"10.1038/s43246-025-00873-5","DOIUrl":null,"url":null,"abstract":"<p><p>Charge density waves (CDW) appear as periodic lattice deformations which arise from electron-phonon and excitonic correlations and provide a path towards the study of condensate phases at high temperatures. While characterization of this correlated phase is well established via real or reciprocal space techniques, for systems where the mechanisms interplay, a macroscopic approach becomes necessary. Here, we demonstrate the application of polarization-resolved high-harmonic generation (HHG) spectroscopy to investigate the correlated CDW phase and transitions in TiSe₂. Unlike previous studies focusing on static crystallographic properties, the research examines the dynamic reordering that occurs within the CDW as the material is cooled from room temperature to 14 K. By linking ultrafast field-driven dynamics to the material's potential landscape, the study demonstrates HHG's unique sensitivity to highly correlated phases and their strength. The findings reveal an anisotropic component below the CDW transition temperature, providing insights into the nature of this phase. The investigation highlights the interplay between linear and nonlinear optical responses and their departure from simple perturbative dynamics, offering a fresh perspective on correlated quantum phases in condensed matter systems.</p>","PeriodicalId":10589,"journal":{"name":"Communications Materials","volume":"6 1","pages":"152"},"PeriodicalIF":9.6000,"publicationDate":"2025-01-01","publicationTypes":"Journal Article","fieldsOfStudy":null,"isOpenAccess":false,"openAccessPdf":"https://www.ncbi.nlm.nih.gov/pmc/articles/PMC12270906/pdf/","citationCount":"0","resultStr":"{\"title\":\"High harmonic spectroscopy reveals anisotropy of the charge-density-wave phase transition in TiSe<sub>2</sub>.\",\"authors\":\"Igor Tyulnev, Lin Zhang, Lenard Vamos, Julita Poborska, Utso Bhattacharya, Ravindra W Chhajlany, Tobias Grass, Samuel Mañas-Valero, Eugenio Coronado, Maciej Lewenstein, Jens Biegert\",\"doi\":\"10.1038/s43246-025-00873-5\",\"DOIUrl\":null,\"url\":null,\"abstract\":\"<p><p>Charge density waves (CDW) appear as periodic lattice deformations which arise from electron-phonon and excitonic correlations and provide a path towards the study of condensate phases at high temperatures. While characterization of this correlated phase is well established via real or reciprocal space techniques, for systems where the mechanisms interplay, a macroscopic approach becomes necessary. Here, we demonstrate the application of polarization-resolved high-harmonic generation (HHG) spectroscopy to investigate the correlated CDW phase and transitions in TiSe₂. Unlike previous studies focusing on static crystallographic properties, the research examines the dynamic reordering that occurs within the CDW as the material is cooled from room temperature to 14 K. By linking ultrafast field-driven dynamics to the material's potential landscape, the study demonstrates HHG's unique sensitivity to highly correlated phases and their strength. The findings reveal an anisotropic component below the CDW transition temperature, providing insights into the nature of this phase. The investigation highlights the interplay between linear and nonlinear optical responses and their departure from simple perturbative dynamics, offering a fresh perspective on correlated quantum phases in condensed matter systems.</p>\",\"PeriodicalId\":10589,\"journal\":{\"name\":\"Communications Materials\",\"volume\":\"6 1\",\"pages\":\"152\"},\"PeriodicalIF\":9.6000,\"publicationDate\":\"2025-01-01\",\"publicationTypes\":\"Journal Article\",\"fieldsOfStudy\":null,\"isOpenAccess\":false,\"openAccessPdf\":\"https://www.ncbi.nlm.nih.gov/pmc/articles/PMC12270906/pdf/\",\"citationCount\":\"0\",\"resultStr\":null,\"platform\":\"Semanticscholar\",\"paperid\":null,\"PeriodicalName\":\"Communications Materials\",\"FirstCategoryId\":\"1085\",\"ListUrlMain\":\"https://doi.org/10.1038/s43246-025-00873-5\",\"RegionNum\":0,\"RegionCategory\":null,\"ArticlePicture\":[],\"TitleCN\":null,\"AbstractTextCN\":null,\"PMCID\":null,\"EPubDate\":\"2025/7/18 0:00:00\",\"PubModel\":\"Epub\",\"JCR\":\"Q1\",\"JCRName\":\"MATERIALS SCIENCE, MULTIDISCIPLINARY\",\"Score\":null,\"Total\":0}","platform":"Semanticscholar","paperid":null,"PeriodicalName":"Communications Materials","FirstCategoryId":"1085","ListUrlMain":"https://doi.org/10.1038/s43246-025-00873-5","RegionNum":0,"RegionCategory":null,"ArticlePicture":[],"TitleCN":null,"AbstractTextCN":null,"PMCID":null,"EPubDate":"2025/7/18 0:00:00","PubModel":"Epub","JCR":"Q1","JCRName":"MATERIALS SCIENCE, MULTIDISCIPLINARY","Score":null,"Total":0}
引用次数: 0

摘要

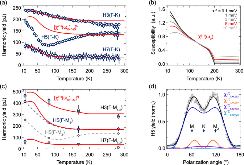
电荷密度波(CDW)表现为由电子-声子和激子相关引起的周期性晶格变形,为研究高温下的凝聚相提供了一条途径。虽然通过实空间或互反空间技术可以很好地确定相关相位的特征,但对于机制相互作用的系统,宏观方法是必要的。在这里,我们展示了偏振分辨高谐波产生(HHG)光谱的应用,以研究相关的CDW相位和跃迁在TiSe₂。与以往的研究不同,该研究关注的是静态晶体学特性,而该研究考察的是当材料从室温冷却到14k时,CDW内部发生的动态重排序。通过将超快场驱动动力学与材料的潜在景观联系起来,该研究证明了HHG对高度相关相及其强度的独特敏感性。研究结果揭示了CDW转变温度以下的各向异性成分,为该阶段的性质提供了见解。该研究强调了线性和非线性光学响应之间的相互作用以及它们与简单微扰动力学的背离,为凝聚态系统中的相关量子相提供了新的视角。
本文章由计算机程序翻译,如有差异,请以英文原文为准。

High harmonic spectroscopy reveals anisotropy of the charge-density-wave phase transition in TiSe<sub>2</sub>.

High harmonic spectroscopy reveals anisotropy of the charge-density-wave phase transition in TiSe<sub>2</sub>.

High harmonic spectroscopy reveals anisotropy of the charge-density-wave phase transition in TiSe<sub>2</sub>.

High harmonic spectroscopy reveals anisotropy of the charge-density-wave phase transition in TiSe2.

Charge density waves (CDW) appear as periodic lattice deformations which arise from electron-phonon and excitonic correlations and provide a path towards the study of condensate phases at high temperatures. While characterization of this correlated phase is well established via real or reciprocal space techniques, for systems where the mechanisms interplay, a macroscopic approach becomes necessary. Here, we demonstrate the application of polarization-resolved high-harmonic generation (HHG) spectroscopy to investigate the correlated CDW phase and transitions in TiSe₂. Unlike previous studies focusing on static crystallographic properties, the research examines the dynamic reordering that occurs within the CDW as the material is cooled from room temperature to 14 K. By linking ultrafast field-driven dynamics to the material's potential landscape, the study demonstrates HHG's unique sensitivity to highly correlated phases and their strength. The findings reveal an anisotropic component below the CDW transition temperature, providing insights into the nature of this phase. The investigation highlights the interplay between linear and nonlinear optical responses and their departure from simple perturbative dynamics, offering a fresh perspective on correlated quantum phases in condensed matter systems.

求助全文
通过发布文献求助,成功后即可免费获取论文全文。 去求助
来源期刊
Communications Materials
Communications Materials MATERIALS SCIENCE, MULTIDISCIPLINARY-
CiteScore
12.10
自引率
1.30%
发文量
85
审稿时长
17 weeks
期刊介绍: Communications Materials, a selective open access journal within Nature Portfolio, is dedicated to publishing top-tier research, reviews, and commentary across all facets of materials science. The journal showcases significant advancements in specialized research areas, encompassing both fundamental and applied studies. Serving as an open access option for materials sciences, Communications Materials applies less stringent criteria for impact and significance compared to Nature-branded journals, including Nature Communications.
×
引用
GB/T 7714-2015
复制
MLA
复制
APA
复制
导出至
BibTeX EndNote RefMan NoteFirst NoteExpress
×
提示
您的信息不完整,为了账户安全,请先补充。
现在去补充
×
提示
您因"违规操作"
具体请查看互助需知
我知道了
×
提示
确定
请完成安全验证×
copy
已复制链接
快去分享给好友吧!
我知道了
右上角分享
点击右上角分享
0
联系我们:info@booksci.cn Book学术提供免费学术资源搜索服务,方便国内外学者检索中英文文献。致力于提供最便捷和优质的服务体验。 Copyright © 2023 布克学术 All rights reserved.
京ICP备2023020795号-1
ghs 京公网安备 11010802042870号
Book学术文献互助
Book学术文献互助群
群 号:604180095
Book学术官方微信